Клинико-ангиопульмонографические соотношения при тромбоэмболии легочной артерии
- Авторы: Мазур Е.С.1, Мазур В.В.1, Рабинович Р.М.2, Бачурина М.А.2
-
Учреждения:
- ФГБОУ ВО «Тверской государственный медицинский университет» Минздрава России
- ГБУЗ ТО «Областная клиническая больница»
- Выпуск: Том 93, № 4 (2021)
- Страницы: 363-368
- Раздел: Оригинальные статьи
- Статья получена: 01.06.2021
- Статья одобрена: 01.06.2021
- Статья опубликована: 15.04.2021
- URL: https://ter-arkhiv.ru/0040-3660/article/view/71154
- DOI: https://doi.org/10.26442/00403660.2021.04.200674
- ID: 71154
Цитировать
Полный текст
Аннотация
Цель. Изучить влияние особенностей обструкции сосудистого русла малого круга на клинические проявления тромбоэмболии легочной артерии (ТЭЛА).
Материалы и методы. В исследование включены 127 пациентов с ТЭЛА, верифицированной при мультиспиральной компьютерной томографии с контрастированием легочных сосудов. Среди них 57 пациентов с ТЭЛА высокого риска, 39 – промежуточного риска и 31 – низкого риска. Определялись уровень и индекс обструкции легочной артерии (ЛА).
Результаты. Средние величины индекса обструкции ЛА у больных ТЭЛА высокого и промежуточного риска равнялись 42,5%, а у больных низкого риска – 12,5% (p<0,001). У 80,7% больных ТЭЛА высокого риска отмечалась обструкция ствола или главных ветвей ЛА, у 92,3% больных промежуточного риска – обструкция главных или долевых ветвей, у 93,5% больных низкого риска – долевых или сегментарных ветвей ЛА. Инфаркт легкого выявлен у 89,2% больных с обструкцией сегментарных ветвей ЛА и лишь у 28,0% больных – без обструкции на этом уровне (p<0,001).
Заключение. Гемодинамические нарушения при ТЭЛА возникают при индексе обструкции ЛА более 30%. Развитие обструктивного шока ассоциируется с поражением ствола ЛА, развитие инфаркта легкого – с поражением сегментарных ветвей ЛА.
Ключевые слова
Полный текст
Введение
Клиническая картина тромбоэмболии легочной артерии (ТЭЛА) складывается из признаков гемодинамических нарушений и легочной симптоматики, связанной с появлением инфаркта легкого и развитием, в случае его инфицирования, инфарктной пневмонии. Выраженность гемодинамических расстройств положена в основу классификации Европейского кардиологического общества, выделяющей ТЭЛА высокого (30-дневная летальность более 15%), промежуточного (1–15%) и низкого (менее 1%) риска [1]. Критерием высокого риска при ТЭЛА служит шок или артериальная гипотензия длительностью более 15 мин, промежуточного – признаки перегрузки правого желудочка (ПЖ) и/или выявление маркеров миокардиального некроза. При отсутствии указанных критериев риск смерти при ТЭЛА оценивается как низкий.
Представленные в литературе данные позволяют считать, что гемодинамические нарушения развиваются при «массивной» ТЭЛА с вовлечением ствола и главных ветвей легочной артерии (ЛА), в то время как легочные осложнения, в частности инфаркт легкого, развиваются при поражении ее периферических ветвей. Так, по данным M. Vedovati и соавт. [2], индекс обструкции у больных ТЭЛА с дисфункцией ПЖ в среднем равен 40%, а у больных без признаков перегрузки ПЖ – 24%. В работе С.В. Немирова и соавт. [3] легочно-плевральные осложнения при компьютерной томографии (КТ) выявлены у 57,84% обследованных больных ТЭЛА, причем у всех этих больных имела место тромбоэмболическая обструкция периферических ветвей ЛА. Авторы подчеркивают, что ни у кого из больных с изолированной обструкцией ствола или магистральных ветвей ЛА инфарктов легкого не выявлено.
Однако в литературе представлена и другая точка зрения, согласно которой инфаркты легкого обычно встречаются при средней или тяжелой форме ТЭЛА, а при малых формах ТЭЛА эмболы почти никогда не приводят к инфаркту, поскольку между мелкими ветвями ЛА и бронхиальными артериями функционирует достаточное количество анастомозов [4].
Цель исследования – изучить взаимосвязь между особенностями обструкции сосудистого русла малого круга и клиническими проявлениями ТЭЛА, т.е. тяжестью гемодинамических расстройств и частотой развития инфаркта легкого.
Материалы и методы
В исследование включены 127 больных ТЭЛА, находившихся на лечении в ГБУЗ «Областная клиническая больница», г. Тверь, в 2016–2017 гг. Госпитализированы в состоянии шока 57 (44,9%) пациентов, с диагнозом «острый коронарный синдром без подъема ST» – 11 (8,7), остальным 59 (46,5%) пациентам первоначально выставлен диагноз пневмонии.
Возраст включенных в исследование больных варьировал от 20 до 92 лет и в среднем равнялся 59,0 [51, 0; 66, 0] года. Мужчин и женщин – практически поровну (46,5 и 53,5%). У большинства больных имелись факторы риска ТЭЛА, в частности недавно перенесенная операция или травма (39,4%), венозный тромбоэмболизм в анамнезе (23,6%), хроническая сердечная недостаточность (12,6%), онкологические заболевания (10,2%). Из заболеваний, не ассоциированных с риском развития ТЭЛА, достаточно часто встречались сахарный диабет 2-го типа (14,2%) и хронические обструктивные заболевания легких (14,2%), реже – ишемическая болезнь сердца (9,4%).
Всем больным проводилась мультиспиральная КТ с контрастированием легочных сосудов, по результатам которой и диагностировали ТЭЛА. Исследование проводилась на аппарате «Phillips Brillians» с использованием контраста сканлюкс, вводимого в объеме 100–300 мл внутривенно болюсом. Прямыми ангиографическими критериями острой ТЭЛА считались центральный дефект контрастирования всего просвета сосуда (окклюзия), а также центрально расположенный частичный дефект контрастирования, окруженный контрастным веществом в поперечном или продольном сечении сосуда, или пристеночный частичный дефект контрастирования, образующий острые углы со стенкой сосуда [5, 6].
Для интегральной оценки результатов исследования рассчитывался индекс обструкции по балльной системе Qanadli [7]. Индекс обструкции выражался в процентах к максимально возможному значению, т.е. к 40 баллам, что соответствует полной окклюзии ствола или обеих главных ветвей ЛА [7]. Кроме того, учитывался уровень обструкции, т.е. наличие тромбоэмболов в стволе, главных, долевых и сегментарных ветвях ЛА.
Инфаркт легкого диагностировался при наличии инфильтрата треугольной формы, расположенного субплеврально, с основанием, обращенным к грудной стенке. При выявлении зоны перифокального воспаления и сглаживании контуров очага предполагали инфицирование зоны инфаркта и развитие инфарктной пневмонии [5].
Всем больным, госпитализированным в состоянии шока или с подозрением на острый коронарный синдром, при поступлении проведено определение уровня высокочувствительного тропонина I в крови. Такое же исследование выполнено после проведения мультиспиральной КТ всем больным ТЭЛА, у которых исходно диагностирована пневмония.
Обследованных больных разделили на 3 группы: группу больных ТЭЛА высокого риска (57 пациентов), промежуточного (39 пациентов) и низкого (31 пациент). При частотном анализе межгрупповых различий использовался критерий χ2, при сравнении средних значений – критерий Краскела– Уоллиса. Средние величины количественных признаков представлены в виде медианы и межквартильного размаха. Кроме того, проведен ROC-анализ (receiver operating characteristic), позволяющий выявить значение количественного признака, разделяющего объекты исследования на 2 качественно различающиеся группы. Цель такого анализа – выявление значения индекса обструкции, позволяющего разделить больных ТЭЛА с гемодинамическими нарушениями и без таковых, а также больных ТЭЛА высокого риска и промежуточного риска.
Результаты
В табл. 1 представлено распределение обследованных больных ТЭЛА в зависимости от риска летального исхода, наличия инфаркта легкого и локализации тромбоэмболов. Представленные данные свидетельствуют что у 50 (39,4%) больных имела место изолированная обструкция ЛА, т.е. обструкция только ствола (5 пациентов), главных (14), долевых (5) или сегментарных (26) ветвей. У остальных 77 (60,6%) пациентов отмечалась обструкция ЛА на нескольких уровнях. Верхний уровень обструкции (изолированной или сочетающейся с поражением нижележащих ветвей) у 14 (11,0%) пациентов соответствовал стволу ЛА, у 55 (41,3%) – главным ветвям, у 32 (25,2%) – долевым и у 26 (20,5%) – сегментарным ветвям ЛА.
Таблица 1. Распределение больных ТЭЛА в зависимости от риска летального исхода, наличия инфаркта легкого и локализации тромбоэмболов
Локализация тромбоэмболов | Риск летального исхода | Всего | ||
высокий | промежуточный | низкий | ||
Только ствол ЛА | 5 (0) | 0 | 0 | 5 (0) |
Ствол и главные ветви | 2 (1) | 0 | 0 | 2 (1) |
Ствол и долевые ветви | 1 (0) | 0 | 0 | 1 (0) |
Ствол, главные и долевые ветви | 3 (1) | 0 | 0 | 3 (1) |
Ствол и сегментарные ветви | 2 (0) | 0 | 0 | 2 (0) |
Ствол, главные, долевые и сегментарные ветви | 0 | 1 (1) | 0 | 1 (1) |
Только главные ветви | 12 (0) | 1 (0) | 1 (1) | 14 (1) |
Главные и долевые ветви | 11 (3) | 11 (4) | 1 (1) | 23 (8) |
Главные, долевые и сегментарные ветви | 7 (6) | 8 (8) | 0 | 15 (14) |
Главные и сегментарные ветви | 3 (2) | 0 | 0 | 3 (2) |
Только долевые ветви | 2 (0) | 2 (2) | 1 (1) | 5 (3) |
Долевые и сегментарные ветви | 7 (6) | 14 (11) | 6 (6) | 27 (23) |
Только сегментарные ветви | 2 (2) | 2 (2) | 22 (22) | 26 (26) |
Всего | 57 (21) | 39 (28) | 31 (31) | 127 (80) |
Примечание. В скобках указано число больных с инфарктом легкого.
Между верхним уровнем обструкции и тяжестью гемодинамических расстройств выявлена статистически значимая связь (p<0,001), которую раскрывают данные, представленные в табл. 2. Так, верхний уровень обструкции на уровне ствола ЛА относительно часто встречался у больных ТЭЛА высокого риска, очень редко – у больных промежуточного риска и не встречался вовсе у больных низкого риска. Обструкция главных ветвей при ТЭЛА высокого и промежуточного риска имела место более чем у 1/2 больных, а при ТЭЛА низкого риска отмечалась в единичных случаях. Напротив, верхний уровень обструкции на уровне сегментарных артерий отмечался у подавляющего большинства больных ТЭЛА низкого риска и в единичных случаях у больных высокого и промежуточного риска. Обобщая представленные в табл. 2 данные, можно сказать, что для больных ТЭЛА высокого риска характерна обструкция с верхним уровнем в стволе или главных ветвях ЛА (80,7%), для больных промежуточного риска – в главных или долевых (92,3%), а для больных низкого риска – в долевых или сегментарных (93,5%). Таким образом, снижение уровня обструкции при ТЭЛА ассоциируется с уменьшением тяжести гемодинамических расстройств и риска летального исхода.
Таблица 2. Локализация верхнего уровня обструкции, индекс обструкции и уровень тропонинов у больных ТЭЛА разного риска
Показатель | Риск летального исхода | ||
высокий (n=57) | промежуточный (n=39) | низкий (n=31) | |
Верхний уровень обструкции, абс. (%) | |||
• Ствол | 13 (22,8) | 1 (2,6) * | 0 (0,0) * |
• Главные ветви | 33 (57,9) | 20 (51,3) | 2 (6,5) *# |
• Долевые ветви | 9 (15,8) | 16 (41,0) * | 7 (22,6) |
• Сегментарные ветви | 2 (3,5) | 2 (5,1) | 22 (71,0)*# |
Индекс обструкции, % | |||
Тропонин I, нг/л | 264 [233; 319] | ||
*Статистически значимое различие с группой больных ТЭЛА высокого риска; #статистически значимое различие с группой больных промежуточного риска.
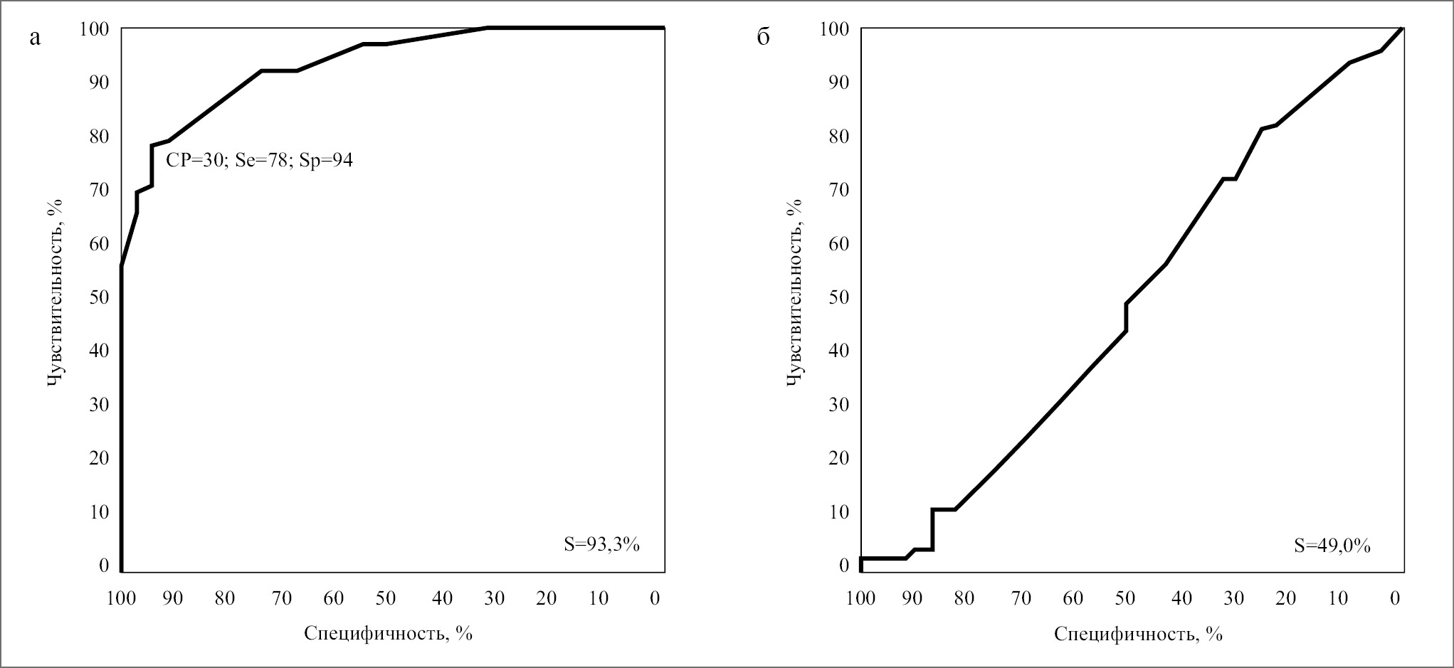
Несмотря на различия в преимущественной локализации верхнего уровня обструкции, индекс обструкции у больных ТЭЛА высокого и промежуточного риска в среднем не различался и более чем в 3 раза превосходил показатель больных ТЭЛА низкого риска. Резко выраженные различия средних величин индекса обструкции у больных высокого и промежуточного риска, с одной стороны, и больных низкого риска – с другой, указывают на наличие точки разделения больных ТЭЛА с гемодинамическими нарушениями (шок или перегрузка ПЖ) и без таковых. Характеристическая кривая (ROC-кривая); рис. 1, а, свидетельствует, что индекс обструкции, равный 30%, четко отделяет больных ТЭЛА высокого и промежуточного риска от больных ТЭЛА низкого риска. Иначе говоря, такое значение индекса обструкции служит точкой разделения больных ТЭЛА с гемодинамическими нарушениями (шок или перегрузка ПЖ) и больных ТЭЛА без гемодинамических расстройств. Однако разделить больных ТЭЛА с тяжелыми (шок) и нетяжелыми (перегрузка ПЖ) гемодинамическими нарушениями по величине индекса обструкции не представляется возможным, поскольку ROC-кривая (рис. 1, б) идет практически по диагонали системы координат. Таким образом, развитие гемодинамических нарушений при ТЭЛА связано с величиной индекса обструкции, т.е. с выраженностью «механической» обструкции сосудистого русла малого круга, но тяжесть гемодинамических расстройств от величины индекса обструкции не зависит.
Рис. 1, а, б. Характеристические кривые (ROC-кривые) использования индекса обструкции для разделения больных ТЭЛА с гемодинамическими нарушениями и без таковых (а) и больных ТЭЛА с тяжелыми (шок) и менее тяжелыми (перегрузка ПЖ) гемодинамическими расстройствами (б).
Однако наиболее выраженными оказались межгрупповые различия в среднем уровне тропонина I. В группе больных ТЭЛА высокого риска уровень тропонинов отмечался на порядок больше, чем у больных промежуточного риска, а у последних – на порядок больше, чем у больных низкого риска.
Возвращаясь к данным о распределении больных ТЭЛА в зависимости от локализации тромбоэмболов (см. табл. 1), отметим, что сочетание обструкции сегментарных и вышележащих ветвей отмечено у 48 (37,8%) пациентов. При этом обструкция сегментарных ветвей выявлена у 3 (21,4%) из 14 пациентов с верхним уровнем обструкции на уровне ствола ЛА, у 18 (32,7%) из 55 больных с обструкцией на уровне главных ветвей и у 27 (84,4%) из 32 больных с обструкцией на уровне долевых ветвей (p<0,001). Таким образом, поражение сегментарных ветвей при ТЭЛА отмечается тем чаще, чем ниже локализуется верхний уровень обструкции.
В общей сложности обструкция сегментарных ветвей ЛА (как изолированная, так и в сочетании с обструкцией на вышележащем уровне) имела место у 74 (58,3%) больных. У 66 (89,2%) из них выявлен инфаркт легкого. При этом у 50 больных без обструкции сегментарных ветвей ЛА инфаркт легкого диагностирован лишь в 14 (28,0%) случаях (p<0,001). Это означает, что развитие инфаркта легкого при ТЭЛА ассоциируется с обструкцией сегментарных ветвей ЛА.
Обсуждение
Особенности формирования контингента обследованных исключают возможность экстраполяции ряда полученных в настоящем исследовании результатов на генеральную совокупность больных ТЭЛА. Так, численность сформированных групп ни в коей мере не отражает истинную частоту развития гемодинамических нарушений при ТЭЛА, а частота выявления инфаркта легкого у больных ТЭЛА низкого и промежуточного риска не отражает истинную частоту развития этого осложнения у данной категории пациентов. В то же время частота выявления инфаркта легкого у больных ТЭЛА высокого риска, скорее всего, близка к действительной распространенности этого осложнения, поскольку в исследование включались все госпитализированные больные ТЭЛА, приведшей к развитию шока. Репрезентативными можно считать данные о локализации тромбоэмболов и индексе обструкции у больных ТЭЛА разного риска, а также данные о соотношении уровня тропонинов у больных без гемодинамических расстройств и с гемодинамическими нарушениями разной степени выраженности. С этого вопроса мы и начнем обсуждение полученных результатов.
Повышение уровня тропонинов в крови больных ТЭЛА связано с повреждением миокарда ПЖ [8] из-за его острой перегрузки при внезапном повышения сосудистого сопротивления малого круга кровообращения [9]. Чем выше сосудистое сопротивление, тем тяжелее гемодинамическая перегрузка ПЖ и выше уровень тропонинов в крови. По данным настоящего исследования, у больных ТЭЛА без признаков перегрузки ПЖ уровень высокочувствительных тропонинов был в пределах нормальных значений, у больных с перегрузкой ПЖ – превышал норму в 10 раз, а у больных с шоком – почти в 100 раз. Это означает, что у больных ТЭЛА высокого риска сосудистое сопротивление малого круга выше, чем у больных промежуточного риска, а у последних – выше, чем у больных низкого риска.
Различия в уровне тропонинов между больными ТЭЛА промежуточного и низкого риска соответствуют различиям индекса обструкции, средняя величина которого у больных промежуточного риска (42,5%) в 3,5 раза больше, чем у больных низкого риска (12,5%). Отметим, что очень близкие значения индекса обструкции у больных с перегрузкой ПЖ и без таковой получены в работе M. Vedovati и соавт. – 40 и 24% [2]. Однако средние величины индекса обструкции у больных ТЭЛА высокого и промежуточного риска были одинаковыми (42,5 и 42,5%), в то время как уровень тропонинов различался более чем в 10 раз (264 и 19,5 нг/л). Таким образом, индекс обструкции не единственный фактор, определяющий тяжесть перегрузки ПЖ при ТЭЛА.
Повышение сосудистого сопротивления малого круга при ТЭЛА связано, во-первых, с механической обструкцией просвета сосудов занесенными в ЛА тромбоэмболами; во-вторых, с вазоконстрикторной реакцией, опосредованной выделением при ТЭЛА тромбоксана А2 и серотонина [10]. При одинаковой механической обструкции артериального русла более выраженную перегрузку ПЖ у больных ТЭЛА высокого риска можно объяснить только более выраженной вазоконстрикторной реакцией, приводящей к более выраженному повышению общего сосудистого сопротивления малого круга. Тот факт, что при одинаковом индексе обструкции поражение ствола ЛА у больных ТЭЛА высокого риска отмечалось почти в 10 раз чаще, чем у больных промежуточного риска, позволяет предполагать, что именно обструкция ствола ЛА служит причиной развития резко выраженной вазоконстрикторной реакции при ТЭЛА.
Развитие инфаркта легкого, напротив, ассоциируется с поражением сегментарных ветвей ЛА. Напомним, что в настоящем исследовании инфаркт легкого выявлен у 89,2% больных с обструкцией сегментарных ветвей ЛА и лишь у 28,0% больных без обструкции на этом уровне. Однако поражение сегментарных артерий, скорее всего, служит не причиной, а предпосылкой развития инфаркта легкого.
Известно, что инфаркт легкого развивается в зоне кровоснабжения окклюзированной тромбом ветви ЛА за счет пропитывания легочной ткани кровью, поступающей из капиллярного русла бронхиальных артерий [11]. Каждая сегментарная артерия снабжает кровью примерно 10% легкого, что позволяет ожидать при ее обструкции появления достаточно обширного легочного инфильтрата. Однако размеры инфаркта легкого на компьютерных томограммах редко превышают 2–3 см [12], а площадь – 6–7 см2 [11]. Более крупные участки уплотнения обычно обусловлены проекционным наложением теней нескольких мелких инфарктов [12–15]. Таким образом, развитие инфарктов легкого связано с обструкцией не сегментарных, а субсегментарных ветвей ЛА. Обструкция сегментарной артерии служит лишь предиктором высокого риска развития инфаркта в бассейне кровоснабжения одной из отходящих от нее субсегментарных ветвей.
Проведенное исследование показало, что поражение сегментарных ветвей отмечается тем чаще, чем ниже расположен верхний уровень обструкции. Так, при тромбоэмболии ствола ЛА дефекты наполнения сегментарных ветвей выявлены в 21,4% случаев, при тромбоэмболии главных ветвей – в 31,8%, долевых – в 80,0%. То есть, чем меньше исходный размер тромбоэмбола (и, соответственно, ниже верхний уровень обструкции), тем мельче отщепляющиеся от него фрагменты и тем чаще они достигают уровня сегментарных ветвей ЛА. Естественно предположить, что отмеченная закономерность распространяется и на субсегментарные артерии. Поэтому частота развития инфаркта легкого возрастает при снижении верхнего уровня обструкции ЛА. Напомним, что у больных с верхним уровнем обструкции на уровне ствола ЛА инфаркт легкого выявлен в 20,0% случаев, при верхнем уровне обструкции на уровне главных ветвей – в 52,3%, на уровне долевых – в 80,0%, а на уровне сегментарных ветвей – в 100%.
Заключение
Гемодинамические нарушения при ТЭЛА возникают при обструкции тромбоэмболами не менее 30% артериального круга малого круга, причем развитие обструктивного шока ассоциируется с поражением ствола ЛА и резко выраженным повышением уровня тропонинов в крови. Развитие инфаркта легкого ассоциируется с поражением сегментарных артерий, как с изолированным, так и сочетающимся с обструкцией вышележащих ветвей ЛА.
Авторы заявляют об отсутствии конфликта интересов.
Список сокращений
КТ – компьютерная томография ЛА – легочная артерия ПЖ – правый желудочек | ТЭЛА – тромбоэмболия легочной артерии ROC (receiver operating characteristic)-кривая – характеристическая кривая |
Об авторах
Евгений Станиславович Мазур
ФГБОУ ВО «Тверской государственный медицинский университет» Минздрава России
Автор, ответственный за переписку.
Email: mazur-tver@mail.ru
ORCID iD: 0000-0002-8879-3791
д.м.н., проф., зав. каф. госпитальной терапии и профессиональных болезней
Россия, ТверьВера Вячеславовна Мазур
ФГБОУ ВО «Тверской государственный медицинский университет» Минздрава России
Email: mazur-tver@mail.ru
ORCID iD: 0000-0003-4818-434X
д.м.н., проф. каф. госпитальной терапии и профессиональных болезней
Россия, ТверьРоберт Михайлович Рабинович
ГБУЗ ТО «Областная клиническая больница»
Email: mazur-tver@mail.ru
ORCID iD: 0000-0002-1562-6212
к.м.н., зав. кардиологическим отд-нием с палатой интенсивной терапии и реанимации
Россия, ТверьМария Анатольевна Бачурина
ГБУЗ ТО «Областная клиническая больница»
Email: mazur-tver@mail.ru
ORCID iD: 0000-0002-5556-3076
врач-пульмонолог отд-ния аллергологии-иммунологии с пульмонологическими койками
Россия, ТверьСписок литературы
- Konstantinides SV, Torbicki A, Agnelli G, et al. 2014 ESC Guidelines on the diagnosis and management of acute pulmonary embolism. Eur Heart J. 2014;35:3033-80. doi: 10.1093/eurheartj/ehu283
- Vedovati MC, Becattini M, Agnelli G. Multidetector CT scan for pulmonary embolism: embolic burden and clinical outcome. Chest. 2012;142(6):1417-24. doi: 10.1378/chest.11-2739
- Немирова С.В., Кацубо Л.Б., Кринина И.В., и др. Частота формирования легочно-плевральных осложнений острой тромбоэмболии легочных артерий по данным компьютерной томографии. Медицинский альманах. 2015;3(38):68-72 [Nemirova SV, Katsubo LB, Krinina IV, et al. The frequency of the formation of pulmonary and pleural complications of pulmonary embolism according to computed tomography. Meditsinskii al’monakh. 2015;3(38):68-72 (In Russ.)].
- Тромбоэмболия легочной артерии: руководство. Под ред. С.Н. Терещенко. М.: ГЭОТАР-Медиа, 2010 [Pulmonary embolism: a guide. Ed. SN Tereshchenko. Moscow: GEOTAR-Media, 2010 (In Russ.)].
- Крукович А.А, Примак Н.В., Захарчук Н.В., Мокшина М.В. Тромбоэмболия легочной артерии: вопросы диагностики и прогноза. Тихоокеанский мед. журн. 2017;4:31-7 [Krukovich AA, Primak NV, Zacharchuk NV, Mokshina MV. Pulmonary thromboembolism: diagnostics and prognosis. Tikhookeanskii med. zhurn. 2017;4:31-7 (In Russ.)]. doi: 10.17238/PmJ1609-1175.2017.4.31-37
- Stein PD, Fowler SE, Goodman LR, et al. Multidetector computed tomography for acute pulmonary embolism. N Engl Med. 2006;354(22):2317-27. doi: 10.1056/NEJMoa 052367
- Qanadli SD, Hajjam MEl, Vieillard-Baron A, et al. New CT index to quantify arterial obstruction in pulmonary embolism: comparison with angiographic index and echocardiography. AJR Am J Roentgenol. 2001;176(6):1415-20. doi: 10.2214/ajr.176.6.1761415
- Becattini C, Vedovati MC, Agnelli G. Prognostic value of troponins in acute pulmonary embolism: a meta-analysis. Circulation. 2007;116(4):427-33. doi: 10.1161/CIRCULATIONAHA.106.680421
- Masotti L, Righini M, Vuilleumier N, et al. Prognostic stratification of acute pulmonary embolism: focus on clinical aspects, imaging and biomarkers. Vasc Health Risk Manag. 2009;5:567-75. doi: 10.2147/vhrm.s4861
- Smulders YM. Pathophysiology and treatment of hemodynamic instability in acute pulmonary embolism: the pivotal role of pulmonary vasoconstriction. Cardiovasc Res. 2000;48(1):23-33. doi: 10.1016/S0008-6363(00)00168-1
- Савельев В.С. Флебология. Руководство для врачей. М.: Медицина, 2001 [Savel’ev VS. Phlebology. A guide for doctors. Moscow: Meditsina, 2001 (In Russ.)].
- Тюрин И.Е. Тромбоэмболия легочной артерии: возможности лучевой диагностики. Атмосфера. Пульмонология и аллергология. 2005;4:20-4 [Tyurin IE. Pulmonary embolism: radiation diagnostics. Pulmonology and allergology. 2005;4:20-4 (In Russ.)].
- Carrier M, Righini M, Wells PS, et al. Subsegmental pulmonary embolism diagnosed by computed tomography: incidence and clinical implications. A systematic review and meta-analysis of the management outcome studies. J Thromb Haemost. 2010;8(8):1716-22. doi: 10.1111/j.1538-7836.2010.03938
- Stein PD, Goodman LR, Hull RD, et al. Diagnosis and management of isolated subsegmental pulmonary embolism: review and assessment of the options. Clin Appl Thromb Haemost. 2012;18(1):20-6. doi: 10.1177/1076029611422363
- Юдин А.Л., Учеваткин А.А., Афанасьева Н.И., и др. Методические особенности МДКТ-ангиографии и МДКТ-ангиопульмонографии. Медицинская визуализация. 2015;3:123-32 [Yudin AL, Uchevatkin AA, Afanas’eva NI, et al. Methodical features of MDCT angiography and MDCT angiopulmonography. Meditsinskaya vizualizatsiya. 2015;3:123-32 (in Russ.)].
Дополнительные файлы




