Immunosupressive therapy of aplastic anemia patients: successes and failures (single center experiment 2007–2016)
- Authors: Mikhaylova E.A.1, Fidarova Z.T.1, Abramova A.V.1, Luchkin A.V.1, Troitskaya V.V.1, Dvirnyk V.N.1, Galtseva I.V.1, Kliasova G.A.1, Kovrigina A.M.1, Kulikov S.M.1, Chabaeva Y.А.1, Parovichnikova E.N.1, Savchenko V.G.1, Obukhova T.N.1
-
Affiliations:
- National Research Center for Hematology
- Issue: Vol 92, No 7 (2020)
- Pages: 4-9
- Section: Editorial article
- Submitted: 25.08.2020
- Published: 01.09.2020
- URL: https://ter-arkhiv.ru/0040-3660/article/view/43117
- DOI: https://doi.org/10.26442/00403660.2020.07.000756
- ID: 43117
Cite item
Full Text
Abstract
Treatment programs for patients with acquired aplastic anemia include two main therapeutic options: allogeneic bone marrow transplantation and combined immunosuppressive therapy (IST). However, combined IST remains the method of choice for most adult AA patients. This study included 120 AA patients who received IST at the National Research Center for Hematology in 2007–2016. The analysis was applied to 120 patients. Median age was 25 (17–65) years, M/F: 66/54, SAA/NSAA: 66%/34%. Effectiveness of IST was carried out in 120 patients with AA. This group did not include 8 SAA patients who died during the first 3 months from the start of treatment from severe infectious complications (early deaths – 6.2%) and 2 AA patients who dropped out of surveillance. The observation time was 55 (6–120) months. Paroxysmal nocturnal hemoglobinuria (PNH clone) was detected in 67% of AA patients. The median PNH clone size (granulocytes) was 2.5 (0.01–99.5)%. The treatment was according to the classical protocol of combined IST: horse antithymocytic globulin and cyclosporin A. Most of patients (87%) responded to combined immunosuppressive therapy. To achieve a positive response, it was sufficient to conduct one course of ATG to 64% of patients, two courses of ATG – 24% of patients and 2% of patients responded only after the third course of ATG. A positive response after the first course was obtained in 64% of patients included in the analysis. Most of the responding patients (93%) achieve a positive response after 3–6 months from the start of treatment. Therefore, the 3rd–6th months after the first course of ATG in the absence of an answer to the first line of therapy can be considered the optimal time for the second course of ATG. This tactic allows to get an answer in another 58% of patients who did not respond to the first course of ATG. The probability of an overall 10-year survival rate was 90% (95% confidence interval 83.6–96.2).
Full Text
АА – апластическая анемия
АТГ – антитимоцитарный глобулин
ДИ – доверительный интервал
ИСТ – иммуносупрессивная терапия
лАТГ – лошадиный антитимоцитарный глобулин
ОВ – общая выживаемость
ПНГ-клон – клон пароксизмальной ночной гемоглобинурии
ТАА – тяжелая апластическая анемия
ЦсА – циклоспорин А
Введение
Апластическая анемия (АА) – заболевание системы крови, характеризующееся панцитопенией, обусловленной аплазией костного мозга, связанной с нарушением иммунных механизмов регуляции кроветворения, количественным дефицитом и функциональными дефектами стволовых кроветворных клеток. В большинстве случаев приобретенной АА взрослых патогенез заболевания носит иммуноопосредованный характер [1].
Одним из ведущих механизмов поражения кроветворения при АА считается иммунная агрессия, направленная на клетки-предшественницы гемопоэза. Костномозговая недостаточность при АА развивается в результате подавления пролиферации гемопоэтических клеток-предшественниц активированными T-лимфоцитами и естественными киллерами. Активация T-лимфоцитов, экспансия цитотоксических T-клонов и выброс медиаторов иммунной супрессии кроветворения (интерферон γ, фактор некроза опухолей α и другие цитокины) или цитокинов, стимулирующих пролиферацию и активацию T-лимфоцитов (интерлейкин-2), приводят к нарушению процессов пролиферации и стимуляции апоптоза клеток-предшественниц, вследствие чего происходят значительное сокращение количества гемопоэтических клеток и развитие аплазии костного мозга [2, 3]. Определенную роль в патогенезе АА могут, по-видимому, играть и другие механизмы развития костномозговой недостаточности, связанные с нарушениями микроокружения (стромы костного мозга) и клональными перестройками в разделе стволовых кроветворных клеток в результате геномной нестабильности, истощения теломерных участков ДНК, появления соматических мутаций и хромосомных аномалий [4–6].
Современные программы лечения больных АА включают два основных терапевтических направления: трансплантацию аллогенного HLA-идентичного костного мозга и комбинированную иммуносупрессивную терапию (ИСТ). Результаты этих двух методов лечения во многом определяются возрастом больных: у молодых (моложе 20 лет) эффективность трансплантации костного мозга значительно превышает эффективность ИСТ, но у больных более старшего возраста результаты лечения сравнимы [6]. На эффективность ИСТ помимо возраста больного отрицательное влияние оказывают тяжесть заболевания, определяемая количеством гранулоцитов в периферической крови (менее 0,5¥109/л), длительность периода от диагностики заболевания до начала ИСТ более 6 мес, хроническая перегрузка железом вследствие множественных гемотрансфузий и ряд других факторов [7–13].
В то же время выявление у больного АА клона пароксизмальной ночной гемоглобинурии – ПНГ-клона (минорного или небольшого размера) в настоящее время считается фактором возможного хорошего ответа на ИСТ [14, 15]. Отсутствие ответа на ИСТ в ряде случаев является косвенным свидетельством участия в патогенезе болезни и других механизмов развития костномозговой недостаточности [16].
Классический протокол комбинированной ИСТ включает антитимоцитарный глобулин (АТГ) и циклоспорин А (ЦсА). Вероятность длительной общей выживаемости (ОВ) больных АА 20–40 и старше 40 лет составляет 69 и 58% соответственно [17]. Использование в данном протоколе лошадиного АТГ (лАТГ) позволяет получить положительный ответ к 3-му месяцу у 62% и к 6-му месяцу у 68% больных АА [18].
Настоящая работа посвящена анализу эффективности классического протокола комбинированной ИСТ у больных АА, находившихся на лечении в ФГБУ «НМИЦ гематологии» в период 2007–2016 гг.
Материалы и методы
Комбинированная ИСТ выполнена 130 больным АА. В течение первых 3 мес после начала лечения умерли 8 (6%) больных ТАА (ранние смерти) от тяжелых инфекционных осложнений: сепсис, висцеральный аспергиллез. В связи с отсутствием данных о дальнейшем течении заболевания 2 больных не включены в проведенный анализ. Поэтому эффективность комбинированной ИСТ оценивалась у 120 человек, среди которых 70 мужчин и 50 женщин. Медиана возраста составляла 25 (17–65) лет, медиана давности болезни – 5 (1–81) мес. Диагноз АА устанавливали на основании общепринятых критериев: анемия, гранулоцитопения и тромбоцитопения по данным анализов периферической крови; по результатам морфологического (стернальный пунктат) и гистологического (билатеральная трепанобиопсия) исследований костного мозга. Всем больным выполнялось цитогенетическое исследование костного мозга: на момент диагностики заболевания только в одном случае обнаружена трисомия 6 и у одной больной – трисомия Х. У 79 (66%) больных диагностирована тяжелая АА (ТАА) и у 41 (34%) – нетяжелая АА. Основной критерий тяжести АА – количество гранулоцитов в периферической крови (менее 0,5¥109/л для ТАА). Определение ПНГ-клона высокочувствительным методом проточной цитометрии с использованием реактива FLAER до начала терапии проведено у 76 больных, выявлен у 52 (68%) из них. Медиана размера ПНГ-клона по гранулоцитам составила 1,43 (0,01–99,7)%. При этом у 70% больных размер ПНГ-клона по гранулоцитам – менее 10%. Медиана продолжительности наблюдения составила 55 (6–120) мес. Клинико-лабораторная характеристика больных представлена в табл. 1. Все пациенты с АА, получавшие комбинированную ИСТ в качестве терапии 1-й линии, не имели HLA-идентичного родственного донора костного мозга.
Таблица 1. Клинико-лабораторная характеристика больных АА до начала ИСТ | ||
Клиническая характеристика больных АА до начала ИСТ (n=120) | ||
n | % | |
Мужчины | 70 | 58 |
Женщины | 50 | 42 |
Возраст, лет | 25 (17–65) | |
Медиана (диапазон) | ||
<18 | 4 | 3,3 |
18–40 | 100 | 83,3 |
>40 | 16 | 13,3 |
Тяжесть АА | ||
ТАА | 79 | 66 |
Нетяжелая АА | 41 | 34 |
ПНГ-клон | ||
Есть | 52 | 68 |
Нет | 24 | 32 |
Размер ПНГ-клона среди гранулоцитов, % | ||
<1 | 22 | 44 |
1–10 | 13 | 26 |
11–50 | 9 | 18 |
>50 | 6 | 12 |
Стандартное цитогенетическое исследование | ||
Нормальный кариотип | 45 | 66 |
Хромосомные аномалии: | 3 | 4,5 |
Трисомия 6 | 1 | 1,5 |
+Х | 1 | 1,5 |
+mar | 1 | 1,5 |
Отсутствие митозов | 17 | 25 |
Ретикулоциты, % | 1,05 (0,1–4,7) | |
Медиана (диапазон) | ||
Ретикулоциты (¥109/л) | 26 (1,6–133,95) | |
Медиана (диапазон) | ||
Ферритин, нг/мл | 797 (16–5000) | |
Медиана (диапазон) | ||
Лактатдегидрогеназа, Ед/л | 391(198-931) | |
Медиана (диапазон) | ||
ИСТ проводилась согласно Национальным рекомендациям по лечению больных АА и по опубликованному протоколу, включающему лАТГ (Atgam, Pfizer) в дозировке 20 мг/кг в сутки в течение 5 дней и ЦсА в начальной дозе 5–10 мг/кг в сутки [19, 20]. В дальнейшем доза ЦсА подбиралась индивидуально в зависимости от клинической переносимости и концентрации ЦсА в сыворотке крови. Медиана суточной дозы составляла 300 (200–400) мг. Курс терапии ЦсА продолжался в течение 24 мес. При стабильном положительном ответе суточную дозу ЦсА медленно уменьшали на 50 мг каждые 2–4 нед под контролем показателей периферической крови. Через 3 мес от начала лечения проводили оценку эффективности терапии. При отсутствии ответа больной получал 2-й курс лАТГ в той же дозировке. Протокол комбинированной ИСТ представлен на рис. 1. Объем ИСТ (количество курсов АТГ+ЦсА): 1 курс проведен 77 больным, 2 курса получили 43 и 3 курса – 5 пациентов. Результаты лечения оценивались каждые 3–6 мес по критериям, представленным в табл. 2. Клинико-гематологическое улучшение (общий ответ, гематологический ответ) достигалось при регрессии трансфузионной зависимости.
Таблица 2. Варианты ответа на ИСТ | |||
Показатели гемограммы | Клинико-гематологическое улучшение (гематологический ответ) | Частичная ремиссия | Полная ремиссия |
Гемоглобин | ≥80,0 г/л | ≥100,0 г/л | ≥120,0 г/л |
Гранулоциты | ≥1,0¥109/л | ≥1,5¥109/л | ≥2¥109/л |
Тромбоциты | ≥20,0¥109/л | ≥80,0¥109/л | ≥150,0¥109/л |
Статистический анализ
В работе использованы классические методы статистического анализа: описательный, событийный анализ. Для оценки ОВ расчет времени проводился от даты проведения курса АТГ, бессобытийной выживаемости – от даты проведения курса АТГ до даты развития рецидива, смерти или прогрессии в ПНГ. Для расчетов использовали статистический пакет SAS 9.4.
Результаты
На комбинированную ИСТ общий ответ получен у 87% (104 из 120) больных. Для достижения гематологического ответа оказалось достаточным проведение одного курса АТГ 74% (77 из 104) больным, 2 курсов АТГ – 24% (25 из 104) больных, и 2% (2 из 104) потребовалось 3 курса АТГ. На первые 2 курса ИСТ гематологический ответ достигнут у 85% (102 из 120) пациентов. Ремиссия получена у 69% (83 из 120) лиц, но полных ремиссий достигли только 46% (55 из 120) больных АА (табл. 3).
Таблица 3. Эффективность ИСТ и характер ответа на 1 и 2-й курс АТГ (2007–2017 гг.) | ||||
Характер ответа | Положительный ответ | Ремиссии | Полные ремиссии | Отсутствие ответа |
Общий ответ (n=120) | 87% (104 из 120) | 69% (83 из 120) | 46% (55 из 120) | 13% (16 из 120) |
Ответ на 1-й курс АТГ (n=120) | 64% (77 из 120) | 58% (70 из 120) | 6% (7 из 120) | 36% (43 из 120) |
Ответ на 2-й курс АТГ (n=43) | 58% (25 из 43) | 23% (10 из 43) | 12% (5 из 43) | 42% (18 из 43) |
При анализе характера ответа на 1-й курс АТГ получены следующие результаты: общий гематологический ответ наблюдался у 64% (77 из 120) пациентов, ремиссия диагностирована у 58% (70 из 120) и полные ремиссии – у 6% (7 из 120) больных. Медиана развития клинико-гематологического улучшения после 1-го курса составила 5 (1–55) мес, медиана развития частичной ремиссии – 10 (2–53) мес. Анализ времени развития ответа на 1-й курс АТГ показал, что через 3 мес и дополнительно к 6-му месяцу после начала терапии ответили 45% (54 из 120) и 15% (18 из 120) больных соответственно. Гематологический ответ через 6 мес от начала ИСТ составлял 60% (72 из 120) больных (рис. 2). При ретроспективном анализе оказалось, что из 77 больных, достигших гематологического ответа на 1-й курс АТГ, через 3 мес ответили уже 54 (70%) и к 6-му месяцу – еще 18 (23%) из 77 больных, и только 5 (7%) из 77 пациентов ответили позже (табл. 4). Таким образом, первоначальная оценка ответа на ИСТ может проводиться уже через 3 мес от начала лечения.
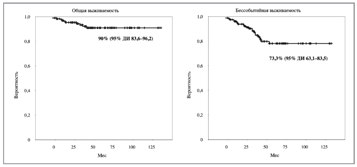
Рис. 2. Десятилетняя общая и бессобытийная выживаемость больных приобретенной АА.
На 1-й курс АТГ ответ не достигнут у 36% (43 из 120) больных, поэтому им проведен 2-й курс АТГ (см. табл. 3). Гематологический ответ получен у 58% (25 из 43) больных, ремиссии – у 23% (10 из 43), при этом полные ремиссии отмечены только у 12% (5 из 43) пациентов. Медиана развития ответа после 2-го курса АТГ составила 6 (1–37) мес, медиана развития ремиссии – 15 (3–45) мес. На 2-й курс АТГ не достигнут ответ на лечение 37% (18 из 43) больных. Три курса АТГ получили 5 больных, у которых не достигнут ответ на терапию после первых 2 курсов АТГ. У двоих больных достигнута частичная ремиссия, у одного больного сохраняются цитопения и зависимость от трансфузий донорских эритроцитов и тромбоцитов, 2 больных с глубокой цитопенией умерли от тяжелых инфекционных осложнений.
Таблица 4. Время развития ответа после 1-го курса АТГ | |||
Характер ответа | 3 мес | 6 мес | К 12 мес и позже |
Ответ (n=120/77*) | 45%/70%* (n=54) | 15%/23%* (n=18) | 4%/7%* (n=5) |
Ремиссия (n=120/70*) | 8%/14% (n=10) | 39%/61% (n=47) | 11%/17% (n=13) |
*Больные АА после одного курса АТГ. | |||
Поздний ответ на ИСТ (к 12 мес и позже) наблюдался у 15% (16 из 104) больных. В момент установления диагноза АА и начала ИСТ медиана возраста составила 26 (17–49) лет, ТАА диагностирована у большинства больных, многим проведено 2 курса АТГ. Но ремиссии достигнуты только у 7 из 16 лиц, при этом полные ремиссии – только у 2 из 7. У большинства пациентов получено только клинико-гематологическое улучшение. Для достижения частичной ремиссии 2 больным в протокол лечения включен элтромбопаг. Многочисленными клиническими исследованиями продемонстрировано значительное улучшение гематологических показателей под влиянием элтромбопага [21, 22].
Рецидивы отмечены у 12 (14,5%) из 83 больных, у которых достигнута ремиссия. Медиана развития рецидива составила 31 (15–56) мес. Терапия рецидивов проводилась ЦсА у 3 больных (рецидивы после его отмены), 7 человек получили повторные курсы АТГ и ЦсА и 2 пациента – АТГ, ЦсА и элтромбопаг. Ответ на лечение получен у 8 (67%) из 12 больных. При этом повторные ремиссии достигнуты у 6 из 8 больных. Медиана ответа составила 3 (1–24) мес. Повторные рецидивы после отмены ЦсА отмечены у 2 человек. Отсутствие ответа наблюдалось у 4 больных: у 3 сохраняются цитопения и зависимость от трансфузий донорских эритроцитов и тромбоцитов, 1 больной умер от тяжелых инфекционных осложнений.
Классическая ПНГ развилась у 6 (5%) из 120 больных. Медиана прогрессии в ПНГ от начала ИСТ составила 27 (4–46) мес, медиана от достижения ремиссии – 14 (1–24) мес.
За время наблюдения от момента начала ИСТ умерли 9 больных, медиана развития смерти – 16 (6–44) мес. Десятилетняя ОВ больных, получавших ИСТ, составила 90% (95% доверительный интервал – ДИ 83,6–96,2). Бессобытийная выживаемость в течение 10 лет наблюдения составила 73,3% (95% ДИ 63,1–83,5), при этом за событие принимали рецидив АА, развитие классической ПНГ, смерть больного (см. рис. 2).
Обсуждение
Современные протоколы комбинированной ИСТ, включающие АТГ и ЦсА, позволяют у большинства больных АА получить стабильный положительный ответ на лечение. В нашей работе использование классического протокола ИСТ (лАТГ + длительный курс лечения ЦсА) эффективно у 87% больных. Однако полные ремиссии достигнуты только у 46% пациентов. Но вероятность длительной (10-летней) ОВ оказалась достаточно высокой: 10-летняя ОВ больных, получавших ИСТ, составила 90% (95% ДИ 83,6–96,2). После 1-го курса АТГ гематологический ответ получен у большинства больных (64%). При этом ретроспективный анализ показал, что у 70% лиц с положительным ответом на 1-й курс АТГ уже через 3 мес можно наблюдать развитие клинико-гематологического улучшения, т.е. первичный положительный ответ на лечение. Поэтому 3–6-й месяц от начала ИСТ, c нашей точки зрения, можно считать оптимальным сроком для принятия решения о проведении 2-го курса АТГ. Проведение 2-го курса АТГ позволяет получить положительный гематологический ответ еще у 58% больных, у которых 1-й курс АТГ не дал результата.
Программа лечения больных АА, используемая в ФГБУ «НМИЦ гематологии», включает длительный прием ЦсА (не менее 24 мес) с медленной отменой препарата при получении хорошего стабильного ответа (частичной или полной ремиссии) [19, 20]. Продолжительность курса применения ЦсА в программах комбинированной ИСТ до настоящего времени является предметом обсуждения в публикуемых статьях, посвященных эффективности современной терапии больных АА. В 1990-е годы использовались, как правило, короткие курсы терапии ЦсА (6 мес) в сочетании с АТГ, в дальнейшем рекомендовалось длительное лечение ЦсА – не менее года после становления ремиссии. Установлено, что частота развития рецидива не зависит от продолжительности курса лечения ЦсА, но при длительном курсе (не менее 2 лет) увеличивается продолжительность ремиссии и отдаляется время развития рецидива. Известно, что к 5 годам рецидив может развиться у 1/3 больных АА, ранее достигших гематологического ответа или ремиссии на лечение. Возможно, небольшое число рецидивов среди больных нашей группы (14,5%) можно объяснить не только длительным приемом ЦсА, но и тем, что медиана наблюдения за пациентами, включенными в данную работу, от момента начала ИСТ и до времени проведения анализа результатов лечения несколько меньше 60 мес и составляет 55 мес. Дальнейшее наблюдение за больными позволит определить частоту рецидивов в более поздние сроки. В последних публикациях, посвященных эффективности комбинированной ИСТ, отмечается значительное снижение частоты развития рецидивов в тех случаях, когда лечение проводится по протоколам с длительным применением (24 мес) по сравнению с коротким курсом (6 мес) ЦсА после АТГ – 14 и 54% соответственно [12].
Вероятность длительной ОВ и безрецидивной выживаемости у больных АА, получавших комбинированную ИСТ поэтапно в определенной последовательности в рамках данной работы, оказалась достаточно высокой. Но 13% лиц не достигли ответа на проведенное лечение. Разработка эффективных методов терапии больных рефрактерной АА остается актуальной задачей дальнейших исследований, и одним из направлений этой работы является изучение эффективности включения в программу ИСТ на различных этапах лечения лекарственных препаратов, стимулирующих костномозговое кроветворения, и в частности агонистов тромбопоэтиновых рецепторов (элтромбопаг) [23–25]. Клиническое использование элтромбопага может сопровождаться моно-, би-, трехлинейным гематологическим ответом у больных рефрактерной АА, а его использование в программах комбинированной терапии АА достоверно повышает частоту достижения полного ответа и ОВ больных [22]. Следует подчеркнуть, что дальнейшая оптимизация программ иммуносупрессивной терапии не исключает необходимости своевременного поиска HLA-идентичных родственных и неродственных доноров костного мозга.
Заключение
Современная программа лечения больных АА, включающая использование на различных этапах течения болезни как комбинированной ИСТ, так и трансплантации гемопоэтических стволовых клеток, позволяет значительно улучшить вероятность длительной ОВ больных и качество их жизни.
About the authors
E. A. Mikhaylova
National Research Center for Hematology
Author for correspondence.
Email: mikhaylova.e@blood.ru
ORCID iD: 0000-0002-2449-2682
д.м.н., проф., вед науч. сотр. отд-ния высокодозной интенсивной химиотерапии гемобластозов и депрессий кроветворения с круглосуточным стационаром
Russian Federation, MoscowZ. T. Fidarova
National Research Center for Hematology
Email: mikhaylova.e@blood.ru
ORCID iD: 0000-0003-0934-6094
к.м.н., зав. отд-нием химиотерапии гемобластозов и депрессий кроветворения с дневным стационаром
Russian Federation, MoscowA. V. Abramova
National Research Center for Hematology
Email: mikhaylova.e@blood.ru
ORCID iD: 0000-0002-8113-6115
врач отд-ния высокодозной интенсивной химиотерапии гемобластозов и депрессий кроветворения с круглосуточным стационаром
Russian Federation, MoscowA. V. Luchkin
National Research Center for Hematology
Email: mikhaylova.e@blood.ru
ORCID iD: 0000-0002-4400-4711
врач отд-ния высокодозной интенсивной химиотерапии гемобластозов и депрессий кроветворения с круглосуточным стационаром
Russian Federation, MoscowV. V. Troitskaya
National Research Center for Hematology
Email: mikhaylova.e@blood.ru
ORCID iD: 0000-0002-4827-8947
к.м.н., зав. отд-нием интенсивной высокодозной химиотерапии гемобластозов и депрессий кроветворения с круглосуточным стационаром
Russian Federation, MoscowV. N. Dvirnyk
National Research Center for Hematology
Email: mikhaylova.e@blood.ru
ORCID iD: 0000-0002-9877-0796
к.м.н., зав. лаб. клинической лабораторной диагностики
Russian Federation, MoscowI. V. Galtseva
National Research Center for Hematology
Email: mikhaylova.e@blood.ru
ORCID iD: 0000-0002-8490-6066
к.м.н., зав. лаб. иммунофенотипирования клеток крови и костного мозга
Russian Federation, MoscowG. A. Kliasova
National Research Center for Hematology
Email: mikhaylova.e@blood.ru
ORCID iD: 0000-0001-5973-5763
д.м.н., проф., зав. лаб. клинической бактериологии, микологии и антибиотической терапии
Russian Federation, MoscowA. M. Kovrigina
National Research Center for Hematology
Email: mikhaylova.e@blood.ru
ORCID iD: 0000-0002-1082-8659
д.б.н., зав. патологоанатомическим отд-нием
Russian Federation, MoscowS. M. Kulikov
National Research Center for Hematology
Email: mikhaylova.e@blood.ru
зав. информационно-техническим отд.
Russian Federation, MoscowYu. А. Chabaeva
National Research Center for Hematology
Email: mikhaylova.e@blood.ru
ORCID iD: 0000-0001-8044-598X
специалист информационно-технического отд.
Russian Federation, MoscowE. N. Parovichnikova
National Research Center for Hematology
Email: mikhaylova.e@blood.ru
ORCID iD: 0000-0001-6177-3566
д.м.н., проф., рук. отд. химиотерапии гемобластозов, депрессий кроветворения и ТКМ
Russian Federation, MoscowV. G. Savchenko
National Research Center for Hematology
Email: mikhaylova.e@blood.ru
ORCID iD: 0000-0001-8188-5557
акад. РАН, д.м.н., проф., ген. дир.
Russian Federation, MoscowT. N. Obukhova
National Research Center for Hematology
Email: mikhaylova.e@blood.ru
ORCID iD: 0000-0003-1613-652X
зав. кариологической лаб.
Russian Federation, MoscowReferences
- Young NS, Calado RT, Scheinberg P. Current concepts in the pathophysiology and treatment of aplastic anemia. Blood. 2006;108:2509-19. doi: 10.1182/blood-2006-03-010777
- Kordasti S, Costantini B, Seidl T, et al. Deep phenotyping of tregs identifies an immune signature for idiopathic aplastic anemia and predicts response to treatment. Blood. 2016;128:1193-205. doi: 10.1182/blood-2016-03-703702
- Risitano AM, Maciejewski JP, Green S, et al. In-vivo dominant immune responses in aplastic anaemia: molecular tracking of putatively pathogenetic T-cell clones by TCR beta-CDR3 sequencing. Lancet (London, England). 2004;364:35564. doi: 10.1016/S0140-6736(04)16724-X
- Medinger M, Drexler B, Lengerke C, Passweg J. Pathogenesis of acquired aplastic anemia and the role of the bone marrow microenvironment. Front Oncol. 2018;8:1-10. doi: 10.3389/fonc.2018.00587
- Young NS. Aplastic Anemia. N Engl J Med. 2018;379:1643-56. doi: 10.1056/NEJMra1413485
- Luzzatto L, Risitano AM. Advances in understanding the pathogenesis of acquired aplastic anaemia. Br J Haematol. 2018;182:758-76. doi: 10.1111/bjh.15443
- Bacigalupo A, Giammarco S, Sica S, et al. Bone marrow transplantation versus immunosuppressive therapy in patients with acquired severe aplastic anemia. Int J Hematol. 2016;104:168-74. doi: 10.1007/s12185-016-2037-8
- Scheinberg P. Aplastic anemia: therapeutic updates in immunosuppression and transplantation. Hematology Am Soc Hematol Educ Program. 2012;2012:292-300. doi: 10.1182/asheducation-2012.1.292
- Townsley DM, Winkler T. Nontransplant therapy for bone marrow failure. ASH Educ Progr B. 2016;2016:83-9. doi: 10.1182/asheducation-2016.1.83
- Killick SB, Bown N, Cavenagh J, et al. Guidelines for the diagnosis and management of adult aplastic anaemia. Br J Haematol. 2016;172:187-207. doi: 10.1111/bjh.13853
- Bacigalupo A. How I treat acquired aplastic anemia. Blood. 2017;129:1428-36. doi: 10.1182/blood-2016-08-693481
- Peffault de Latour R, Tabrizi R, Marcais A, et al. Nationwide survey on the use of horse antithymocyte globulins (ATGAM) in patients with acquired aplastic anemia: A report on behalf of the French Reference Center for Aplastic Anemia. Am J Hematol. 2018;93:635-42. doi: 10.1002/ajh.25050
- Alashkar F, Oelmuller M, Herich-Terhurne D, et al. Immunosuppressive therapy (IST) in adult patients with acquired aplastic anemia (AA): A single-center experience over the past 15 years. Eur J Haematol. 2019;103:18-25. doi: 10.1111/ejh.13235
- Kulagin A, Lisukov I, Ivanova M, et al. Prognostic value of paroxysmal nocturnal haemoglobinuria clone presence in aplastic anaemia patients treated with combined immunosuppression: Results of two-centre prospective study. Br J Haematol. 2014;164:546-54. doi: 10.1111/bjh.12661
- Scheinberg P, Wu CO, Nunez O, Young NS. Predicting response to immunosuppressive therapy and survival in severe aplastic anaemia. Br J Haematol. 2009;144:206-16. doi: 10.1111/j.1365-2141.2008.07450.x
- Scheinberg P, Cooper JN, Sloand EM, et al. Association of telomere length of peripheral blood leukocytes with hematopoietic relapse, malignant transformation, and survival in severe aplastic anemia. JAMA. 2010;304:1358-64. doi: 10.1001/jama.2010.1376
- Bacigalupo A. Antithymocyte globulin and transplants for aplastic anemia. Haematologica. 2017;102:1137-8. doi: 10.3324/haematol. 2017.171538
- Scheinberg P, Nunez O, Weinstein B, et al. Horse versus rabbit antithymocyte globulin in acquired aplastic anemia. N Engl J Med. 2011;365:430-8. doi: 10.1056/NEJMoa1103975
- Михайлова Е.А., Фидарова З.Т., Устинова Е.Н. и др. Комбинированная иммуносупрессивная теарпия у больных апластической анемией: эффективность повторных курсов. Гематология и трансфузиология. 2014;59:11-8 [Mikhailova EA, Fidarova ZT, Ustinova EN, et al. Combined immunosuppressive therapy of aplastic anemia: repeated courses of horse antithymocytic globulin. Gematologiya i transfusiologiya. 2014;59:11-8 (In Russ.)].
- Михайлова Е.А., Фидарова З.Т., Абрамова А.В. и др. Протокол программного лечения больных апластической анемией: комбинированная иммуносупрессивная терапия. Алгоритмы диагностики и протоколы лечения заболеваний системы крови. М.: Практика, 2018; с. 213–30 [Mikhailova EA, Fidarova ZT, Troitskaya VV, et al. Protocol of progamm treatment aplastic anemia patients: combined immunosupressive therapy. In Algoritmy diagnostiki i protokoly lechenia zabolevaniy sistemy krovi. Moscow: Practika, 2018; p. 213-30 (In Russ.)].
- Desmond R, Townsley DM, Dunbar C, Young NS. Eltrombopag in Aplastic Anemia. Semin Hematol. 2015;52(1):31-7. doi: 10.1053/ j.seminhematol.2014.10.002
- Desmond R, Townsley DM, Dumitriu B, et al. Eltrombopag restores trilineage hematopoiesis in refractory severe aplastic anemia that can be sustained on discontinuation of drug. Blood. 2014;123:1818-25. doi: 10.1182/blood-2013-10-534743
- Olnes MJ, Scheinberg P, Calvo KR, et al. Eltrombopag and improved hematopoiesis in refractory aplastic anemia. N Engl J Med. 2012;367:11-9. doi: 10.1056/NEJMoa1200931
- Townsley DM, Scheinberg P, Winkler T, et al. Eltrombopag Added to Standard Immunosuppression for Aplastic Anemia. N Engl J Med. 2017;376:1540-50. doi: 10.1056/NEJMoa1613878
- Scheinberg P. Activity of eltrombopag in severe aplastic anemia. Blood Adv. 2018;2:450-6. doi: 10.1182/bloodadvances.2018020248
Supplementary files





