Risk factors for adverse outcomes in elderly patients with asthma and severe COVID-19 at the hospital and early post-hospital stages
- Authors: Avdeev S.N.1,2, Gaynitdinova V.V.1, Pozdniakova A.A.3, Vlasenko A.E.4, Gneusheva T.I.1, Baytemerova I.V.5
-
Affiliations:
- Sechenov First Moscow State Medical University (Sechenov University)
- Pulmonology Research Institute
- University Clinical Hospital № 4 of Sechenov First Moscow State Medical University (Sechenov University)
- Novokuznetsk State Institute Doctors’ Improvements – branch of Russian Medical Academy of Continuous Professional Education
- City Clinical Hospital №5
- Issue: Vol 95, No 1 (2023)
- Pages: 57-65
- Section: Original articles
- Submitted: 02.04.2022
- Published: 24.02.2023
- URL: https://ter-arkhiv.ru/0040-3660/article/view/105728
- DOI: https://doi.org/10.26442/00403660.2023.01.202049
- ID: 105728
Cite item
Full Text
Abstract
Background. Mortality and COVID-19 related factors are thoroughly analyzed. Given the large number of hospitalized patients, the potential short- and long-term COVID-19 related complications, further research is needed on the possible consequences of hospitalization, especially in higher-risk patients, after prolonged hospitalization and intensive care admission.
Aim. To study the clinical course and outcomes of severe COVID-19 in elderly patients with asthma at the hospital and early post-hospital stages.
Materials and methods. The study included 131 elderly patients (WHO, 2020) >60 years old, n=131 with asthma, hospitalized for severe COVID-19. Of these, 86 (65.6%) patients survived, 30 (22.9%) died in the hospital, and 15 (14.9%) patients died after discharge from the hospital (in the 90-day post-hospital period). COVID-19 was confirmed by laboratory tests (SARS-CoV-2 PCR RNA test) and/or clinically and radiologically. All patients had a documented history of asthma. Patients were followed up during the hospital stay and for 90 days after discharge.
Results. Comparison of outcomes showed that in the groups of patients with a fatal outcome (regardless of the stage), the Charlson comorbidity index, respiratory rate, extent of lung damage assessed by computed tomography, the absolute leukocyte and neutrophil number and the ratio of neutrophils to lymphocytes were statistically significantly higher. The absolute number of eosinophils was lower in these groups. In the group of patients who died during hospitalization, severe (IV–V) asthma (p=0.03), steroid use during the previous year (p=0.02), chronic heart failure with a reduced ejection fraction (p=0.009) were more common, and atopic asthma phenotype was less common (p=0.02). In those who died after discharge, more common were non-invasive ventilation and diabetes mellitus (p<0.001). The multivariate regression analysis model revealed the most significant predictors of mortality at the hospital and early post-hospital stages.
Conclusion. Adverse outcomes of severe COVID-19 in elderly patients with asthma include hospital and post-hospital mortality. The most significant predictors of mortality are the comorbidity index and low eosinophil count. Hospital mortality is associated with a higher ratio of neutrophils to lymphocytes and lower total protein levels; early (90-day) post-hospital mortality is associated with extensive lung damage shown by computed tomography and diabetes mellitus.
Full Text
Список сокращений
БА – бронхиальная астма
ИК – индекс курения
ИМТ – индекс массы тела
КТ – компьютерная томография
ЛДГ – лактатдегидрогеназа
СД – сахарный диабет
СРБ – С-реактивный белок
ХСН (с) – хроническая сердечная недостаточность со снижением систолической функции левого желудочка
ЧДД – частота дыхательных движений
rs – ранговый корреляционный анализ по Спирмену
SPO2 – сатурация крови кислородом
Летальность и факторы, связанные с COVID-19, тщательно анализируются. Учитывая большое число госпитализированных пациентов, потенциальные краткосрочные и долгосрочные осложнения, которые он может вызвать, необходимы дальнейшие исследования возможных последствий госпитализации, особенно у пациентов с более высоким риском, после длительной госпитализации и интенсивной терапии.
В настоящее время известно, что пожилой возраст, ожирение, сердечно-сосудистые заболевания, хроническая обструктивная болезнь легких, рак и сахарный диабет (СД) являются факторами неблагоприятного прогноза для больных COVID-19 [1–4].
По данным исследований бронхиальная астма (БА) встречается у 0,9–17% пациентов, госпитализированных с COVID-19 [5]. В исследованиях представлены многочисленные факторы, которые могут играть роль в восприимчивости и тяжести COVID-19 у пациентов с астмой [6]. Они включают в себя тяжесть самой астмы, фенотип (аллергический или неаллергический), лекарственную терапию (принимаются системные кортикостероиды или нет) и сопутствующие заболевания [7–9]. Доказано, что взрослые пациенты с неатопической астмой имеют более высокий риск развития тяжелой формы COVID-19 [10, 11].
В свою очередь астма у пожилых также имеет свои особенности: высокую коморбидность, необходимость использования большого количества лекарственных средств, индивидуальную реакцию на лечение, различное восприятие симптомов и более высокий уровень смертности [12]. На этом фоне крайне важно изучить клиническое течение и исходы тяжелой формы COVID-19 у пожилых пациентов с БА на госпитальном и раннем постгоспитальном этапах.
Материалы и методы
Проведено одноцентровое неинтервенционное продольное наблюдательное сравнительное исследование. Всего в исследование включен 131 пожилой пациент (ВОЗ, 2020) >60 лет с БА, госпитализированный по поводу COVID-19. Наблюдение за пациентами осуществлялось на госпитальном и постгоспитальном этапах (в течение 90 дней после выписки из стационара). Исследование выполнено в соответствии с положениями Хельсинкской декларации. При поступлении в стационар все пациенты подписывали информированное согласие, одобренное локальным этическим комитетом.
На госпитальном этапе наличие COVID-19 подтверждалось лабораторными исследованиями (мазок на РНК вируса SARS-CoV-2 из верхних дыхательных путей методом полимеразной цепной реакции) и/или клинико- рентгенологически (наличие характерной клинической картины и характерных признаков полисегментарной вирусной пневмонии COVID-19). При постановке диагноза и назначении лечения COVID-ассоциированной пневмонии руководствовались Временными рекомендациями по профилактике, диагностике и лечению COVID-19 Минздрава России, версия 9, 26.10.2020 [13].
Все пациенты имели в анамнезе документально подтвержденный диагноз БА, соответствующий критериям Global Initiative for Asthma [14].
У всех больных оценивались демографические показатели, индекс массы тела (ИМТ), симптомы заболевания, данные объективного, лабораторного (общий анализ крови, биохимический анализ крови, С-реактивный белок – СРБ, коагулограмма, D-димер в динамике) и инструментального (компьютерная томография – КТ – органов грудной клетки) исследований, определялся индекс коморбидности Чарлсона.
Дыхательная недостаточность определялась в соответствии с классификацией по степени тяжести, основанной на показателях пульсоксиметрии (насыщение крови кислородом – SpO2). Индекс курения (ИК) рассчитывался по формуле: ИК = (количество сигарет в день × на количество лет курения) / 20 (пачка/лет). Для оценки питательного статуса пациентов использовался ИМТ, который рассчитывался по общепринятой формуле: ИМТ = масса тела (кг) / рост (м2). При расчете индекса коморбидности Чарлсона суммировались баллы, соответствующие сопутствующим заболеваниям, а также добавлялся 1 балл на каждую декаду жизни при превышении пациентом 40-летнего возраста (т.е. 50 лет – 1 балл, 60 лет – 2 балла и т.д.). Пульсоксиметрия проводилась с помощью пульсоксиметра серии MD300C.
КТ легких проводилась на спиральном компьютерном томографе AquillionTSX-101A (Toshiba Medical Systems, Япония, толщина среза – 1 мм, pitch – 1,5) при поступлении.
Статистическая обработка данных производилась с использованием пакета прикладных программ IBM SPSS Statistics Version 22 (лицензия 20160413-1). Проверка данных на соответствие нормальному закону распределения (применялся критерий Шапиро–Уилкса) показала, что распределение большинства рассматриваемых показателей отлично от нормального. Описательная статистика исходных количественных признаков представлена медианой и интерквартильным размахом. Сравнение выживших и умерших по количественному признаку проводилось с помощью критерия Манна–Уитни, для анализа качественных номинальных признаков применялся точный критерий Фишера. Для определения предикторов госпитальной летальности рассчитывалась однофакторная модель пропорциональных рисков Кокса, допущение о пропорциональности рисков проверялось с помощью теста Грамбша–Терно. Для определения диагностической ценности маркеров использовался ROC-анализ с последующим определением точки отсечения с помощью индекса Юдена (J). Для оценки выживаемости пациентов в зависимости от признака использовался анализ Каплана–Мейера, cравнение кривых выживаемости проводилось с помощью лог-рангового теста (log-rank). Для поиска связей между количественными показателями использовали ранговый корреляционный анализ по Спирмену (rs). Различия считались статистически значимыми при p<0,05.
Результаты
В исследование включен 131 пожилой пациент с БА, госпитализированный по поводу тяжелой формы COVID-19. Из них 86 (65,6%) пациентов выжили, 30 (22,9%) пациентов умерли в стационаре, 15 (14,9%) пациентов – после выписки из стационара (в ранний постгоспитальный период). Медианный возраст исследуемых больных составил 74 (67; 80) года; мужчин – 59, женщин – 72; ИМТ – 27,5 (25; 30,2) кг/м2. У курящих пациентов (n=21) ИК составил 45 (32; 50) пачка/лет.
На следующем этапе проведено сравнение клинико- лабораторных показателей в зависимости от исхода: выжившие, умершие в стационаре и умершие в течение 90 дней после выписки из стационара (табл. 1 и 2). Три группы исследования (выжившие/умершие в стационаре/умершие в 90-дневный постгоспитальный период) были сопоставимы по возрасту (p=0,37), гендерному составу (p=0,06), ИМТ (p=0,18) и большинству других рассматриваемых показателей (см. табл. 1).
Таблица 1. Клиническая, лабораторно-инструментальная характеристика групп исследования
Table 1. Clinical, laboratory and instrumental characteristics of study groups
Показатели | Группы исследования | p2 | ||
выжившие (n=86) | умерли в стационаре (n=30) | умерли после выписки (n=15) | ||
Возраст, лет | 73 (67; 79) | 74 (69; 83) | 74 (68; 80) | 0,37 |
Мужчины | 33 (38%) [29–49] | 17 (57%) [39–73] | 9 (60%) [36–80] | 0,10 |
Курение | 12 (14%) [8–23] | 5 (17%) [7–34] | 4 (27%) [11–52] | 0,46 |
ИМТ, кг/м2 | 27,3 (25,0; 29,7) | 29,2 (26,0; 32,0) | 26,0 (22,7; 31,0) | 0,18 |
Температура тела, °С | 37,2 (36,8; 37,5) | 37,4 (36,9; 37,8) | 37,5 (36,8; 37,8) | 0,33 |
ЧСС, уд/мин | 86 (78; 96) | 90 (79; 96) | 88 (70; 98) | 0,79 |
Лимфоциты, 109/л | 0,9 (0,6; 1,4) | 0,8 (0,6; 1,1) | 0,8 (0,5; 0,9) | 0,11 |
Фибриноген, г/л | 6,8 (4,8; 8,4) | 6,6 (5,6; 7,8) | 7,6 (6,6; 8,2) | 0,25 |
СРБ при поступлении, г/л | 41,7 (11,9; 71,4) | 56,3 (25,0; 111,6) | 35,5 (21,1; 92,2) | 0,23 |
Креатинин, мкмоль/л | 87,1 (78,0; 100,0) | 97,9 (82,0; 110,9) | 95,9 (80,9; 115,4) | 0,15 |
Билирубин, мкмоль/л | 8,6 (6,8; 11,5) | 8,6 (6,9; 11,7) | 9,8 (8,4; 11,8) | 0,45 |
АЛТ, Ед/л | 27 (18; 40) | 23 (17; 38) | 36 (25; 64) | 0,20 |
АСТ, Ед/л | 32 (24; 43) | 34 (23; 48) | 33 (21; 38) | 0,91 |
D-димер, мг/л | 0,6 (0,4; 1,1) | 1,00 (0,7; 1,1) | 0,9 (0,6; 1,1) | 0,11 |
ГБ | 24 (28%) [20–38] | 12 (40%) [25–58] | 8 (53%) [30–75] | 0,11 |
ИБС | 31 (36%) [27–47] | 16 (53%) [36–70] | 4 (27%) [11–52] | 0,13 |
ГЭРБ | 8 (9%) [5–17] | 1 (3%) [1–17] | 1 (7%) [1–30] | 0,56 |
Рак различной локализации | 7 (8%) [4–16] | 6 (20%) [10–37] | 1 (7%) [1–30] | 0,17 |
ХОБЛ | 16 (19%) [12–28] | 6 (20%) [10–37] | 4 (27%) [11–52] | 0,77 |
Примечание. ЧСС – частота сердечных сокращений, ХОБЛ – хроническая обструктивная болезнь легких, ГБ – гипертоническая болезнь, ИБС – ишемическая болезнь сердца, ГЭРБ – гастроэзофагеальная рефлюксная болезнь, АЛТ – аланинаминотрансфераза, АСТ – аспартатаминотрансфераза. | ||||
Таблица 2. Показатели, уровень которых статистически значимо различается в группах исследования
Table 2. Parameters with statistically significant differences in the study groups
Показатели | Группы исследования | p | ||
выжившие (n=86) | умерли в стационаре (n=30) | умерли после выписки (n=15) | ||
Чарлсон, баллы | 4 (3; 5) | 7 (5; 8) | 5 (4; 6) | <0,001 |
ЧДД в мин | 23 (22; 24) | 24 (22; 26) | 24 (24; 26) | 0,006 |
КТ легких, % | 29 (25; 45) | 35 (29; 75) | 40 (30; 60) | 0,003 |
SpO2, % | 92 (90; 94) | 90 (85; 93) | 89 (86; 93) | 0,002 |
Лейкоциты, 109/л | 5,6 (4,3; 8,4) | 8,7 (5,4; 10,8) | 9,5 (7,5; 14,6) | 0,001 |
Нейтрофилы, 109/л | 3,8 (2,7; 6,2) | 7,1 (3,8; 8,6) | 8,1 (6,2; 12,4) | 0,001 |
Нейтрофилы/лимфоциты | 3,9 (2,1; 6,1) | 7,2 (3,2; 12,5) | 9,3 (7,2; 17,5) | 0,001 |
Эозинофилы, клеток/мкл | 40 (10; 100) | 14 (9; 30) | 17 (9; 27) | 0,001 |
СРБ на 5-й день, мг/л | 8,2 (2,8; 22,3) | 20,2 (13,2; 62,5) | 15,5 (7,0; 25,1) | 0,003 |
Общий белок, г/л | 66,2 (59,6; 71,7) | 59,0 (49,6; 67,7) | 62,8 (57,0; 69,4) | 0,03 |
ЛДГ, Ед/л | 454 (381; 618) | 670,0 (500; 1157) | 558,0 (465; 664) | 0,001 |
Неатопическая астма | 62 (72%) (62–80) | 29 (97%) (83–99) | 12 (80%) (55–93) | 0,02 |
Атопическая астма | 24 (28%) (20–38) | 1 (3%) (1–17) | 3 (20%) (7–45) | 0,02 |
Стероиды/год | 8 (9%) (5–17) | 10 (33%) (19–51) | 4 (27%) (11–52) | 0,006 |
Астма IV–V стадии | 10 (12%) (6–20) | 16 (53%) (36–70) | 0 (0%) (0–20) | 0,001 |
СД | 11 (13%) (7–21) | 8 (27%) (14–44) | 7 (47%) (25–70) | 0,006 |
ХСН (с) | 18 (21%) (14–31) | 14 (47%) (30–64) | 1 (7%) (1–30) | 0,004 |
Однако также в результате исследования выявлены показатели, статистически значимо различавшиеся между выжившими пациентами и пациентами с неблагоприятным исходом (см. табл. 2).
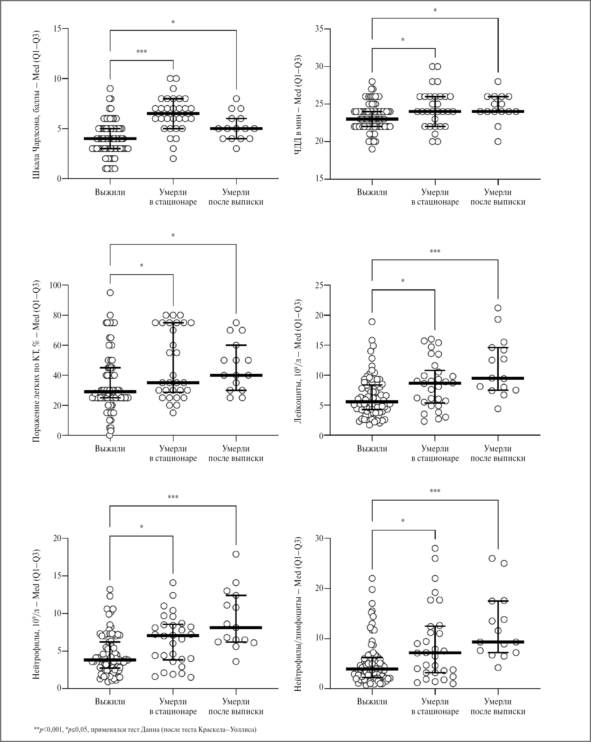
В группах пациентов с летальным исходом (независимо от этапа) был выше индекс Чарлсона (p<0,001 для умерших на госпитальном этапе, p=0,05 – на постгоспитальном этапе) по сравнению с выздоровевшими, частота дыхательных движений – ЧДД (p=0,04 для каждой группы летальности), объем поражения легких по КТ (p=0,02 и 0,05 соответственно), абсолютное число лейкоцитов (p=0,02 и p<0,001 соответственно), нейтрофилов (p=0,01 и p<0,001 соответственно) и соотношение нейтрофилов и лимфоцитов (p=0,02 и p<0,001 соответственно); рис. 1.
Рис. 1. Распределение в группах исследования показателей, более высокий уровень которых ассоциирован с летальным исходом на госпитальном и постгоспитальном этапах.
Отдельно стоит отметить статистически значимо более высокое содержание эозинофилов в группе выживших по сравнению с группами с летальным исходом – 40 (10; 100) клеток/мкл против 14 (9; 30) клеток/мкл в группе умерших на госпитальном этапе (p=0,001) и 17 (9; 27) клеток/мкл – на постгоспитальном (p=0,04). В частности, можно выделить уровень эозинофилов выше 100 клеток/мкл, который встречался в группе выживших в 24% случаев (n=21) и совсем не встречался у пациентов с летальным исходом (p=0,002 по Фишеру при сравнении выживших и умерших во время госпитализации, p=0,04 по Фишеру при сравнении группы выживших и группы умерших после выписки из стационара). На госпитальном этапе медиана времени дожития у пациентов с уровнем эозинофилов ≤100 клеток/мкг была 22 [18–25] дня, а у пациентов с уровнем эозинофилов выше 100 клеток/мкг – не менее 28 дней (log-rank=12,2, p<0,001); рис. 2, а.
На постгоспитальном этапе кривые дожития пациентов также статистически значимо различаются в зависимости от уровня эозинофилов (log-rank=4,3, p=0,04), медианы дожития в обеих случаях составляли не менее 90 дней, но среднее время дожития после выписки из стационара в группе пациентов с уровнем эозинофилов <100 клеток/мкл составляло 76 [69–82] дней против 90 дней в группе пациентов с уровнем эозинофилов >100 клеток/мкл (рис. 2, b).
Рис. 2. Кривые выживаемости пациентов с COVID-19 и БА в зависимости от уровня эозинофилов: а – на госпитальном этапе (срок наблюдения 28 дней); b – на раннем постгоспитальном этапе (срок наблюдения 90 дней).
Также в группах выживших пациентов по сравнению с пациентами с летальным исходом был статистически значимо более высокий уровень SpO2 (p=0,02 для умерших на госпитальном этапе, p=0,03 – на постгоспитальном этапе).
На госпитальном этапе с повышенным риском летального исхода ассоциированы повышенные уровни CРБ на 5-е сутки госпитализации (p=0,003) и лактатдегидрогеназы – ЛДГ (p=0,002); пониженный общий белок (p=0,03), большая частота тяжелой степени БА (IV–V) – у 20% (p=0,03), прием стероидов в течение предыдущего года – в 33% случаев (p=0,02) и меньшая распространенность атопического фенотипа астмы [зарегистрирован только 1 случай против 28% (n=24) в группе выживших; p=0,02]. Кроме того, в группе пациентов, умерших на госпитальном этапе, чаще встречалась хроническая сердечная недостаточность со сниженной фракцией выброса – ХСН (с) по сравнению с выжившими пациентами и умершими после выписки из стационара – 14 (47%) [30–64] против 18 (21%) [14–31]; p=0,009 и 1 (7%) [1–30]; p=0,008 соответственно.
У умерших в раннем постгоспитальном периоде чаще использовалась неинвазивная вентиляция легких во время госпитализации по сравнению с группой выживших – 60 [36–80]% (n=9) против 5 [2–11]% (n=4); p<0,001 и встречался СД по сравнению с группой выживших – 47% (n=9) против 5% (n=4); p<0,001.
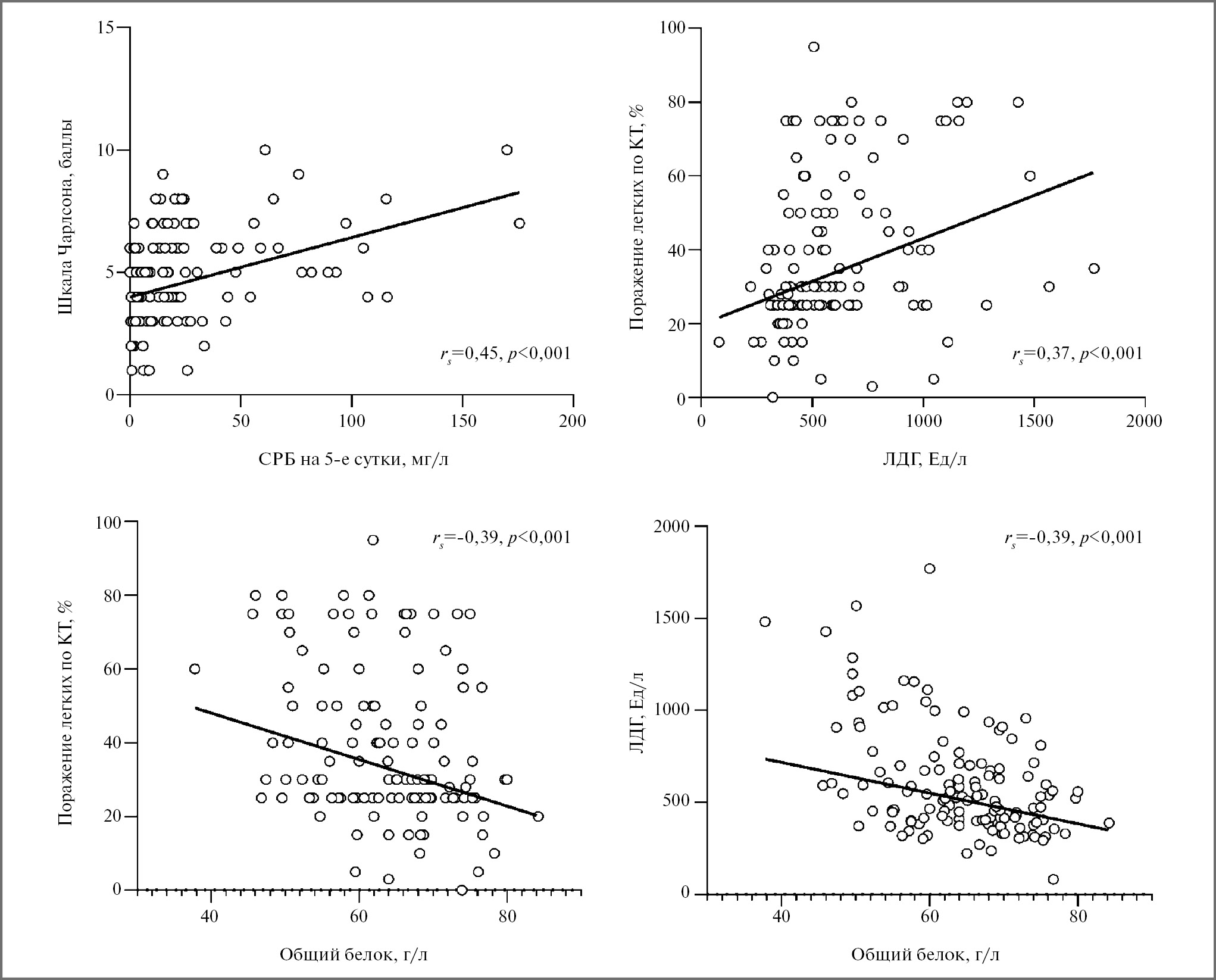
Большинство показателей, ассоциированных с летальным исходом, взаимосвязаны между собой (рис. 3).
Рис. 3. Корреляции между отдельными показателями (на всей выборке, n=131), рассчитывался коэффициент корреляции Спирмена, линейная аппроксимация выполнена методом робастной регрессии.
У умерших в стационаре основные предикторы представлены индексом коморбидности Чарлсона, соотношением нейтрофилов и лимфоцитов, содержанием эозинофилов и общего белка. С высоким риском летального исхода в этой группе ассоциированы более высокие значения баллов по шкале Чарлсона и отношения нейтрофилов к лимфоцитам (относительный риск выше 1) и более низкое количество эозинофилов и уровень общего белка (относительный риск ниже 1); рис. 4.
Рис. 4. Факторы, ассоциированные с высоким риском летального исхода на госпитальном этапе, приведены относительные риски и их 95% доверительный интервал. Относительный риск рассчитан на 1 единицу измерения, если не указано другое.
С высоким риском летального исхода после выписки из стационара ассоциированы более высокие значения баллов по шкале Чарлсона, объем поражения легких, наличие СД (относительный риск выше 1) и более низкое количество эозинофилов (относительный риск ниже 1); рис. 5.
Рис. 5. Факторы, ассоциированные с высоким риском летального исхода на постгоспитальном этапе, приведены относительные риски и их 95% доверительный интервал. Относительный риск рассчитан на 1 единицу измерения, если не указано другое.
Обсуждение
В проведенном нами исследовании из 131 пожилого пациента с БА, госпитализированного по поводу тяжелой формы COVID-19, выжили 65,6%, 22,9% пациентов умерли в стационаре, 14,9% пациентов – после выписки из стационара (в 90-дневный постгоспитальный период).
У пациентов с летальным исходом на госпитальном и постгоспитальном этапах были выше индекс Чарлсона, ЧДД, объем поражения легких по КТ, уровни лейкоцитов, нейтрофилов и отношение нейтрофилов к лимфоцитам, в то время как более высокий уровень эозинофилов был ассоциирован с благоприятным исходом (выздоровлением).
Помимо показателей, ассоциированных с летальным исходом независимо от периода, выявлены показатели, связанные с повышенным риском летального исхода только в госпитальном периоде. Это более высокие, чем у выздоровевших пациентов, уровни CРБ на 5-е сутки госпитализации, ЛДГ, а также пониженный общий белок. Также в группе пациентов, умерших во время госпитализации, чаще встречалась тяжелая (IV–V) БА, прием стероидов в течение предыдущего года и менее был распространен аллергический фенотип астмы. Кроме того, в группе пациентов, умерших на госпитальном этапе, чаще встречалась ХСН (с) по сравнению с выжившими пациентами и умершими после выписки из стационара. Большинство показателей, ассоциированных с летальным исходом, взаимосвязаны.
Пациенты, умершие в течение раннего (90-дневного) постгоспитального периода, характеризуются статистически значимо более частым применением неинвазивной вентиляции легких во время госпитализации по сравнению с группой выживших и большей встречаемостью СД.
Многофакторный анализ показал наиболее значимые предикторы летальности в исследуемых группах. У умерших в стационаре основные предикторы представлены индексом коморбидности Чарлсона, отношением нейтрофилов к лимфоцитам, содержанием эозинофилов и общего белка; у умерших в течение 90-дневного периода после выписки – также индексом коморбидности, объемом поражения легких по КТ, уровнем эозинофилов и наличием СД.
COVID-19 часто требует стационарного лечения, и стационарная смертность высока. Крупное популяционное когортное исследование продемонстрировало, что взрослые, страдающие астмой, имеют более высокий риск тяжелой формы COVID-19, что обусловлено повышенным риском у пациентов с неаллергической астмой [4]. Предшествующая астма может повлиять на клинические исходы инфекции COVID-19, поскольку респираторные вирусы в целом увеличивают риск обострения астмы и смерти [15].
Y. Choi и соавт. отметили, что показатели смертности были выше у пациентов с астмой. Но астма и тяжесть астмы не оказались значимыми предикторами смертности, связанной с COVID-19, после поправки на возраст, пол и сопутствующие заболевания [16].
Меньше известно о долгосрочных исходах в плане смертности и повторной госпитализации после стационарного лечения, хотя в целом появляется все больше данных о развитии длительного постковидного синдрома, затрагивающего различные органы и системы. Результаты нескольких исследований показали, что основным социально-демографическим или клиническим фактором, связанным со смертностью после выписки, был пожилой возраст [13, 17]. Существует мнение, что диабет, как правило, ухудшает исход, но это не относится к пациентам, находившимся на искусственной вентиляции легких, тогда как острая почечная недостаточность, застойная сердечная недостаточность и возраст являются причиной худшего исхода независимо от вентиляции [18].
Также описано сохранение стойких симптомов 3–3,5 мес в 55% случаев [19], через 50 дней после выписки – в 62,5% случаев [20]. Однако в других исследованиях сообщалось о 68 и 87% случаев сохранения симптомов постковидного синдрома через 2 мес [21] и о 87% – через 3 мес [22]. По данным в основном одноцентровых исследований, уровень 90-дневной постгоспитальной смертности колебался от 11% в Испании, до 29% в Дании для всех госпитализированных пациентов, 27% в Швеции, 31% в Бельгии, Франции, Швейцарии и 35% в датском исследовании пациентов, получивших лечение в отделениях интенсивной терапии. Анализ более 100 тыс. госпитализированных пациентов с COVID-19 в США показал, что через 6 мес после выписки частота повторной госпитализации в ту же больницу составляет 9% [22].
Y. Zhu и соавт. в своем исследовании показали, что в случае 167 тяжелобольных пациентов с COVID-19, поступивших в отделение интенсивной терапии, обнаружено, что пожилой возраст и тромбоцитопения среди прочего были значительными факторами риска смерти 28-, 90- и 180-дневной летальности [23].
Заключение
Таким образом, неблагоприятные исходы тяжелой формы COVID-19 у пожилых больных БА включают в себя госпитальную и постгоспитальную летальность. Общими наиболее значимыми предикторами летальности являются индекс коморбидности и более низкий уровень эозинофилов. Госпитальная летальность дополнительно характеризуется более высоким отношением нейтрофилов к лимфоцитам и пониженным содержанием общего белка, ранняя (90-дневная) постгоспитальная летальность – объемом поражения легких по КТ и наличием СД.
Раскрытие интересов. Авторы декларируют отсутствие явных и потенциальных конфликтов интересов, связанных с публикацией настоящей статьи.
Disclosure of interest. The authors declare that they have no competing interests.
Вклад авторов. Авторы декларируют соответствие своего авторства международным критериям ICMJE. Все авторы в равной степени участвовали в подготовке публикации: разработка концепции статьи, получение и анализ фактических данных, написание и редактирование текста статьи, проверка и утверждение текста статьи.
Authors’ contribution. The authors declare the compliance of their authorship according to the international ICMJE criteria. All authors made a substantial contribution to the conception of the work, acquisition, analysis, interpretation of data for the work, drafting and revising the work, final approval of the version to be published and agree to be accountable for all aspects of the work.
Информированное согласие на публикацию. Пациенты подписали форму добровольного информированного согласия на публикацию медицинской информации.
Consent for publication. Written consent was obtained from all patients for publication of relevant medical information.
About the authors
Sergey N. Avdeev
Sechenov First Moscow State Medical University (Sechenov University); Pulmonology Research Institute
Email: ivv_08@mail.ru
ORCID iD: 0000-0002-5999-2150
акад. РАН, д-р мед. наук, проф., зав. каф. пульмонологии Института клинической медицины им. Н.В. Склифосовского; рук. клинического отд.
Russian Federation, Moscow; MoscowViliya V. Gaynitdinova
Sechenov First Moscow State Medical University (Sechenov University)
Author for correspondence.
Email: ivv_08@mail.ru
ORCID iD: 0000-0001-9928-926X
д-р мед. наук, проф. каф. пульмонологии Института клинической медицины им. Н.В. Склифосовского
Russian Federation, MoscowAnna A. Pozdniakova
University Clinical Hospital № 4 of Sechenov First Moscow State Medical University (Sechenov University)
Email: ivv_08@mail.ru
ORCID iD: 0000-0001-9125-1873
врач-терапевт приемного отд-ния
Russian Federation, MoscowAnna E. Vlasenko
Novokuznetsk State Institute Doctors’ Improvements – branch of Russian Medical Academy of Continuous Professional Education
Email: ivv_08@mail.ru
ORCID iD: 0000-0001-6454-4216
канд. техн. наук, преподаватель каф. медицинской кибернетики и информатики
Russian Federation, NovokuznetskTatiana Iu. Gneusheva
Sechenov First Moscow State Medical University (Sechenov University)
Email: ivv_08@mail.ru
ORCID iD: 0000-0002-6757-8961
канд. мед. наук, ассистент каф. пульмонологии Института клинической медицины им. Н.В. Склифосовского
Russian Federation, MoscowIrina V. Baytemerova
City Clinical Hospital №5
Email: ivv_08@mail.ru
ORCID iD: 0000-0001-7277-5284
врач-пульмонолог
Russian Federation, UfaReferences
- Ejaz H, Alsrhani A, Zafar A, et al. COVID-19 and comorbidities: deleterious impact on infected patients. J Infect Public Health. 2020;13(12):1833-9. doi: 10.1016/j.jiph.2020.07.014
- Wu Z, McGoogan JM. Characteristics of and important lessons from the coronavirus disease 2019 (COVID-19) outbreak in China: summary of a report of 72314 cases from the Chinese Center for Disease Control and Prevention. JAMA. 2020;323:1239-42. doi: 10.1001/jama.2020.2648
- Guan W-J, Liang W-H, Zhao Y, et al. Comorbidity and its impact on 1590 patients with COVID-19 in China: a nationwide analysis. Eur Respir J. 2020;55:2000547. doi: 10.1183/13993003.00547-2020
- Eger K, Bel EH. Asthma and COVID-19: do we finally have answers? Eur Respir J. 2021;57(3):2004451. doi: 10.1183/13993003.04451-2020
- Butler MW, O'Reilly A, Dunican EM, et al. Prevalence of comorbid asthma in COVID-19 patients. J Allergy Clin Immunol. 2020;146:334-5. doi: 10.21037/jtd.2017.08.109
- Choi H-G, Wee JH, Kim SY, et al. Association between asthma and clinical mortality/morbidity in COVID-19 patients using clinical epidemiologic data from Korean Disease Control & Prevention. Allergy. 2021;76(3):921-4. doi: 10.1111/all.14675
- Eggert LE, He Z, Collins W, et al. Asthma phenotypes, associated comorbidities, and long-term symptoms in COVID-19. Allergy. 2022;77(1):173-85. doi: 10.1111/all.14972
- Skevaki C, Karsonova A, Karaulov A, et al. Asthma-associated risk for COVID-19 development. J Allergy Clin Immunol. 2020;146(6):1295-301. doi: 10.1016/j.jaci.2020.09.017
- Yang JM, Koh HY, Moon SY, et al. Allergic disorders and susceptibility to and severity of COVID-19: a nationwide cohort study. J Allergy Clin Immunol. 2020;146:790-8. doi: 10.1016/j.jaci.2020.08.008
- Chhiba KD, Patel GB, Vu THT, et al. Prevalence and characterization of asthma in hospitalized and nonhospitalized patients with COVID-19. J Allergy Clin Immunol. 2020;146:307-14. doi: 10.1016/j.jaci.2020.06.010
- Lieberman-Cribbin W, Rapp J, Alpert N, et al. The impact of asthma on mortality in patients with COVID-19. Chest. 2020;194:2019-20. doi: 10.1016/j.chest.2020.05.575
- Milanese M, Di Marco F, Corsico AG, et al; ELSA Study Group. Asthma control in elderly asthmatics. An Italian observational study. Respir Med. 2014;108(8):1091-9. doi: 10.1016/j.rmed.2014.05.016
- Временные клинические рекомендации. Профилактика, диагностика и лечение новой коронавирусной инфекции (COVID-19) Минздрава РФ. Версия 9 (26.10.2020). Режим доступа: https://static0.minzdrav.gov.ru/system/attachments/attaches/000/052/548/original/%D0%9C%D0%A0_COVID-19_%28v.9%29.pdf?1603730062. Ссылка активна на 02.04.2022 [Vremennye klinicheskie rekomendatsii. Profilaktika, diagnostika i lechenie novoi koronavirusnoi infektsii (COVID-19) Minzdrava RF. Versiia 9 (26.10.2020). Available at: https://static0.minzdrav.gov.ru/system/attachments/attaches/000/052/548/original/%D0%9C%D0%A0_COVID-19_%28v.9%29.pdf?1603730062. Accessed: 02.04.2022 (in Russian)].
- GINA Report, Global Strategy for Asthma Management and Prevention. Available at: https://ginasthma.org/2020. Accessed: 02.04.2022.
- James KM, Peebles RS Jr, Hartert TV. Response to infections in patients with asthma and atopic disease: an epiphenomenon or reflection of host susceptibility? J Allergy Clin Immunol. 2012;130(2):343-51. doi: 10.1016/j.jaci.2012.05.056
- Choi YJ, Park J-Y, Lee HS, et al. Effect of asthma and asthma medication on the prognosis of patients with COVID-19. Eur Respir J. 2021;57:2002226. doi: 10.1183/13993003.02226-2020
- Romero-Duarte Á, Rivera-Izquierdo M, Guerrero-Fernández de Alba I, et al. Sequelae, persistent symptomatology and outcomes after COVID-19 hospitalization: the ANCOHVID multicentre 6-month follow-up study. BMC Med. 2021;19(1):129. doi: 10.1186/s12916-021-02003-7
- Fernando SM, McIsaac DI, Rochwerg B, et al. Frailty and invasive mechanical ventilation: association with outcomes, extubation failure, and tracheostomy. Intensive Care Med. 2019;45(12):1742-52. doi: 10.1007/s00134-019-05795-8
- Garrigues E, Janvier P, Kherabi Y, et al. Post-discharge persistent symptoms and health-related quality of life after hospitalization for COVID-19. J Infect. 2020;81(6):e4-6. doi: 10.1016/j.jinf.2020.08.029
- Rosales-Castillo A, García de Los Ríos C, Mediavilla García JD. Persistent symptoms after acute COVID-19 infection: importance of follow-up. Med Clin (Barc). 2021;156:35-6. doi: 10.1016/j.medcli.2020.08.001
- Carfì A, Bernabei R, Landi F. Gemelli Against COVID-19 Post-Acute Care Study Group. Persistent symptoms in patients after acute COVID-19. JAMA. 2020;324(6):603-5. doi: 10.1001/jama.2020.12603
- Goërtz YMJ, Van Herck M, Delbressine JM, et al. Persistent symptoms 3 months after a SARS-CoV-2 infection: the post-COVID-19 syndrome? ERJ Open Res. 2020;6(4):00542-2020. doi: 10.1183/23120541.00542-2020
- Zhu Y, Zhang J, Li Y, et al. Association between thrombocytopenia and 180-day prognosis of COVID-19 patients in intensive care units: A two-center observational study. PLoS One. 2021;16(3):e0248671. doi: 10.1371/journal.pone.0248671
Supplementary files








