Obesity without diabetes: the role of hormonal regulation
- Authors: Shestakova E.A.1, Sklyanik I.A.1, Panevina A.S.1, Nikankina L.V.1, Shestakova M.V.1, Dedov I.I.1
-
Affiliations:
- Endocrinology Research Centre
- Issue: Vol 92, No 10 (2020)
- Pages: 15-22
- Section: Original articles
- Submitted: 23.11.2020
- Accepted: 23.11.2020
- Published: 15.10.2020
- URL: https://ter-arkhiv.ru/0040-3660/article/view/50967
- DOI: https://doi.org/10.26442/00403660.2020.10.000750
- ID: 50967
Cite item
Full Text
Abstract
Aim. Obese patients without diabetes present an interesting phenotype to explore protective mechanisms against type 2 diabetes (T2D) development. In our study we looked for specific hormonal features of obese patients without T2D.
Materials and methods. We included 6 groups of patients with different metabolic profiles (n=212): controls with BMI<25 kg/m2, HbA1c<6%, age <30 years; patients with 25≤BMI<30 kg/m2 and HbA1c<6%; patients with 25≤BMI<30 kg/m2 and HbA1c≥6%; patients with BMI≥30 kg/m2 and HbA1c<6% (“+ Obesity - T2D”) – obese patients without T2D or prediabetes; patients with BMI≥30 kg/m2 and newly-diagnosed T2D/prediabetes, HbA1c≥6%; patients with known history of T2D on glucose-lowering drugs with BMI≥30 kg/m2. Insulin, GLP-1, GIP were measured during glucose-tolerance test at 0, 30 and 120 minutes; insulin resistance (IR) was assessed by HOMA-IR.
Results. Waist circumference was bigger in patients with obesity despite their metabolic profile comparing to patients without obesity (p<0.001). Waist-to-hip ratio was similar in patients with different metabolic status. According to IR “+ Obesity - T2D” group had intermediate position: IR was higher in that group comparing to people without obesity, but was less that in patients with obesity and HbA1c≥6% (p<0.001). “+ Obesity - T2D” group had the most potent baseline insulin secretion, assessed by НОМА-%b and the highest postprandial secretion, measured by insulinogenic index among all patient groups with obesity (p<0.001). There was no significant difference in GLP-1 secretion; GIP secretion was higher in patients with BMI≥30 kg/m2 comparing to people with BMI<30 kg/m2 (p<0.01).
Keywords
Full Text
ГИП – глюкозозависимый инсулинотропный полипепт
ГПП-1 – глюкагоноподобный пептид 1-го типа
ИИ – индекс инсулиногенности
ИМТ – индекс массы тела
ИР – инсулинорезистентность
ОБ – окружность бедер
ОТ – окружность талии
ПГТТ – пероральный глюкозотолерантный тест
СД 2 – сахарный диабет 2-го типа
ССП – сахароснижающие препараты
ТГ – триглицериды
HbA1c – гликированный гемоглобин
HOMA-IR – индекс инсулинорезистентности
HOMA-%β – модель определения функции β-клеток
ММТ – тест со смешанной пищей
Введение
Ожирение является одним из наиболее значимых факторов риска развития сахарного диабета 2-го типа (СД 2). Тем не менее существует большая группа пациентов, у которых не развиваются нарушения углеводного обмена, несмотря на наличие ожирения: по данным исследования NATION, даже среди лиц с ожирением 3-й степени (индекс массы тела – ИМТ>40 кг/м2) у 40,2% не обнаруживаются СД 2 или предиабетические нарушения углеводного обмена [1]. Можно предположить, что эти пациенты обладают защитным фенотипом, позволяющим длительно удерживать нормогликемию.
Неясно, что непосредственно защищает некоторых пациентов с ожирением от развития нарушений углеводного обмена. Обсуждается целый ряд возможных протективных механизмов – от образа жизни пациента до состава жировой ткани и генетических особенностей [2, 3].
Выделение группы лиц с высоким ИМТ, но без СД 2 имеет существенное клинико-экономическое значение. С учетом прогрессивного увеличения нагрузки на систему здравоохранения за счет роста числа пациентов как с ожирением, так и с нарушениями углеводного обмена на первый план выходит выделение групп пациентов с бóльшим и меньшим риском развития осложнений. Пациенты исследуемой группы (с ожирением, но без нарушений углеводного обмена) характеризуются меньшим риском сердечно-сосудистых заболеваний по сравнению с лицами с ожирением и СД 2 [4]. Поэтому понимание особенностей данного фенотипа ожирения и максимально длительное сохранение нормогликемии являются важной задачей для снижения риска кардиоваскулярной патологии у пациентов с ожирением.
Цель исследования – оценка гормональных характеристик, способных отличать лиц с ожирением без нарушений углеводного обмена от пациентов с другим метаболическим статусом.
Мы сравнили характер секреции инсулина, инкретиновых гормонов (глюкагоноподобного пептида 1-го типа – ГПП-1, глюкозозависимого инсулинотропного полипептида – ГИП), а также показателя инсулинорезистентности (ИР) у лиц с ИМТ>30 кг/м2 без нарушений углеводного обмена в сравнении с лицами без ожирения, а также с ожирением и СД 2 или предиабетом.
Материалы и методы
В исследование включались пациенты, проходившие обследование в 2017–2019 гг. в ФГБУ «НМИЦ эндокринологии» Минздрава России. Исследовательская работа одобрена локальным этическим комитетом (протокол N10 от 24.05.2017). Участники исследования подписали информированное письменное согласие для участия в клиническом исследовании.
В исследование набирались три категории пациентов:
- Контрольная группа лиц моложе 30 лет, с ИМТ 18,5–25 кг/м2.
- Группа пациентов с ожирением и установленным диагнозом СД 2, получающих сахароснижающие препараты (ССП).
- Группа лиц с избыточной массой тела и ожирением и неизвестным статусом углеводного обмена.
Всем пациентам провели антропометрические и лабораторные исследования. К антропометрическим исследованиям относились определение роста, массы тела, расчет ИМТ, измерение окружности талии (ОТ), окружности бедер (ОБ). Лабораторные исследования в контрольной группе и группе лиц без известных нарушений углеводного обмена проводились в ходе стандартного перорального глюкозотолерантного теста (ПГТТ) с 75 г глюкозы. Пациентам с известным СД 2 проведен тест со смешанной пищей (ММТ), для которого использовалась смесь Oral Impact (Nestle Health Science, Швейцария): 1 порция (237 мл) содержит 18 г белков, 9,2 г жиров, 44,8 г углеводов. При проведении ММТ последний прием любых ССП происходил не позже, чем за 12 ч до начала теста. В ходе ПГТТ и ММТ забор крови проводился натощак, через 30 и 120 мин. Образцы крови на 0, 30 и 120-й минутах брали в 1 пробирку для сыворотки с разделительным гелем (биохимические показатели) и в 2 пробирки с этилендиаминтетрауксусной кислотой и апротинином (гормональные показатели). Кровь во всех пробирках центрифугировали в течение 15 мин после взятия, биохимические показатели и инсулин определяли в день взятия крови. Из одной пробирки с этилендиаминтетрауксусной кислотой и апротинином после центрифугирования отделяли плазму и замораживали при -30ºС для последующего определения ГПП-1 и ГИП.
Во всех трех временных точках ПГТТ/ММТ оценивались уровень глюкозы, иммунореактивного инсулина, ГПП-1, ГИП. Гликированный гемоглобин (HbA1c) и липидный спектр (общий холестерин, липопротеиды низкой плотности – ЛПНП, липопротеиды высокой плотности – ЛПВП, триглицериды – ТГ) оценивались натощак. Определение в сыворотке крови уровня глюкозы и показателей липидного спектра проводили на биохимическом анализаторе Architect c4000 (Abbott Diagnostics, Abbott Park, IL, США) стандартными наборами производителя. HbA1c определяли методом высокоэффективной жидкостной хроматографии на анализаторе D10 (BioR Rad); метод сертифицирован NGSP (The National Glycohemoglobin Standartization Program). Исследование инсулина осуществляли методом усиленной хемилюминесценции на анализаторе COBAS 6000. Суммарный ГПП-1 определяли с помощью иммуноферментного анализа (ELISA) наборами компании BioVendor. Суммарный ГИП исследовали методом иммуноферментного анализа наборами компании USCN. Данные наборы специфичны по отношению к исследуемому веществу и не демонстрируют перекрестной реактивности ГПП-1/ГПП-2/ГИП/глюкагона/глицентина. Для каждого исследуемого гормона (ГПП-1, ГИП) рассчитывали площади под кривой.
ИМТ рассчитывался по формуле: масса тела (кг)/рост (см2). Индекс ИР (HOMA-IR) вычислялся по формуле: глюкоза плазмы натощак (ммоль/л) × инсулин натощак (мкЕд/мл)/22,5. Выделялись пациенты с ИР при HOMA-IR-индексе ≥2,7.
Базальная секреция инсулина оценена с помощью гомеостатической модели определения функции β-клеток (HOMA-%β). Индекс HOMA-%β рассчитывался в процентном соотношении по формуле:
20 × Инсулин натощак (мкЕд/мл)
Гликемия натощак (ммоль/л)-3,5
Стимулированная секреция инсулина (I фаза секреции инсулина) оценена по индексу инсулиногенности (ИИ), рассчитанному как соотношение прироста секреции инсулина к приросту гликемии в первые 30 мин ПГТТ или ММТ:
Глюк30 - Глюк0
Инс30 - Инс0
Статистическая обработка данных проводилась в аналитической платформе Statistica 13.3. Данные представлялись в виде Ме [Q1; Q3]. Первичное сравнение исследуемых показателей проводилось с помощью метода рангового анализа вариаций по Краскелу–Уоллису. При наличии межгрупповых различий (р<0,05) проводилось попарное сравнение с использованием непараметрического теста Манна–Уитни. Проблема множественных сравнений решалась применением поправки Бонферрони с установкой уровня значимости р<0,01. Значение р по умолчанию указано для сравнения показателей группы «+ ожирение - СД» с остальными 5 группами. О сравнении других групп пациентов между собой указано отдельно.
Результаты
Общая популяция включенных пациентов составила 212 человек. Для дальнейшего анализа общая популяция разделена на 6 групп пациентов.
- Контрольная группа пациентов по результатам ПГТТ не имела нарушений углеводного обмена и включала лиц с ИМТ<25 кг/м2в возрасте менее 30 лет, n=18 (контроль).
- Группа пациентов с известным СД 2, получающих ССП (ИМТ≥30 кг/м2), n=42 (+ ожирение + СД + ССП).
В зависимости от ИМТ и результатов измерения HbA1c обследуемые лица с избыточной массой тела и ожирением без известных нарушений углеводного обмена разделены на 4 группы (в скобках указаны названия групп, используемые далее; в кратком обозначении названий групп слово «предиабет» опускалось):
- Группа пациентов с ожирением без нарушений углеводного обмена (ИМТ≥30 кг/м2, уровень HbA1c<6%), n=45 (+ ожирение - СД).
- Группа пациентов с ожирением и впервые выявленным СД 2/предиабетом (ИМТ≥30 кг/м2, уровень HbA1c≥6%), n=47 (+ ожирение + СД).
- Группа пациентов с избыточной массой тела без нарушений углеводного обмена (25<ИМТ<30 кг/м2, уровень HbA1c<6%), n=26 ( - ожирение - СД).
- Группа пациентов с избыточной массой тела и впервые выявленным СД 2/предиабетом (25<ИМТ<30 кг/м2, уровень HbA1c≥6%), n=34 (- ожирение + СД).
Антропометрические характеристики включенных пациентов и HbA1c представлены в табл. 1.
Таблица 1. Антропометрические характеристики включенных пациентов (данные представлены в виде Ме [25;75]) | |||||||
Контроль (n=18) | - Ожирение - СД (n=26) | - Ожирение + СД (n=34) | + Ожирение - СД (n=45) | + Ожирение + СД (n=47) | + Ожирение + СД + ССП (n=42) | р* | |
0 | 1 | 2 | 3 | 4 | 5 | ||
Возраст, лет | 22 [21; 22] | 51,5 [41; 59] | 65 [56; 72] | 48 [44; 56] | 56 [48; 66] | 48,5 [42; 54] | <0,001 (0, 2) 0,002 (4) |
Пол (м/ж) | 8/10 (44,4%/55,6%) | 13/13 (50%/50%) | 20/14 (58,8%/41,2%) | 14/31 (31,1%/68,9%) | 22/25 (46,8%/53,2%) | 17/25 (40,5%/59,5%) | 0,013 (2) |
ИМТ, кг/м2 | <0,001 (0,1,2) | ||||||
HbA1c, % | <0,001 (0, 2, 4, 5) | ||||||
*Здесь и далее в табл. 2, 3: в скобках – номера групп, по отношению к которым есть различия с группой 3. | |||||||
Группа «+ ожирение - СД» – несколько моложе группы пациентов групп «- ожирение + СД» и «+ ожирение + СД», что могло повлиять на интерпретацию результатов исследования. Поэтому оценка влияния возраста на исследуемые параметры будет представлена в отдельном разделе. Значимые отличия группы «+ ожирение - СД» от контрольной группы ожидаемы и обусловлены особенностями выборки контрольной группы.
В исследуемых группах проводилась диагностика преимущественного типа ожирения (висцеральное/подкожное) на основании двух показателей – ОТ и соотношения ОТ/ОБ. На рис. 1 представлены различия данных показателей во всех группах. Показатель ОТ значимо выше у всех пациентов с ожирением вне зависимости от наличия нарушений углеводного обмена по сравнению с лицами без ожирения. Соотношение ОТ/ОБ сопоставимо в группах пациентов с ожирением и без ожирения, значимо отличался этот показатель только у контрольной группы и группы «+ ожирение + СД + ССП». Иными словами, в нашем исследовании показатель ОТ/ОБ не позволял дифференцировать пациентов с разными метаболическими рисками.
Рис. 1. Сравнение показателей ОТ и ОТ/ОБ в исследуемых группах (статистические различия указаны для группы «+ ожирение - СД» в сравнении с остальными группами).
Примечание. Здесь и далее на рис. 2–4: n – число проведенных измерений.
В рамках лабораторных исследований у пациентов определены показатели липидного спектра (табл. 2). В целом группа пациентов «+ ожирение - СД» характеризовалась более благоприятным профилем липидного спектра по сравнению с группами пациентов с ожирением и нарушениями углеводного обмена. Наиболее отчетливая динамика наблюдалась в отношении ТГ, уровень которых возрастал по мере увеличения метаболических осложнений, достигая максимума у пациентов с длительным анамнезом СД 2, получающих ССП.
Таблица 2. Показатели липидного спектра пациентов (данные представлены в виде Ме [25; 75]) | |||||||
Контроль (n=18) | - Ожирение - СД (n=26) | - Ожирение + СД (n=34) | + Ожирение - СД (n=45) | + Ожирение + СД (n=47) | + Ожирение + СД + ССП (n=42) | р* | |
0 | 1 | 2 | 3 | 4 | 5 | ||
Холестерин, ммоль/л | 0,004 (0) 0,009 (4) | ||||||
ЛПНП, ммоль/л | <0,001 (0) | ||||||
ЛПВП, ммоль/л | <0,001 (0) | ||||||
ТГ, ммоль/л | <0,001 (0, 5) 0,003 (4) | ||||||
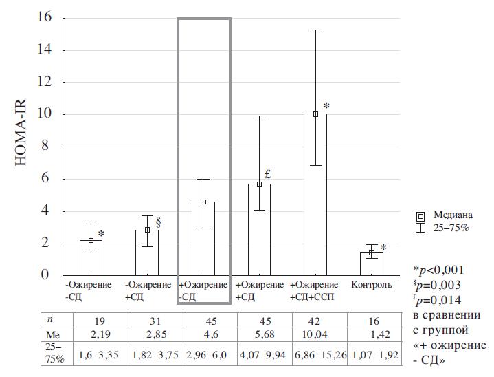
Степень ИР определялась по суррогатному маркеру HOMA-IR (определен у 198 пациентов, имеющих анализ уровня базального инсулина). Группа пациентов «+ ожирение - СД» характеризовалась промежуточным значением ИР: в данной группе ИР отмечена выше, чем у пациентов без ожирения, однако также значимо ниже, чем у пациентов с ожирением и нарушениями углеводного обмена (рис. 2).
Рис. 2. Сравнение показателя HOMA-IR в исследуемых группах (статистические различия указаны для группы «+ ожирение - СД» в сравнении с остальными группами).
Среди исследуемых групп выделены подгруппы пациентов с и без ИР по данным маркера HOMA-IR (табл. 3). Число пациентов с наличием ИР (HOMA-IR≥2,7) последовательно увеличивалось от наиболее здоровой группы лиц (контрольная группа) к лицам с ожирением.
Таблица 3. Число пациентов с наличием и отсутствием ИР в исследуемых группах | |||||||
Контроль (n=18) | - Ожирение - СД (n=26) | - Ожирение + СД (n=34) | + Ожирение - СД (n=45) | + Ожирение + СД (n=47) | + Ожирение + СД + ССП (n=42) | р* | |
0 | 1 | 2 | 3 | 4 | 5 | ||
HOMA-IR <2,7/≥2,7/не определено | 14/2/2 (77,8%/11,1%/11,1%) | 12/7/7 (46,2%/26,9%/ 26,9%) | 13/18/3 (38,2%/53%/ 8,8%) | 8/37/0 (17,8%/ 82,2%/0%) | 3/42/2 (6,4%/89,4%/4,2%) | 1/41/0 (2,4%/ 97,6%/0%) | <0,001 (0,1) 0,007 (2) |
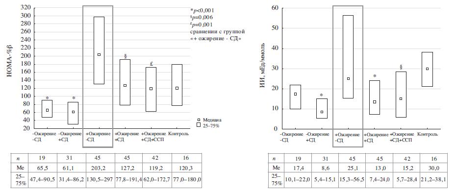
Для оценки базальной секреции инсулина у пациентов мы использовали расчетный индекс HOMA-%β, для характеристики стимулированной (I фазы) секреции инсулина – индекс ИИ. Группа пациентов «+ ожирение - СД» имела наиболее высокий показатель НОМА-%β среди всех пациентов с избыточной массой тела и ожирением (рис. 3). В группе «+ ожирение - СД» также определялся более высокий ИИ по сравнению с пациентами с ожирением и нарушениями углеводного обмена. Иными словами, как базальная, так и стимулированная секреция инсулина в группе «+ ожирение - СД» более высокая, чем у пациентов с СД 2 или предиабетом.
Рис. 3. Сравнение показателей HOMA-%â и ИИ в исследуемых группах (статистические различия указаны для группы «+ ожирение - СД» в сравнении с остальными группами).
В нашем исследовании при исходном делении групп (по ИМТ и уровню HbA1c) отмечены статистически значимые отличия в секреции ГИП (р=0,0001 соответственно, ANOVA Краскела–Уоллиса). При парном сравнении значимые различия площади под кривой ГИП обнаружились у лиц группы «+ ожирение - СД» с контрольной группой, группой «- ожирение - СД» и группой «+ ожирение + СД + ССП» (рис. 4). Секреция ГПП-1 значимо выше в контрольной группе, между остальными группами статистически значимых различий не получено.
Рис. 4. Сравнение секреции ГИП в исследуемых группах (статистические различия указаны для группы «+ ожирение - СД» в сравнении с остальными группами).
Анализ влияния возраста на исследуемые параметры
В нашем исследовании группа «+ ожирение - СД» значимо отличалась по возрасту от групп «- ожирение + СД» и «+ ожирение + СД». По данным исследований, возраст пациента сам по себе является фактором риска развития метаболических нарушений [5]. Поэтому достаточно логичным в нашем исследовании выглядит тот факт, что пациенты с ожирением без нарушений углеводного обмена моложе, чем пациенты с наличием СД 2 или предиабета. С другой стороны, в нашей выборке группа «+ ожирение + СД + ССП», имеющая наиболее выраженные среди всех исследуемых групп метаболические нарушения, сопоставима по возрасту с группой «+ ожирение - СД».
Для оценки вклада возраста в исследуемые в данной работе параметры мы провели дополнительный анализ, посвященный зависимости исследуемых параметров (ОТ, ОТ/ОБ, HOMA-IR, НОМА-%β, ИИ, секреция инкретиновых гормонов) от возраста пациентов. Для этого мы разделили всю популяцию пациентов с избыточной массой тела и ожирением на 2 подгруппы сначала по ИМТ (<30 кг/м2 и ≥30 кг/м2), затем всю популяцию пациентов разделили по уровню HbA1c (<6% и ≥6%). Внутри данных подгрупп подразделили пациентов по возрастным десятилетиям (31– 40 и т.д.).
По результатам анализа показатели ОТ/ОБ, ИИ, площадь под кривой ГПП-1 не зависели от возраста пациентов. Показатели ОТ, HOMA-IR, НОМА-%β, площадь под кривой ГИП обнаруживали различия в ранговом анализе вариаций по Краскелу–Уоллису, однако при оценке динамики этих показателей с возрастом четкая закономерность (плавное возрастание/убывание с возрастом) не обнаруживалась. Исключение составил индекс HOMA-%β у лиц без нарушений углеводного обмена – этот показатель прогрессивно снижался с возрастом пациентов. В целом в нашей выборке пациентов возраст не оказывал определяющего влияния на исследуемые параметры.
Обсуждение
Ожирение без нарушений углеводного обмена – не частый, но встречающийся в клинической практике феномен. В российских исследованиях представленность так называемого метаболически здорового ожирения составляет около 40% [6–8]. Чаще всего под метаболически здоровым ожирением подразумевается ожирение с 1–2 компонентами метаболического синдрома. Наше исследование ставило перед собой задачу охарактеризовать одну из сторон «метаболического здоровья», а именно существование ожирения без нарушений углеводного обмена.
В нашей работе мы оценивали состояние секреции инсулина, показатель ИР, а также выработку инкретиновых гормонов у лиц с ожирением без СД 2 или предиабета в сравнении с пациентами с другими сочетаниями ИМТ и состояния углеводного обмена. Мы выделяли несколько групп пациентов. Контрольная группа состояла из молодых лиц без ожирения и без нарушений углеводного обмена и представляла собой ориентировочную «норму». Последующие группы отличались нарастанием метаболических расстройств. Группа «- ожирение - СД» так же, как и контрольная, не имела нарушений углеводного обмена, однако характеризовалась избыточной массой тела и была значимо старше. Группа «+ ожирение - СД» – ключевая в нашем исследовании, так как именно эти пациенты представляли фенотип ожирения без нарушений углеводного обмена. Пациенты с СД 2 и предиабетом разделены на две группы: пациенты с впервые выявленными нарушениями углеводного обмена и пациенты с анамнезом СД 2, получающие ССП. Выделение группы «+ ожирение + СД + ССП» обусловлено тем, что данные пациенты отличались от группы «+ ожирение + СД» большей длительностью нарушений углеводного обмена и возможным вкладом приема ССП.
По результатам нашего исследования пациенты с ИМТ>30 кг/м2 закономерно имели более выраженное висцеральное ожирение по сравнению с пациентами с ИМТ<30 кг/м2. При этом показатель ОТ в большей степени отражал метаболические риски в группах пациентов, нежели ОТ/ОБ. Последний показатель позволял дифференцировать лишь крайние группы метаболического риска: соотношение ОТ/ОБ значимо отличалось у контрольной группы и пациентов с ожирением и СД 2 на ССП. Несоответствие выраженности висцерального ожирения по параметрам ОТ и ОТ/ОБ может говорить о том, что метаболический риск кроется именно в факте наличия висцерального ожирения (что лучше отражает ОТ), а не соотношения количества висцеральной и подкожной жировой клетчатки (что заложено в ОТ/ОБ).
Значимость накопления именно висцерального жира для формирования синдрома ИР и развития гипергликемии продемонстрирована во многих исследованиях [9, 10]. В висцеральной жировой ткани инсулин хуже подавляет липолиз, чем в подкожной, в результате чего в крови накапливаются жирные кислоты. Для большинства клеток жирные кислоты являются более предпочтительным по сравнению с глюкозой энергетическим субстратом. Поэтому в условиях большого содержания жирных кислот в крови глюкоза тканями не поглощается и развивается гипергликемия [11].
По нашим результатам пациенты с ожирением без нарушений углеводного метаболизма имели более низкий показатель ИР по сравнению с пациентами с ожирением и СД 2. Возможно предположить несколько объяснений этому наблюдению. Во-первых, ИР может нарастать с длительностью ожирения и пациенты группы «+ ожирение - СД» могли просто не успеть достичь той же ИР, что пациенты с СД 2. Во-вторых, показатель ОТ может не всегда точно отражать количество висцерального жира. Возможно, ОТ пациентов группы «+ ожирение - СД» определяется не столько жировым, сколько мышечным компонентом. Существуют более аккуратные методы определения висцерального ожирения, основанные на лучевых методах [12, 13], однако во многих исследованиях клиническая значимость показателя ОТ сопоставима с лучевыми методами диагностики [14, 15]. Наконец, можно предположить, что пациенты группы «+ ожирение - СД» действительно отличаются от пациентов с ожирением и СД 2 более низкой ИР, что обеспечивает более благоприятный прогноз.
Помимо отличий в ИР группа «+ ожирение - СД» имела более высокую базальную (определенную по индексу НОМА-%β) и стимулированную (определенную по ИИ) секрецию инсулина в сравнении с пациентами с ожирением и нарушениями углеводного обмена. Мы предполагаем, что для преодоления ИР всем пациентам с ожирением необходима бóльшая секреция инсулина, чем лицам без ожирения. При этом в группе «+ ожирение - СД» сохраняется достаточная эндогенная секреция инсулина в ответ на возрастающую ИР, а у пациентов с ожирением и СД 2 ресурсы β-клеток поджелудочной железы истощены. Увеличение секреции инсулина в группе «+ ожирение - СД» и позволяет поддерживать нормогликемию.
В нашем исследовании не получено убедительных данных о вкладе инкретиновых гормонов в поддержание секреции инсулина у пациентов с ожирением без нарушений углеводного обмена. Наша гипотеза заключалась в том, что, возможно, именно сохранная инкретиновая сигнализация способствует дополнительной секреции инсулина и удержанию нормогликемии у пациентов с ожирением. В данной работе такого подтверждения мы не получили: значимой разницы между секрецией ГПП-1 в различных группах не получено, а повышенная секреция ГИП скорее характеризовала сам факт наличия ожирения. Это согласуется с данными исследований, посвященных физиологии ГИП [16]. Складывается впечатление, что ГИП является гормоном, в большей степени ассоциированным с изменением массы тела, чем с нарушением углеводного обмена. Отсутствие статистически значимых различий в концентрации ГПП-1 в нашей работе представляется нам особенностью данной выборки, так как зависимость секреции этого гормона как от выраженности нарушений углеводного обмена, так и от степени ожирения продемонстрирована в крупных исследованиях [17].
Наконец, одним из наблюдений данной работы являлась четкая связь уровня ТГ и степени метаболического риска в исследуемых группах. Концентрация ТГ плавно возрастала от контрольной группы к группе пациентов с ожирением и СД 2. Такой линейной зависимости не наблюдалось в отношении других компонентов липидного спектра. Накопление ТГ в гепатоцитах является основным звеном патогенеза неалкогольной жировой болезни печени, сопровождающейся выраженной ИР [18]. Некоторые исследователи предлагают использовать соотношение ТГ и различных антропометрических или лабораторных показателей в качестве суррогатных маркеров ИР [19].
Ограничения исследования и перспективы
Одним из ограничений исследования являлось отсутствие сопоставления пациентов с ожирением по длительности этого состояния. Отчасти это связано с тем, что данные о длительности ожирения зачастую могут быть получены лишь со слов пациентов, а они не отслеживают массу тела столь тщательно, чтобы диагностировать ожирение с точностью до года. Тем не менее, перспективным является выделение групп пациентов, сравнимых по длительности ожирения, к примеру, с коротким (менее 5 лет) или длительным (более 10–15 лет) анамнезом ожирения. Мы допускаем, что отсутствие убедительных результатов в отношении секреции гормонов инкретинового ряда могло быть связано с неоднородностью пациентов в отношении темпов набора массы тела.
Еще один фактор, который мог повлиять на результаты исследования, – использование теста со смешанной пищей у пациентов с известным СД 2. Данный тест в отличие от классического перорального ГТТ содержит меньшее количество углеводов, а также включает белки и жиры. Выбор данного теста для оценки динамики инсулина и инкретиновых гормонов выбран с этической точки зрения, чтобы не вызывать у пациентов с имеющимся СД 2 выраженную гипергликемию. Тем не менее выбор отличающегося теста у пациентов группы «+ ожирение + СД + ССП» мог повлиять на лабораторные результаты данной группы.
В нашем исследовании группы поделены по наличию нарушений углеводного обмена в зависимости от результатов определения уровня HbA1c. За отрезную точку приняли HbA1c 6%, что позволяло выделить пациентов как с СД 2, так и пациентов группы риска (предиабета). Деление пациентов на группы в зависимости от результатов ГТТ или выбор уровня HbA1c в 6,5% (что соответствует диагнозу СД 2) могли несколько изменить результаты.
Заключение
Дифференциация пациентов с различными метаболическими рисками является важной задачей современного здравоохранения. Цель настоящей работы заключалась в определении отличительных черт пациентов с ожирением, у которых не развивается СД 2. По нашим результатам, пациенты с ожирением без нарушений углеводного метаболизма и пациенты с ожирением и СД 2 имели сходства и различия. Обе группы сопоставимы по выраженности висцерального ожирения. При этом показатель ОТ лучше характеризовал лиц большего метаболического риска по сравнению с соотношением ОТ/ОБ. Отличие фенотипа пациентов с ожирением без нарушений углеводного обмена от лиц с СД 2 заключалось в менее выраженной ИР и более сохранной базальной и стимулированной секреции инсулина, достаточной для поддержания нормогликемии.
About the authors
E. A. Shestakova
Endocrinology Research Centre
Author for correspondence.
Email: katiashestakova@mail.ru
ORCID iD: 0000-0001-6612-6851
к.м.н., вед. науч. сотр.
Russian Federation, MoscowI. A. Sklyanik
Endocrinology Research Centre
Email: katiashestakova@mail.ru
ORCID iD: 0000-0002-7768-4717
науч. сотр.
Russian Federation, MoscowA. S. Panevina
Endocrinology Research Centre
Email: katiashestakova@mail.ru
ORCID iD: 0000-0003-2744-7550
к.м.н., науч. сотр.
Russian Federation, MoscowL. V. Nikankina
Endocrinology Research Centre
Email: katiashestakova@mail.ru
ORCID iD: 0000-0001-8303-3825
к.м.н., зав. клинико-диагностической лаб.
Russian Federation, MoscowM. V. Shestakova
Endocrinology Research Centre
Email: katiashestakova@mail.ru
ORCID iD: 0000-0002-5057-127X
акад. РАН, д.м.н., проф., дир. Института диабета
Russian Federation, MoscowI. I. Dedov
Endocrinology Research Centre
Email: katiashestakova@mail.ru
ORCID iD: 0000-0002-8175-7886
акад. РАН, д.м.н., проф., президент ФГБУ «НМИЦ эндокринологии»
Russian Federation, MoscowReferences
- Шестакова Е.А., Лунина Е.Ю., Галстян Г.Р. и др. Распространенность нарушений углеводного обмена у лиц с различными сочетаниями факторов риска сахарного диабета 2 типа в когорте пациентов исследования NATION. Сахарный диабет. 2020;23(1):4-11 [Shestakova EA, Lunina EY, Galstyan GR, et al. Type 2 diabetes and prediabetes prevalence in patients with different risk factor combinations in the NATION study. Diabetes Mellitus. 2020;23(1):4-11 (In Russ.)]. doi: 10.14341/DM12286
- Muñoz-Garach A, Cornejo-Pareja I, Tinahones FJ. Does Metabolically Healthy Obesity Exist? Nutrients. 2016;8(6):320. doi: 10.3390/nu8060320
- Ortega FB, Cadenas-Sanchez C, Migueles JH, et al. Role of Physical Activity and Fitness in the Characterization and Prognosis of the Metabolically Healthy Obesity Phenotype: A Systematic Review and Meta-analysis. Prog Cardiovasc Dis. 2018;61(2):190-205. doi: 10.1016/j.pcad.2018.07.008
- Nilsson PM, Korduner J, Magnusson M. Metabolically Healthy Obesity (MHO)-New Research Directions for Personalised Medicine in Cardiovascular Prevention. Curr Hypertens Rep. 2020;22(2):18. doi: 10.1007/s11906-020-1027-7
- Дедов И.И., Шестакова М.В., Майоров А.Ю. и др. Алгоритмы специализированной медицинской помощи больным сахарным диабетом. Сахарный диабет. 2019;22(S1) [Dedov II, Shestakova MV, Mayorov AYu, et al. Standards of specialized diabetes care. 9th edition. Diabetes mellitus. 2019;22(S1) (In Russ)]. doi: 10.14341/DM221S1144
- Rotar O, Boyarinova M, Orlov A, et al. Metabolically healthy obese and metabolically unhealthy non-obese phenotypes in a Russian population. Eur J Epidemiol. 2017;32(3):251-4. doi: 10.1007/s10654-016-0221-z
- Островская Е.В., Романцова Т.И., Герасимов А.Н., Новоселова Т.Е. Распространенность метаболически здорового ожирения по данным выборки Московского региона. Ожирение и метаболизм. 2017;14(4):51-6 [Ostrovskaya EV, Romantsova TI, Gerasimov AN, Novoselova TE. The prevalence of metabolically healthy obesity according to the sample of the Moscow region. Obesity and metabolism. 2017;14(4):51-6 (In Russ.)]. doi: 10.14341/OMET2017451-56
- Мустафина C.В., Щербакова Л.В., Козупеева Д.А. и др. Распространенность метаболически здорового ожирения по данным эпидемиологического обследования выборки 45–69 лет г. Новосибирска. Ожирение и метаболизм. 2018;15(4):31-7 [Mustafina SV, Shcherbakova LV, Kozupeeva DA, et al. Тhe prevalence of metabolically healthy obesity: data from the epidemiological survey in of Novosibirsk. Obesity and metabolism. 2018;15(4):31-7 (In Russ.)]. doi: 10.14341/OMET9615
- de Mutsert R, Gast K, Widya R, et al. Associations of Abdominal Subcutaneous and Visceral Fat with Insulin Resistance and Secretion Differ Between Men and Women: The Netherlands Epidemiology of Obesity Study. Metab Syndr Relat Disord. 2018;16(1):54-63. doi: 10.1089/met.2017.0128
- Bays H. Central obesity as a clinical marker of adiposopathy; increased visceral adiposity as a surrogate marker for global fat dysfunction. Curr Opin Endocrinol Diabetes Obes. 2014;21(5):345-51. doi: 10.1097/MED.0000000000000093
- Титов В.Н., Ширинский В.П. Резистентность к инсулину – конфликт между биологическими настройками энергетического метаболизма и образом жизни человека (взгляд на проблему с эволюционных позиций). Сахарный диабет. 2016;19(4):286-94 [Titov VN, Shirinsky VP. Insulin resistance: the conflict between biological settings of energy metabolism and human lifestyle (a glance at the problem from evolutionary viewpoint). Diabetes mellitus. 2016;19(4):286-94 (In Russ.)]. doi: 10.14341/DM7959
- Fang H, Berg E, Cheng X, Shen W. How to best assess abdominal obesity. Curr Opin Clin Nutr Metab Care. 2018;21(5):360-5. doi: 10.1097/MCO.0000000000000485
- Брель Н.К., Коков А.Н., Груздева О.В. Достоинства и ограничения различных методов диагностики висцерального ожирения. Ожирение и метаболизм. 2018;15(4):3-8 [Brel NK, Kokov AN, Gruzdeva OV. Advantages and disadvantages of different methods for diagnosis of visceral obesity. Obesity and metabolism. 2018;15(4):3-8 (In Russ.)]. doi: 10.14341/OMET9510
- Маркова Т.Н., Кичигин В.А., Диомидова В.Н. и др. Оценка объема жировой ткани антропометрическими и лучевыми методами и его связь с компонентами метаболического синдрома. Ожирение и метаболизм. 2013;2:23-7 [Markova TN, Kichigin VA, Diomidova VN, et al. Evaluation of adipose tissue mass with anthropometric and visualization methods; its relation to the components of the metabolic syndrome. Obesity and metabolism. 2013;2:23-7 (In Russ.)].
- Pieńkowska J, Brzeska B, Kaszubowski M, et al. The correlation between the MRI-evaluated ectopic fat accumulation and the incidence of diabetes mellitus and hypertension depends on body mass index and waist circumference ratio. PLoS One. 2020;15(1):e0226889. doi: 10.1371/journal.pone.0226889
- Thondam SK, Cuthbertson DJ, Wilding JPH. The influence of Glucose-dependent Insulinotropic Polypeptide (GIP) on human adipose tissue and fat metabolism: Implications for obesity, type 2 diabetes and Non-Alcoholic Fatty Liver Disease (NAFLD). Peptides. 2020;125:170208. doi: 10.1016/j.peptides.2019.170208
- Færch K, Torekov SS, Vistisen D, et al. GLP-1 Response to Oral Glucose Is Reduced in Prediabetes, Screen-Detected Type 2 Diabetes, and Obesity and Influenced by Sex: The ADDITION-PRO Study. Diabetes. 2015;64(7):2513-25. doi: 10.2337/db14-1751
- European Association for the Study of the Liver (EASL); European Association for the Study of Diabetes (EASD); European Association for the Study of Obesity (EASO). EASL-EASD-EASO Clinical Practice Guidelines for the management of non-alcoholic fatty liver disease. Diabetologia. 2016;59(6):1121-40. doi: 10.1007/s00125-016-3902-y
- Руяткина Л.А., Руяткин Д.С., Исхакова И.С. Возможности и варианты суррогатной оценки инсулинорезистентности. Ожирение и метаболизм. 2019;16(1):27-32 [Ruyatkina LA, Ruyatkin DS, Iskhakova IS. Opportunities and options for surrogate assessment of insulin resistance. Obesity and metabolism. 2019;16(1):27-32 (In Russ.)]. doi: 10.14341/omet10082
Supplementary files










