Angiogenesis system, as a part of endothelial dysfunction in patients with diabetes mellitus type 2: relationship with obesity
- Authors: Severina A.S.1, Shestakova M.V.1
-
Affiliations:
- Endocrinology Research Centre
- Issue: Vol 92, No 10 (2020)
- Pages: 23-28
- Section: Original articles
- Submitted: 23.11.2020
- Accepted: 23.11.2020
- Published: 15.10.2020
- URL: https://ter-arkhiv.ru/0040-3660/article/view/50969
- DOI: https://doi.org/10.26442/00403660.2020.10.000781
- ID: 50969
Cite item
Full Text
Abstract
Aim. To investigate parameters of angiogenesis system in patients with diabetes mellitus and their relationship with obesity.
Materials and methods. 104 patients with diabetes mellitus type 2 were included in the study. Patients were divided in 2 groups: Obesity+ (body mass index ≥30 kg/m2; n=63) and Obesity- (body mass index <30 kg/m2; n=41). In all patients was performed clinico-diagnostical examination. mRNA expression levels of vascular endothelial growth factor (VEGF), its receptors flt-1 (fms-like tyrosine kinase 1), KDR (human kinase insert domain receptor) were determined in blood mononuclear cells.
Results. There were no statistically significant differences in investigated parameters between study groups. mRNA expression level of VEGF was slightly lower in men compared to women: 0.19 (0.14; 0.32) vs 0.28 (0.12; 0.4) respectively, р=0.2236. MRNA expression level of flt-1 was lower in men compared to women: 0.14 (0.04; 0.3) vs 0.25 (0.12; 0.38), р=0.0321 (statistically significant). We found statistically significant correlations of mRNA expression level of VEGF with mRNA expression level of flt-1 and KDR. Also we found strong positive correlations of BMI and mRNA expression levels VEGF, flt-1, KDR (r=0.86107, r=0.86125, r=0.86112, respectively, p<0.001).
Conclusion. Results of the study displayed relationship of obesity and angiogenesis system condition in patients with diabetes mellitus type 2. Further investigations are perspective for the future as a way to new therapeutical approach of obesity and its complications treatment.
Full Text
ИМТ – индекс массы тела
мРНК – матричная РНК
ПЦР – полимеразная цепная реакция
СД – сахарный диабет
ЭК – эндотелиальные клетки
flt-1– рецептор сосудистого эндотелиального фактора роста
KDR – рецептор сосудистого эндотелиального фактора роста
VEGF – сосудистый эндотелиальный фактор роста
Введение
Ожирение является глобальной проблемой здравоохранения во всем мире, ежегодное нарастание среднего индекса массы тела (ИМТ) населения Земли составляет 0,4–0,5 кг/м2 [1]. Развитие ожирения тесно связано с формированием тяжелой коморбидной патологии, такой как атеросклероз, лежащий в основе сердечно-сосудистых заболеваний, сахарный диабет (СД), артериальная гипертензия, рак и расстройства сна. Субстратом развития ряда этих состояний является формирование эндотелиальной дисфункции вследствие воздействия образующихся в жировой ткани метаболически активных веществ, например, провоспалительных цитокинов, реактивных форм кислорода и др. [2, 3]. В результате развития эндотелиальной дисфункции запускается целый ряд процессов, таких как нарушение тонуса сосудов, процессов коагуляции и фибринолиза, процессов ангиогенеза и др., что считается основой для развития сердечно-сосудистых катастроф [4].
Одним из следствий дисфункции эндотелия является нарушение экспрессии факторов роста (в частности сосудистого эндотелиального фактора роста, VEGF), что при СД способствует активации ангиогенеза с формированием неполноценных хрупких сосудов в одних органах и, наоборот, подавлению ангиогенеза в других органах, где новообразование сосудов необходимо, что в конечном счете способствует прогрессированию сосудистых осложнений СД [5]. В случае ожирения также имеются противоречивые данные как о благоприятном эффекте изменений в системе ангиогенеза (например, в эксперименте показано, что при активации одного из путей передачи сигнала VEGF происходит превращение белой жировой ткани в бурую [6]), так и неблагоприятном – нарушения в системе ангиогенеза при развитии жировой ткани могут способствовать дополнительной активации воспалительных процессов в ней вследствие тканевой гипоксии [7].
Таким образом, представляет несомненный интерес изучение состояния системы ангиогенеза как отражения дисфункции эндотелия при таких двух взаимосвязанных состояниях, как ожирение и СД.
Цель исследования – оценить состояние системы ангиогенеза у пациентов с СД 2 и его взаимосвязь с наличием ожирения.
Материалы и методы
В исследование включены 104 пациента с СД 2. В соответствии с запланированным дизайном исследования все включенные пациенты поделены на две группы: группа пациентов с ожирением (ИМТ ≥30 кг/м2; n=63) и пациенты без ожирения (ИМТ <30 кг/м2; n=41).
Клиническое обследование включало оценку жалоб, сбор анамнеза основного заболевания и сопутствующей сердечно-сосудистой патологии, физикальное обследование c оценкой антропометрических данных (рост, масса тела, ИМТ), измерение артериального давления и частоты сердечных сокращений, при необходимости осмотр кардиологом, офтальмологом.
Лабораторные обследования
Для определения уровня компенсации углеводного обмена оценивали уровень гликированного гемоглобина (HbA1c) на биохимическом анализаторе Hitachi (Boehringer Mannheim, Германия). Биохимический анализ крови проводили на автоматическом биохимическом анализаторе Hitachi (Boehringer Mannheim, Германия). Все исследования проводили на базе лаборатории клинической биохимии ФГБУ «НМИЦ эндокринологии».
Для оценки системы ангиогенеза нами использованы следующие методологические подходы. Мононуклеарные лейкоциты периферической крови выделяли по широко используемой методике центрифугирования в градиенте плотности (центрифуга BECKMAN), предложенной A. Boyum и соавт., с незначительными модификациями [8]. Полученные клетки замораживали при -70ºС и хранили до момента проведения анализа. Тотальную клеточную РНК выделяли из мононуклеарных лейкоцитов периферической крови методом, предложенным P. Chomszynski и соавт., с некоторыми модификациями [9]. Анализ экспрессии матричной РНК (мРНК) VEGF и рецепторов к эндотелиальному фактору роста FLT-1 и KDR проводили методом обратной транскриптазной полимеразной цепной реакции (ПЦР). Продукты ПЦР разделяли методом электрофореза в 2% агарозном геле и 0,1 М TBE-буфере. Для полуколичественной оценки уровня экспрессии мРНК VEGF, FLT-1 и KDR измеряли интенсивность свечения в геле продуктов ПЦР (ПЦР-фрагментов VEGF, FLT-1 и KDR, а также фрагмента β-актина, который как конститутивный ген использовался в качестве внутреннего стандарта). Анализ изображения проводили на компьютере с помощью программы ImageJ (NIH USA). Для нормализации результатов рассчитывали отношение интенсивности свечения исследуемого ПЦР-фрагмента к интенсивности свечения ПЦР-фрагмента β-актина (VEGF/β-актин, FLT-1/β-актин, KDR/β-актин). Исследование проводили на базе лаборатории молекулярной биологии ГУЗ МНИИМЭ.
Забор крови на все исследования проводился из кубитальной вены натощак. За весь период проведения исследования использовавшиеся оборудование, методики и производители реагентов не менялись.
Анализ полученных результатов проводили с использованием пакета прикладных программ Statistica (StatSoft, USA, версия 6.0), Matlab® (The Mathworks, Inc.; версии 6.0 и 7.0), Microsoft Excel 2000 (Microsoft Corp.). Для описания полученных результатов применяли медиану и верхний и нижний квартили (25 и 75-й процентиль). Для оценки статистической значимости наблюдаемых различий использовали непараметрические критерии. Критический уровень значимости при проверке статистических гипотез принимали равным 0,05.
Результаты
Клинико-лабораторная характеристика включенных в исследование пациентов представлена в табл. 1.
Таблица 1. Клинико-лабораторная характеристика пациентов, включенных в исследование | |||
Показатель | Группа «ожирение -» (n=41) | Группа «ожирение +» (n=63) | р |
Возраст, лет | 62 (56; 65) | 58 (35; 81) | 0,068 |
ИМТ, кг/м2 | 26,8 (25,5; 28) | 33,1 (32; 35) | 0,001* |
Пол, м/ж | 12/29 | 26/35 | |
Длительность СД, годы | 8 (4; 12,5) | 11 (6; 14) | 0,43 |
HbA1c, % | 9 (7,1; 10,3) | 8,35 (7,25; 9,3) | 0,34 |
Примечание. Здесь и далее в табл. 2, 3: данные представлены в виде медианы (25-й процентиль; 75-й процентиль); *критерий Манна–Уитни. |
Как видно из табл. 1, группы пациентов статистически значимо не различались по основным клинико-демографическим показателям, за исключением значения ИМТ, который являлся критерием деления пациентов на группы.
Уровень экспрессии мРНК VEGF и его рецепторов – flt-1 и KDR – мы определяли в мононуклеарных клетках крови и выражали результаты в виде отношения к уровню экспрессии конститутивного белка β-актина. Результаты представлены в табл. 2.
Таблица 2. Параметры системы ангиогенеза | |||
Показатель | Группа «ожирение -» (n=41) | Группа «ожирение +» (n=63) | р |
мРНК VEGF | 0,28 (0,105; 0,415) | 0,25 (0,12; 0,4) | 0,71 |
мРНК flt-1 | 0,24 (0,16; 0,36) | 0,21 (0,07; 0,38) | 0,89 |
мРНК KDR | 0,04 (0; 0,095) | 0 (0; 0,11) | 0,71 |
При сравнении показателей системы ангиогенеза в исследуемых группах нами не обнаружено статистически значимых различий. Отсутствие статистически значимых различий в уровне экспрессии мРНК VEGF отчасти может быть объяснено тем, что, несмотря на доступность ядерного материала, все же мононуклеарные клетки не являются основным источником VEGF, хотя и участвуют в процессе формирования новых сосудов.
При анализе уровня экспрессии мРНК в зависимости от пола пациентов нами получены определенные результаты (табл. 3).
Таблица 3. Показатели уровня экспрессии мРНК VEGF, flt-1, KDR в мононуклеарных клетках у женщин и мужчин | |||
Показатель | Группа 1 – женщины (n=54) | Группа 2 – мужчины (n=38) | р* |
VEGF | 0,28 (0,12; 0,4) | 0,19 (0,14; 0,32) | 0,2236 |
flt-1 | 0,25 (0,12; 0,38) | 0,14 (0,04; 0,3) | 0,0321 |
KDR | 0,02 (0; 0,1) | 0,03 (0; 0,11) | 0,9857 |
Обращает на себя внимание несколько более низкий уровень экспрессии мРНК VEGF у мужчин по сравнению с женщинами, а также статистически значимо более низкий уровень экспрессии мРНК рецептора flt-1. Поскольку flt-1 в большей степени отвечает за пролиферацию эндотелиальных клеток под воздействием VEGF, чем за их дифференцировку и выживаемость, увеличение экспрессии его мРНК может в некоторой степени способствовать повышению риска сосудистых осложнений у женщин за счет формирования более хрупких сосудов.
С другой стороны, нами обнаружена отрицательная корреляция уровня мРНК flt-1 с уровнем диастолического артериального давления (r=-0,25, р=0,0263), что, вероятно, может отражать его участие в нарушении формирования коллатеральных сосудов у больных СД с кардиальной патологией.
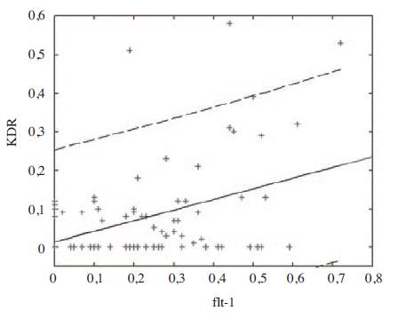
При оценке корреляций нами обнаружены статистически значимые корреляции уровня экспрессии мРНК VEGF с уровнем мРНК рецепторов, как flt-1, так и KDR, а также корреляция уровней экспрессии мРНК рецепторов друг с другом (рис. 1–3).
Рис. 1. Корреляция уровней экспрессии мРНК VEGF и flt-1.
Примечание: r=0,29, р=0,0085.
Рис. 2. Корреляция уровней экспрессии мРНК VEGF и flt-1.
Примечание: r=0,44, р=0,00006.
Рис. 3. Корреляция уровней экспрессии мРНК flt-1 и KDR.
Примечание: r=0,25, р=0,0251.
Полученные корреляции, вероятно, служат отражением согласованных изменений показателей ангиогенеза (мРНК как самогоVEGF, так и его рецепторов), что подтверждает возможность использования данной методики для оценки параметров ангиогенеза в наиболее доступных ядерных клетках.
С позиции изучения состояния системы ангиогенеза при ожирении как факторе сердечно-сосудистого риска представляют интерес полученные сильные корреляции уровня экспрессии мРНК VEGF и его рецепторов с ИМТ, представленные в табл. 4.
Таблица 4. Результаты корреляционного анализа ИМТ с параметрами системы ангиогенеза | |||
Показатель | Коэффициент корреляции Пирсона r | р | |
ИМТ | мРНК VEGF | 0,86107 | <0,001 |
мРНК flt-1 | 0,86125 | <0,001 | |
мРНК KDR | 0,86112 | <0,001 |
Сильная корреляция ИМТ с показателями системы ангиогенеза может служить отражением активации процесса в условиях избыточной массы тела, однако четкие причинно-следственные связи по результатам настоящего исследования, к сожалению, установить не получилось.
Обсуждение
Известно, что одну из ключевых ролей в патогенезе ожирения и последующих метаболических нарушений играют взаимоотношения между адипоцитами и эндотелиальными клетками (ЭК) [10]. Главным образом адипоциты и ЭК взаимодействуют посредством семейства VEGF и его рецепторов (flt-1, KDR и flt-4), следовательно, данный факт послужил причиной изучения роли указанных факторов в метаболических нарушениях при ожирении [11].
Жировая ткань является источником множества биоактивных веществ, таких как гормоны и цитокины (например, интерлейкин-6), ответственных за продукцию наиболее распространенного члена семейства VEGF – VEGF-A, что может определять его повышенную экспрессию в жировой ткани [12]. Анализ исследований, сравнивающих пациентов с СД 2 с группой здорового контроля, продемонстрировал сильную ассоциацию между гипергликемией и повышенной экспрессией VEGF (стандартизованная разница средних 0,69, 95% доверительный интервал 0,34–1,04; p=0,0001), хотя гетерогенность была высокой (I2=83%). И количественные, и качественные данные из исследования предполагают, что VEGF-A избыточно экспрессируется в присутствии метаболического синдрома, компонентами которого являются как ожирение, так и нарушение углеводного обмена. Кроме того, анализ подгрупп показал, что при нарастании степени выраженности метаболических нарушений концентрация белка VEGF в сыворотке увеличивается [13].
S. Miyazawa-Hoshimoto и соавт. наблюдали достоверно более высокие уровни VEGF-A у людей с избыточной массой тела и ожирением [14]. Такжe J. Silha и соавт. обнаружили повышенные уровни VEGF-A в сыворотке пациентов с избыточной массой тела и ожирением, различия не достигали статистической значимости [15].
В исследовании SAPHIR уровень VEGF-A обнаружил положительную корреляцию со значениями ИМТ, как и в нашем исследовании, где выявлена сильная корреляция ИМТ с уровнем экспрессии мРНК VEGF и его рецепторов, вероятно, демонстрируя активацию процесса ангиогенеза при нарастании массы тела. В том же исследовании SAPHIR концентрации растворимой формы рецептора flt-1 демонстрировали положительные корреляции с ИМТ, однако полученные корреляции не достигали статистической значимости после коррекции результатов по возрасту пациентов и наличию или отсутствию атеросклеротических повреждений в сонных артериях в группе исследования, что подтверждает многофакторность наблюдаемых изменений [16].
В исследовании H. Wada и соавт. [17] получены результаты, сходные с исследованием SAPHIR. Также M. Loebig и соавт. [18] при исследовании феномена инсулинорезистентности наблюдали положительную корреляцию между уровнем VEGF-A и значениями ИМТ, кроме того, обнаружена статистически значимая положительная корреляция между уровнем растворимой формы рецептора KDR и ИМТ. В работе R. Wieczór и соавт. предположили, что жировые клетки и/или ЭК, количество которых увеличивается при нарастании массы тела, вероятно, являются основным источником растворимой формы рецептора KDR [19].
В нашем исследовании также не получили статистически значимых различий значений экспрессии мРНК показателей системы ангиогенеза между группами пациентов с СД с наличием или отсутствием ожирения. Однако сильная положительная корреляция уровня экспрессии мРНК как самого VEGF, так и его рецепторов подтверждает влияние ожирения на состояние системы ангиогенеза у пациентов с СД 2. Выявленная однонаправленная сильная корреляция экспрессии мРНК рецепторов VEGF, скорее всего, говорит о том, что наблюдающиеся изменения обусловлены не просто постепенным повышением их уровня при нарастании степени выраженности ожирения, а, скорее, нарушением их соотношения в условиях живого организма.
Известно, что источником VEGF является множество клеток, в том числе гладкомышечные клетки стенок сосудов, тромбоциты, моноциты, фибробласты, а в условиях гипоксии – и ЭК, что как раз и происходит в условиях развития эндотелиальной дисфункции. Основной мишенью действия этого фактора и, соответственно, местом экспрессии его рецепторов являются клетки эндотелия, однако в рутинной практике оценить уровень экспрессии мРНК факторов ангиогенеза в ЭК достаточно проблематично в связи со сложностью выделения данных клеток и возможностью проведения таких исследований только на культурах клеток. Учитывая тот факт, что еще одной мишенью действия VEGF являются мононуклеарные клетки, особенно моноциты, чье движение по градиенту концентрации VEGF является одним из важнейших компонентов процесса новообразования сосудов [20], а также то, что выделение мононуклеарных клеток из периферической крови является гораздо менее трудоемким методом, нами принято решение оценить уровень экспрессии факторов ангиогенеза именно в мононуклеарных клетках. При сравнении уровней экспрессии мРНК рецепторов VEGF нами не обнаружено статистически значимых различий. Отсутствие статистически значимых различий в уровне экспрессии VEGF может отражать тот факт, что все же мононуклеарные клетки не являются основным источником VEGF, хотя и участвуют в процессе формирования новых сосудов. Гипотезу большей роли рецепторов VEGF в мононуклеарных клетках может подтвердить более высокий уровень экспрессии мРНК flt-1 у женщин по сравнению с мужчинами – поскольку этот рецептор в большей степени отвечает за пролиферацию ЭК и хемотаксис моноцитов, его повышение может обусловливать стимуляцию образования новых сосудов, однако неполноценных, которые могут играть определенную роль в резком повышении риска сердечно-сосудистых катастроф у женщин при наличии СД.
Однако результаты проводимых исследований далеко не однозначны. В ряде исследований среди пациентов с СД ассоциация повышенного уровня VEGF-A с гипергликемией не сопровождалась сходной ассоциацией со степенью выраженности ожирения. Последнее представляется достаточно неожиданным, поскольку ангиогенез является процессом, вовлеченным в распространение жировой ткани, которое имеет место при ожирении [21, 22].
С позиции существующих методов лечения ожирения представляют интерес результаты исследования, в котором проводимые бариатрические операции у пациентов с морбидным ожирением индуцировали изменения циркулирующего уровня биомаркеров ангиогенеза, причем степень выраженности изменений соответствовала общему количеству потерянной массы тела [23].
С позиции научных перспектив интерес представляют экспериментальные данные.
Так, в эксперименте показано, что запуск активации ангиогенеза в жировой ткани преимущественно по пути другой формы VEGF – VEGF-В/KDR активирует термогенную программу в белой жировой ткани и защищает мышей от ожирения и ассоциированных метаболических осложнений, что может служить субстратом для проведения дальнейших исследований, направленных на поиск новых терапевтических возможностей ожирения [24].
Механически связывание VEGF-В с рецептором flt-1 активирует путь передачи сигнала VEGF-В/KDR и увеличивает плотность капилляров, перфузию тканей и поступление, передачу сигнала и функцию инсулина в жировой ткани. Более того, делеция гена эндотелиального Flt1 усиливает эффект VEGF-В, активируя термогенную программу в подкожной жировой ткани, что увеличивает скорость базального метаболизма, таким образом предотвращая развитие алиментарного ожирения и связанных метаболических осложнений [25].
Неожиданное обнаружение того, что VEGF-В может усиливать васкуляризацию жировой ткани, таким образом снижая тканевую гипоксию и субклиническое воспаление, обеспечивает более безопасную альтернативу VEGF-А из-за его побочных эффектов, так как даже высокие дозы VEGF-B хорошо переносились в эксперименте на животных [26].
Заключение
Полученные нами результаты позволяют говорить о наличии закономерной связи системы ангиогенеза и ожирения. Однако используемая нами методика не позволила оценить взаимоотношения изучаемых параметров. В сочетании с имеющимися литературными данными, в том числе результатами экспериментов на животных, дальнейшее изучение роли системы ангиогенеза в развитии ожирения представляется перспективным с позиции поиска новой терапевтической стратегии борьбы с ожирением и, как следствие, его осложнениями.
About the authors
A. S. Severina
Endocrinology Research Centre
Author for correspondence.
Email: ansev1@mail.ru
ORCID iD: 0000-0002-0296-4933
к.м.н., вед. науч. сотр. отд-ния диабетической болезни почек и посттрансплантационной реабилитации
Russian Federation, MoscowM. V. Shestakova
Endocrinology Research Centre
Email: ansev1@mail.ru
акад. РАН, д.м.н., дир. НИИ диабета
Russian Federation, MoscowReferences
- Finucane MM, Stevens GA, Cowan MJ, et al. National, regional, and global trends in body-mass index since 1980: systematic analysis of health examination surveys and epidemiological studies with 960 country-years and 9·1 million participants. Lancet. 2011;377(9765):557-67. doi: 10.1016/s0140-6736(10)62037-5
- Samad F, Ruf W. Inflammation, obesity, and thrombosis. Blood. 2013;122(20): 3415-22. doi: 10.1182/blood-2013-05-427708
- Wang H, Wang Q, Venugopal J, et al. Obesity-induced Endothelial Dysfunction is Prevented by Neutrophil Extracellular Trap Inhibition. Sci Rep. 2018;8(1). doi: 10.1038/s41598-018-23256-y
- Kaur R, Kaur M, Singh J. Endothelial Dysfunction and Platelet Hyperactivity in Type 2 Diabetes Mellitus: Molecular Insights and Therapeutic Strategies. Cardiovasc Diabetol. 2018;17(1):121. doi: 10.1186/s12933-018-0763-3
- Cheng R, Ma J-X. Angiogenesis in Diabetes and Obesity. Rev Endocr Metab Disord. 2015;16(1):67-75. doi: 10.1007/s11154-015-9310-7
- Sung H-K, Doh K-O, Son JE, et al. Adipose Vascular Endothelial Growth Factor Regulates Metabolic Homeostasis through Angiogenesis. Cell Metabolism. 2013;17(1):61-72. doi: 10.1016/j.cmet.2012.12.010
- O’Rourke RW, White AE, Metcalf MD, et al. Hypoxia-induced inflammatory cytokine secretion in human adipose tissue stromovascular cells. Diabetologia. 2011;54(6): 1480-90. doi: 10.1007/s00125-011-2103-y
- Boyum A. Isolation of Mononuclear Cells and Granulocytes From Human Blood. Isolation of Monuclear Cells by One Centrifugation, and of Granulocytes by Combining Centrifugation and Sedimentation at 1 G Scan. J Clin Lab Invest. 1968;21(Suppl. 97):77-89.
- Chomszynski P, Sacchi N. Single-step method of RNA isolation by acid guanidinium thiocyanate-phenol-chloroform extraction. Anal Biochem. 1987;162:156-9.
- Muniyappa R, Iantorno M, Quon MJ. An integrated view of insulin resistance and endothelial dysfunction. Endocrinol Metab Clin North Am. 2008;37:685-711. doi: 10.1016/j.ecl.2008.06.001
- Holmes DIR, Zachary I. The vascular endothelial growth factor (VEGF) family: angiogenic factors in health and disease. Genome Biol. 2005;6:209. doi: 10.1186/gb-2005-6-2-209
- Lijnen HR. Angiogenesis and obesity. Cardiovasc Res. 2008;78(2):286-93. doi: 10.1093/cvr/cvm007
- Zafar MI, Mills K, Ye X, et al. Association between the expression of vascular endothelial growth factors and metabolic syndrome or its components: a systematic review and meta-analysis. Diabetol Metab Syndr. 2018;10(1). doi: 10.1186/s13098-018-0363-0
- Miyazawa-Hoshimoto S, Takahashi K, Bujo H, et al. Elevated serum vascular endothelial growth factor is associated with visceral fat accumulation in human obese subjects. Diabetologia. 2003;46(11):1483-8. doi: 10.1007/s00125-003-1221-6
- Silha JV, Krsek M, Sucharda P, Murphy LJ. Angiogenic factors are elevated in overweight and obese individuals. Int J Obes. 2005;29(11):1308-14. doi: 10.1038/sj.ijo.0802987
- Sandhofer A, Tatarczyk T, Kirchmair R, et al. Are plasma VEGF and its soluble receptor sFlt-1 atherogenic risk factors? Cross-sectional data from the SAPHIR study. Atherosclerosis. 2009;206(1):265-9. doi: 10.1016/j.atherosclerosis.2009.01.031
- Wada H, Ura S, Kitaoka S, et al. Distinct Characteristics of Circulating Vascular Endothelial Growth Factor-A and C Levels in Human Subjects. PLoS ONE. 2011;6(12):e29351. doi: 10.1371/journal.pone.0029351
- Loebig M, Klement J, Schmoller A, et al. Evidence for a Relationship between VEGF and BMI Independent of Insulin Sensitivity by Glucose Clamp Procedure in a Homogenous Group Healthy Young Men. PLoS ONE. 2010;5(9):e12610. doi: 10.1371/journal.pone.0012610
- Wieczór R, Wieczór AM, Gadomska G, et al. Overweight and obesity versus concentrations of VEGF-A, sVEGFR-1, and sVEGFR-2 in plasma of patients with lower limb chronic ischemia. J Zhejiang Univ Sci. 2016;17(11):842-9. doi: 10.1631/jzus.b1600009
- Hong KH, Ryu J, Han KH. Monocyte chemoattractant protein-1–induced angiogenesis is mediated by vascular endothelial growth factor-A. Blood. 2005;105(4):1405-7. doi: 10.1182/blood-2004-08-3178
- Lee CC, Hsieh MF, et al. Clinical association of circulating VEGF-B levels with hyperlipidemia and target organ damage in type 2 diabetic patients. J Biol Regul Homeost Agents. 2014;28:225-36
- Elias I, Franckhauser S, Bosch F. Response to Comment on: Elias, et al. Adipose Tissue Overexpression of Vascular Endothelial Growth Factor Protects Against Diet-Induced Obesity and Insulin Resistance. Diabetes. 2012;61:1801-13. doi: 10.2337/db12-1274
- Wiewiora M, Mertas A, Gluck M, et al. Effect of Weight Loss Surgery on Biomarkers of Angiogenesis in Obese Patients. Obes Surg. 2020. doi: 10.1007/s11695-020-04580-7
- Sung H-K, Doh K-O, Son JE, et al. Adipose Vascular Endothelial Growth Factor Regulates Metabolic Homeostasis through Angiogenesis. Cell Metab. 2013;17(1):61-72. doi: 10.1016/j.cmet.2012. 12.010
- Robciuc MR, Kivelä R, Williams IM, et al. VEGFB/VEGFR1-Induced Expansion of Adipose Vasculature Counteracts Obesity and Related Metabolic Complications. Cell Metab. 2016;23(4):712-24. doi: 10.1016/j.cmet.2016.03.004
- Bry M, Kivelä R, Holopainen T, et al. Vascular Endothelial Growth Factor-B Acts as a Coronary Growth Factor in Transgenic Rats Without Inducing Angiogenesis, Vascular Leak, or Inflammation. Circulation. 2010;122(17):1725-33. doi: 10.1161/circulationaha.110.957332
Supplementary files
