Peculiarities of blood coagulation disorders in patients with COVID-19
- Authors: Evtugina N.G.1, Sannikova S.S.2, Peshkova A.D.1, Safiullina S.I.1,3, Andrianova I.A.1, Tarasova G.R.1, Khabirova A.I.1, Rumyantsev A.G.4, Ataullakhanov F.I.5,6, Litvinov R.I.1
-
Affiliations:
- Kazan Federal University
- City Hospital №16
- Medical Center “Aibolit”
- Dmitry Rogachev National Medical Research Center of Pediatric Hematology
- Dmitry Rogachev National Medical Research Center of Pediatric Hematology, Oncology and Immunology
- Center for Theoretical Problems of Physico-Chemical Pharmacology
- Issue: Vol 93, No 11 (2021)
- Pages: 1255-1263
- Section: Editorial article
- Submitted: 25.01.2022
- Accepted: 25.01.2022
- Published: 15.11.2021
- URL: https://ter-arkhiv.ru/0040-3660/article/view/97308
- DOI: https://doi.org/10.26442/00403660.2021.11.201185
- ID: 97308
Cite item
Full Text
Abstract
Aim. To study the relationship of hemostatic disorders with inflammation and estimate their role in the course and outcomes of COVID-19.
Materials and methods. We examined 215 consecutive patients with moderate and severe forms of acute COVID-19. The patients were on anticoagulants and immunosuppressive drugs. Hemostasis was assessed using the thrombodynamics assay, thromboelastography, fibrinogen and D-dimer levels, prothrombin time, and soluble fibrin-monomer complexes (ethanol gelation test). The hemostatic parameters were correlated with hematological and biochemical tests, including markers of inflammation (C-reactive protein, interleukins 6 and 8), as well as with the disease severity and outcomes.
Results. Laboratory signs of coagulopathy were revealed in the vast majority of the cases. Despite the use of low-molecular-weight heparins in the prophylactic and therapeutic doses, coagulopathy in COVID-19 manifested predominantly as hypercoagulability that correlated directly with the systemic inflammation and metabolic changes due to liver and kidney dysfunction. A direct relationship was found between the grade of coagulopathy and the severity of COVID-19, including comorbidities and the mortality. The chronometric hypocoagulability observed in about 1/4 cases was associated with a high level of C-reactive protein, which may decelerate coagulation in vitro and thereby mask the true inflammatory thrombophilia. Persistent hyperfibrinogenemia and high D-dimer in the absence of consumption coagulopathy suggest the predominance of local and/or regional microthrombosis over disseminated intravascular coagulation.
Conclusion. The results obtained substantiate the need for laboratory monitoring of hemostasis and active prophylaxis and treatment of thrombotic complications in COVID-19.
Keywords
Full Text
Введение
Заболевание, вызываемое вирусом SARS-CoV-2 и возникшее в конце 2019 г., получило название COVID-19 и приняло характер пандемии. Несмотря на большое число исследований, результаты лечения COVID-19 остаются неудовлетворительными главным образом из-за недостатка сведений о патогенезе заболевания, который отличается от известных инфекций.
Вирус SARS-CoV-2 прямо или косвенно поражает разные органы и системы, включая систему гемостаза [1]. Внутрисосудистое тромбообразование является важнейшим патогенетическим механизмом COVID-19, что послужило основанием для тромбопрофилактики низкомолекулярными гепаринами (НМГ) [2–4]. Антикоагулянтная терапия существенно снизила летальность [5], что подтверждает важность тромбозов в патофизиологии COVID-19. Кроме того, показатели гемостаза приобрели прогностическое значение, стали критерием эффективности лечения [6], а высокие уровни фибриногена и D-димера – показанием для антикоагулянтной терапии при COVID-19 [7].
Несмотря на доказанную роль коагулопатий в патогенезе COVID-19, их связь с воспалением, клиническим течением и исходами заболевания остается во многом неясной. Какова роль системного воспаления и его медиаторов в инициации гиперкоагуляции и поддержании высокого тромботического потенциала? Есть ли корреляция между гиперкоагуляцией и тяжестью заболевания? Есть ли связь между тромботическим потенциалом и летальными исходами болезни, особенно на фоне гепаринотерапии? Насколько информативны гемостатические тесты и как велико их клиническое значение? Ответы на эти и другие вопросы составляют цель и задачи настоящей работы.
Материалы и методы
Характеристика клинического материала
Обследованы пациенты с диагнозом COVID-19, поступившие в COVID-госпиталь на базе ГАУЗ «Городская клиническая больница №16» г. Казани. Исследование проводили согласно разрешению этического комитета Казанского федерального университета (протокол №24 от 22.09.2020). Обследованы 215 пациентов в возрасте от 37 до 92 лет (средний возраст 68 лет). Критерии включения: возраст старше 18 лет; диагноз COVID-19 по данным полимеразной цепной реакции; состояние средней тяжести или тяжелое [8]; наличие инфильтратов в легких по данным компьютерной томографии.
Лечение проводилось в соответствии с Временными рекомендациями Минздрава России [8]. НМГ в стандартной профилактической, высокой профилактической или лечебной дозах получали 92% пациентов [7]. Взятие крови проводилось натощак перед очередным подкожным введением НМГ, т.е. на фоне остаточного эффекта НМГ.
Характеристика пациентов дана в табл. 1. Контрольную группу составили 40 здоровых доноров – 19 (48%) мужчин и 21 (52%) женщина в возрасте от 60 до 87 лет (средний возраст 67 лет). Основная и контрольная группы были сопоставимы по возрасту и полу.
Таблица 1. Демографические и клинические характеристики пациентов с COVID-19, включенных в исследование Table 1. Demographic and clinical characteristics of the COVID-19 patients included in the study | ||
Клинические характеристики | Число пациентов (n=215), абс. (%) | |
Пол | Мужчины | 100 (48) |
Женщины | 115 (52) | |
Возраст, лет | <65 | 75 (35) |
≥65 | 140 (65) | |
Степень тяжести заболевания | Среднетяжелая | 160 (74) |
Тяжелая | 55 (26) | |
Степень поражения легких (компьютерная томография) | 1-я | 43 (20) |
1–2-я | 101 (47) | |
3–4-я | 71 (33) | |
Длительность заболевания на момент обследования | <7 дней от начала заболевания | 17 (8) |
7–14 дней от начала заболевания | 88 (41) | |
>14 дней от начала заболевания | 109 (51) | |
Исход заболевания | Благоприятный | 199 (93) |
Летальный | 16 (7) | |
Сопутствующие заболевания и факторы риска тромбозов | ||
Гемобластозы | 8 (4) | |
Гипертоническая болезнь | 118 (59) | |
Сахарный диабет | 50 (25) | |
Ишемическая болезнь сердца | 41 (21) | |
Острый инфаркт миокарда | 18 (9) | |
Острые нарушения мозгового кровообращения | 24 (12) | |
Тромбофлебит сосудов нижних конечностей | 10 (5) | |
Курение | 12 (6) | |
Ожирение (индекс массы тела >30 кг/м2) | 68 (34) | |
Лечение | ||
НМГ (дозы по [7]) | Профилактическая доза | 100 (47) |
Высокая профилактическая и лечебная дозы | 98 (46) | |
Глюкокортикостероиды (дексаметазон, метилпреднизолон, преднизолон) | 204 (95) | |
Ингибитор ИЛ-6 (тоцилизумаб) | 5 (2) | |
Противовирусные препараты (Ингавирин, Арбидол) | 59 (30) | |
Муколитики (АЦЦ, амброксол) | 112 (56) | |
Гидроксихлорохин (Плаквенил) | 82 (41) | |
Искусственная вентиляция легких | 11 (6) | |
Получение крови и ее компонентов
Кровь стабилизировали 3,2% цитратом натрия (9:1). Бедную тромбоцитами плазму получали центрифугированием при 2000g 10 мин, бестромбоцитную плазму – центрифугированием при 1600g 15 мин и при 10 000g 5 мин. Сыворотку получали силикатным активатором, для гематологического анализа кровь стабилизировали К3-этилендиаминтетраацетатом. Кровь использовали не позднее 4 ч после взятия.
Кинетику направленного формирования сгустка в плазме крови (тромбодинамика) изучали как описано ранее [9].
Тромбоэластография, коагулограмма, гематологические и биохимические исследования
В кювете TEG 5000 в плазму добавляли каолин и CaCl2 и определяли R – время от инициации свертывания до начала образования фибрина, K – время увеличения амплитуды тромбоэластографии (ТЭГ) до 20 мм, α – угол наклона кривой, MA – максимальную амплитуду. Коагулограмма включала протромбиновое время (ПВ) и международное нормализованное отношение (МНО), концентрацию фибриногена по Клауссу и D-димер. Растворимые комплексы фибрин-мономера (РКФМ) обнаруживали этаноловым тестом [10]. Использовали гематологический анализатор BC-3600 (Mindray, Китай) и биохимический анализатор BS-200Е (Mindray, Китай). Интерлейкины (ИЛ) в сыворотке крови определяли наборами АО «Вектор-Бест» (Россия).
Статистический анализ
Используя пакеты GraphPad Prism 8 и RStudio, парные сравнения осуществляли с помощью теста Манна–Уитни, а для многофакторного анализа применяли тест Краскела–Уоллиса с последующим тестом Данна. Корреляционный анализ проводился методом Спирмена. Для категориальных признаков использовали χ2-критерий. Уровень статистической значимости 95% (p<0,05).
Результаты
Тромбодинамика у пациентов с COVID-19
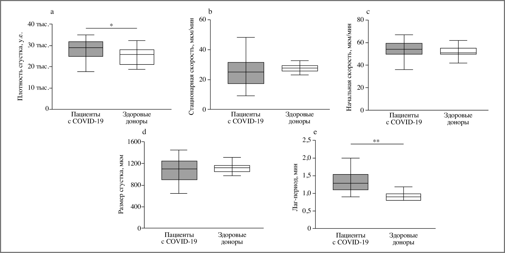
По данным тромбодинамики у пациентов с COVID-19 в сравнении с контролем обнаружено увеличение оптической плотности сгустка (рис. 1, a, табл. 2, раздел А), обусловленное гиперфибриногенемией. Так, если при уровне фибриногена <4 г/л медиана плотности сгустка была 24 401 у.е. (интерквартильный размах – ИКР 21 298–27 521), то при значениях >4 г/л оптическая плотность сгустка возрастала до 30 454 у.е. (ИКР 27 709–32 591; p<0,001), что указывает на прямую зависимость оптических свойств сгустка от содержания фибрин(оген)а.
У 15% пациентов на 10–30-й минуте после рекальцификации появлялись спонтанные сгустки, что свидетельствует о гиперкоагуляции. При этом у больных нет достоверных различий с контролем по хронометрическим параметрам тромбодинамики (см. рис. 1, b и c, табл. 2, раздел А) размеру сгустка (см. рис. 1, d, табл. 2, раздел А) и даже, напротив, наблюдается увеличение лаг-периода (см. рис. 1, e, табл. 2, раздел А), которое согласуется с удлинением ПВ и ростом МНО (табл. 3).
Рис. 1. Параметры тромбодинамики у пациентов с COVID-19 (n=215) и здоровых доноров (n=20): a – оптическая плотность сгустка роста сгустка, b – стационарная скорость, c – начальная скорость роста сгустка, d – размер сгустка, e – лаг-период. Здесь и далее в табл. 2, 3, 5: результаты представлены в виде медианы и ИКР (25; 75-й процентиль). *p<0,01; **p<0,001, критерий Манна–Уитни.
Таблица 2. Параметры тромбодинамики у пациентов с COVID-19 Table 2. Parameters of thrombodynamics in the COVID-19 patients | |||||
Группы и подгруппы сравнения | Параметры тромбодинамики | ||||
Стационарная скорость, мкм/мин | Лаг-период, мин | Начальная скорость, мкм/мин | Размер сгустка, мкм | Оптическая плотность сгустка, у.е. | |
А. Пациенты с COVID-19 и здоровые доноры | |||||
Пациенты (n=200) | 25 (18; 32) | 1,3 (1,1; 1,6)*** | 54 (50; 60) | 1103 (901; 1253) | 29 054 (24 911; 32 759)** |
Доноры (n=20) | 28 (26; 30) | 0,9 (0,8; 1,0) | 51 (50; 55) | 1122 (1057; 1175) | 25 764 (21 020; 28 266) |
Б. Зависимость от исхода заболевания | |||||
Благоприятный исход (n=184) | 25,3 (18,2; 32,1) | 1,3 (1,1; 1,5) | 54,7 (49,9; 59,8) | 1108 (917; 1279) | 28 962 (24 756; 31 617) |
Летальный исход (n=16) | 20,1* (15,4; 25,2) | 1,3 (1,1; 1,7) | 50,2 (45,1; 53,2)* | 910 (871; 1055)** | 32 047 (28 315; 34 798)* |
В. Зависимость от тяжести заболевания | |||||
Среднетяжелая форма (n=149) | 25,5 (18,0; 32,2) | 1,3 (1,1; 1,5) | 54,9 (49,9; 59,7) | 1130 (909; 1288) | 29 004 (25 168; 31 518) |
Тяжелая форма (n=51) | 25,5 (18,0; 32,2) | 1,3 (1,2; 1,6) | 52,2 (49,2; 57,8) | 985 (881; 1118)** | 29 481 (24 099; 32 768) |
Г. Зависимость от наличия сопутствующих гемобластозов | |||||
Есть гемобластозы (n=8) | 32,3 (24,9; 35,8)* | 1,1 (0,9; 1,3) | 66,4 (55,8; 68,4)** | 1364 (1109; 1449)** | 26 131 (24 366; 29 378) |
Нет гемобластозов (n=207) | 24,9 (17,0; 31,4) | 1,3 (1,1; 1,6) | 53,9 (49,3; 59,6) | 1098 (894; 1238) | 29 068 (24 982; 31 860) |
Д. Зависимость от уровня СРБ в сыворотке крови | |||||
<10 мг/л (n=23) | 32,1 (21,2; 36,5)* | 1,1 (1,0; 1,2)** | 61,3 (50,9; 66,5)** | 1276 (930; 1408)* | 27 019 (23 249; 29 665)** |
>10 мг/л (n=114) | 23,9 (17,6; 28,7) | 1,3 (1,1; 1,5) | 54,0 (49,8; 58,9) | 1082 (917; 1183) | 30 367 (26 438; 32 593) |
*p<0,05; **p<0,01; ***p<0,001, критерий Манна–Уитни. | |||||
Таблица 3. Параметры ТЭГ и рутинные показатели гемостаза у пациентов с COVID-19 по сравнению со здоровыми донорами Table 3. Thromboelastography and routine laboratory hemostasis parameters in COVID-19 patients and healthy donors | ||
Показатели | Пациенты с COVID-19 (n=215) | Здоровые доноры (n=40) |
Параметры ТЭГ R, мин K, мин Угол αº MA, мм | 5,8 (4,8; 6,8)*** 0,9 (0,8; 1,2)*** 75,6 (70,2; 78,2) 38,6 (33,5; 44,5)*** | 4 (3,5; 4,3) 2,2 (1,3; 4,4) 74,3 (72,1; 76,2) 22,7 (20,4; 25,9) |
Фибриноген, г/л | 5,1 (3,7; 5,9)* | 4,0 (3,4; 4,5) |
D-димер, нг/мл | 709 (431; 1545)*** | 223 (149; 406) |
ПВ, с | 12,0 (11,0; 13,5)*** | 11,0 (10,6; 11,3) |
МНО | 1,02 (0,99; 1,08)** | 0,97 (0,94; 1,04) |
РКФМ (положительный этаноловый тест) | 20% | 0 |
Количество тромбоцитов в крови, ×109/л | 225 (158; 292)* | 247 (220; 300) |
*p<0,01; **p<0,001; ***p<0,0001, критерий Манна–Уитни. | ||
Таблица 4. Корреляционный анализ параметров тромбодинамики с другими лабораторными показателями (достоверные значения коэффициента Спирмена) Table 4. Correlation analysis of the parameters of thrombodynamics and other laboratory parameters (significant Spearman’s coefficient) | |||||
Сопоставляемые лабораторные показатели | Параметры тромбодинамики | ||||
Лаг-период | Начальная скорость | Стационарная скорость | Размер сгустка | Оптическая плотность сгустка | |
ПВ | -0,41** | – | -0,33* | -0,38** | – |
СОЭ | – | – | – | – | 0,48*** |
Количество моноцитов | – | – | – | 0,21** | – |
АСТ | – | – | – | – | 0,31*** |
Общий белок | 0,26** | – | – | – | – |
СРБ | 0,24** | – | – | – | 0,26** |
ИЛ-8 | – | 0,31** | – | 0,25* | – |
*р<0,05; **p<0,01; ***p<0,001. | |||||
Связь тромбодинамики с клиническим течением COVID-19
Показатели тромбодинамики отличались в зависимости от тяжести и исходов заболевания. При летальных исходах наблюдалось снижение начальной и стационарной скорости роста сгустка и уменьшения его размера (см. табл. 2, раздел Б). При тяжелом течении наблюдалось уменьшение размеров сгустка по сравнению со среднетяжелым течением (см. табл. 2, раздел В). Следовательно, при тяжелой форме COVID-19, и особенно при неблагоприятном исходе, показатели тромбодинамики меняются в сторону гипокоагуляции. Это можно объяснить тем, что при выраженном воспалении в крови выше уровень С-реактивного белка (СРБ) и антифосфолипидных антител (АФА), которые замедляют свертывание крови in vitro [11, 12].
Результаты тромбодинамики зависели от сопутствующих заболеваний. Так, на фоне гемобластозов достоверно увеличены начальная и стационарная скорость роста сгустка и его размер (см. табл. 2, раздел Г), что указывает на более выраженную гиперкоагуляцию, чем при изолированной инфекции COVID-19.
Связь тромбодинамики с лабораторными признаками воспаления
Обнаружена положительная корреляция оптической плотности сгустка с маркерами системного воспаления, такими как уровень фибриногена, СРБ и СОЭ, а размер сгустка положительно коррелировал с количеством моноцитов в крови (табл. 4). Обнаружена прямая корреляция между уровнем ИЛ-8 в крови c начальной скоростью и размером сгустка. Повышенный уровень ИЛ-8 в крови сочетался с большей начальной скоростью роста сгустка с медианой 54,4 мкм/мин (ИКР 51,3–58,8) против медианы 49,2 мкм/мин (ИКР 43,5–52,5; p=0,005) при нормальных значения ИЛ-8 (<10 пг/мл).
Увеличение концентрации СРБ>10 мг/л, которое свидетельствует об остром воспалительном процессе, сочетается с уменьшением начальной и стационарной скорости роста сгустка и его размера, а также удлинением лаг-периода (см. табл. 2, раздел Д), т.е. с признаками хронометрической гипокоагуляции. Это совпадает с тем, что СРБ, особенно на фоне гепаринотерапии [13], замедляет свертывание in vitro, связывая и блокируя прокоагулянтные фосфолипиды [14]. Одновременно с ростом СРБ>10 мг/л возрастает оптическая плотность сгустка, отражая гиперпродукцию фибриногена, синтез которого, как и СРБ, стимулируется ИЛ-6 [15]. Приведенные результаты указывают на связь гиперкоагуляции и воспаления у пациентов с COVID-19, подтверждая информативность теста тромбодинамики как интегрального метода, который чувствителен к коагулопатиям, в том числе обусловленным системным воспалением.
Связь гемостатических тестов с тяжестью заболевания и другими проявлениями COVID-19
По данным ТЭГ у пациентов с COVID-19 замедлено время реакции (R), которое аналогично тесту активированного частичного тромбопластинового времени (рис. 2, табл. 3), что соответствует замедлению лаг-периода в тесте тромбодинамики (см. табл. 2, раздел А). Одновременно ускорена полимеризация фибрина (K) и увеличена прочность сгустка (MA) как следствие гиперфибриногенемии (см. рис. 2, табл. 3). Замедление свертывания более выражено у пациентов с неблагоприятным исходом (медиана 6,7 мин, ИКР 6–7,2), чем у выживших (медиана 5,7 мин, ИКР 4,8–6,8; p=0,006).
Рис. 2. Типичные тромбоэластограммы (ТЭГ) пациента с COVID-19 и здорового донора, иллюстрирующие замедление свертывания плазмы крови и увеличение прочности сгустка при COVID-19.
Рутинные тесты выявили повышение уровней фибриногена, D-димера и удлинение ПВ/увеличение МНО (см. табл. 3).
Уровень фибриногена, белка острой фазы, положительно коррелировал с СОЭ (r=0,47; p<0,0001) и уровнем СРБ (r=0,26; p=0,004). Кроме того, содержание фибриногена прямо коррелировало с уровнем аспартатаминотрансферазы – АСТ (r=0,21; p=0,01), а также с количеством тромбоцитов (r=0,25; p=0,001), средним объемом эритроцита (r=0,28; p=0,012) и содержанием гемоглобина в эритроците (r=0,22; p=0,043), что указывает на общие воспалительные стимуляторы синтетической функции печени и гемопоэза, например ИЛ-6.
Повышение D-димера связано с тяжестью заболевания. Так, при средней степени тяжести медиана D-димера была 671 нг/мл (ИКР 414–1250), а при тяжелой форме – 1134 нг/мл (ИКР 502–2111; р=0,018), что значительно превышает верхний предел нормы (500 нг/мл). Уровень D-димера слабо, но достоверно положительно коррелировал с общим количеством лейкоцитов (r=0,14; p=0,048), включая нейтрофилы (r=0,22; p=0,002) и лимфоциты (r=0,25; p=0,0005), что отражает связь внутри- или внесосудистого фибринообразования и системного воспаления. Содержание D-димера находилось в обратной зависимости от уровня гемоглобина (r=-0,23; p=0,002), гематокрита (r=-0,21; p=0,004) и количества эритроцитов (r=-0,25; p=0,0005), указывая на патогенетическую связь коагулопатии, анемии и воспаления.
Этаноловый тест (на РКФМ) был положительным у 20% пациентов с преобладанием у тяжелых (33%) больных по сравнению со среднетяжелыми (16%; p=0,006).
Для пациентов с COVID-19 была характерна умеренная тромбоцитопения (см. табл. 3), которая редко опускалась ниже 100×109/л и не имела клинических проявлений в виде геморрагического диатеза.
Воспалительные и метаболические изменения при COVID-19
Уровни ИЛ-6 и ИЛ-8 были повышены, несмотря на противовоспалительную терапию глюкокортикостероидами и тоцилизумабом – специфическим ингибитором ИЛ-6 (см. табл. 1).
Почти у 20% пациентов концентрация ИЛ-6 была выше нормы (>10 пг/мл) и колебалась от 10 до 337 пг/мл (медиана 57 пг/мл, ИКР 22–231). Уровень ИЛ-6 у пациентов с тяжелым течением (медиана 106 пг/мл, ИКР 11–233) был намного выше, чем у пациентов со средней тяжестью (медиана 11 пг/мл, ИКР 1,2–43; p=0,035). ИЛ-6 положительно коррелировал с D-димером (r=0,32; p=0,005), но находился в обратной зависимости от гемоглобина (r=-0,35; p=0,003), гематокрита (r=-0,36; p=0,002), количества тромбоцитов (r=-0,25; p=0,038) и уровня общего белка в крови (r=-0,29; p=0,029), подтверждая воспалительную природу анемии.
Повышенный уровень ИЛ-8 (>10 пг/мл) выявлен у 77% обследованных и колебался от 10 до 280 пг/мл (медиана 72 пг/мл, ИКР 49–139). Концентрация ИЛ-8 прямо коррелировала с количеством лейкоцитов (r=0,27; p=0,029) и находилась в выраженной обратной зависимости от количества эозинофилов (r=-0,76; p=0,028), вероятно, из-за адгезии эозинофилов на эндотелии под действием ИЛ-8 [16] и/или миграции эозинофилов в ткани по градиенту концентрации хемокина [17]. Пациенты с повышенным уровнем ИЛ-8 имели более высокий D-димер (медиана 882 нг/мл, ИКР 456–1719) по сравнению с пациентами, у которых уровень ИЛ-8 был нормальным (медиана 586 нг/мл, ИКР 293–831; р=0,041).
Биохимические анализы пациентов выявили достоверные отличия от здоровых (табл. 5), которые свидетельствуют о вовлеченности в патологический процесс печени и почек.
Таблица 5. Биохимические параметры у пациентов с COVID-19 в сравнении со здоровыми донорами Table 5. Biochemical tests in COVID-19 patients and healthy donors | ||
Параметры (в скобках указаны референсные значения) | Пациенты с COVID-19 (n=215) | Здоровые доноры (n=40) |
Общий билирубин (5,0–20,5), мкмоль/л | 9,9 (8,6; 11,8)* | 8,0 (5,9; 10,0) |
Аланинаминотрансфераза (4–40), ЕД/л | 34 (21; 54)* | 18 (13; 26) |
АСТ (4–35), ЕД/л | 27 (19; 36)* | 18 (14; 20) |
Белок общий (66–83), г/л | 66 (60; 70)* | 73 (70; 76) |
Мочевина (2,8–8,0), ммоль/л | 6,9 (5,6; 9,5)* | 4,3 (3,6; 5,3) |
Креатинин (44–106), мкмоль/л | 75 (64; 90)* | 86 (76; 97) |
Глюкоза (3,9–6,4), ммоль/л | 7,2 (5,6; 9,0)* | 5,2 (4,8; 5,5) |
*p<0,0001, критерий Манна–Уитни. | ||
Обсуждение
Исследование посвящено гемостатическим расстройствам при COVID-19 в сопоставлении с течением и исходами заболевания, а также с лабораторными признаками воспаления и метаболических нарушений. Важно, что пациенты обследованы на фоне антикоагулянтной и противовоспалительной терапии, которая сгладила лабораторные и клинические симптомы. Несмотря на это, результаты подтверждают, что COVID-19 сопровождается коагулопатией, выраженность которой коррелирует с признаками системного воспаления и органной дисфункции.
Для выявления гемостатических нарушений наряду с традиционными показателями использовали тест тромбодинамики [18], чувствительный как к гипер-, так и к гипокоа- гуляции [19], включая антикоагулянтную терапию [9, 20].
Коагулопатия при COVID-19 протекает преимущественно по типу гиперкоагуляции. Этот вывод основан на повышении уровня D-димера в крови; выраженной и стойкой гиперфибриногенемии; наличии в крови РКФМ; образовании спонтанных сгустков в тесте тромбодинамики; ускорении полимеризации и увеличении прочности сгустков на ТЭГ. Эти лабораторные сдвиги свидетельствуют о внутрисосудистой активации системы гемостаза даже на фоне применения антикоагулянтов. Поскольку D-димер образуется исключительно из фибрина, стабилизированного фактором XIIIa, высокий уровень D-димера указывает на внутрисосудистое отложение фибрина, локальное или распространенное [21].
У некоторых больных наблюдалась парадоксальная гипокоагуляция, которая в отличие от лабораторных признаков гиперкоагуляции имела хронометрический характер. При этом замедление свертывания отчетливо связано с высоким уровнем в крови СРБ (см. табл. 2, раздел Д). Поскольку СРБ обладает антикоагулянтной активностью, связывая прокоагулянтные фосфолипиды [14, 22], он может замедлять свертывание in vitro. Так же действуют АФА, образующиеся при COVID-19 [23], которые вызывают гипокоагуляцию [24], хотя in vivo провоцируют тромбоз, активируя эндотелиоциты и моноциты [25]. Возможно, при выраженном воспалении замедление свертывания отражает высокий уровень СРБ [14] и/или АФА [23], которые маскируют истинную гиперкоагуляцию. Это означает, что хронометрическая гипокоагуляция при COVID-19 не должна препятствовать применению антикоагулянтов.
На связь тромбофилии при COVID-19 с воспалением указывает корреляция коагулопатии с гиперпродукцией ИЛ-6, ИЛ-8, фибриногена, CРБ, нейтрофилезом и моноцитозом. Известно, что цитокиновый шторм ведет к развитию иммунотромбоза с использованием разных механизмов [26–28]. Например, избыток ИЛ-6 индуцирует экспрессию тканевого фактора на моноцитах, макрофагах и эндотелиоцитах, а фактор некроза опухоли α и ИЛ-1 способны подавлять активность антикоагулянтов [29]. Существуют и другие механизмы положительной обратной связи между воспалением и протромботическими изменениями [30], включая такой специфический механизм, как дисфункция ренин-ангиотензиновой системы в результате связывания вируса SARS-CoV-2 с ферментом ACE2 [31].
Тяжесть течения и исходы заболевания также оказались тесно связаны с лабораторными признаками нарушений гемостаза, что позволяет считать коагулопатию важным патогенетическим фактором, который вносит существенный вклад в клиническую картину COVID-19.
Нужно отметить, что наблюдаемые нами гиперфибриногенемия, умеренная тромбоцитопения и незначительное замедление свертывания не дают оснований для вывода о коагулопатии потребления и синдроме диссеминированного внутрисосудистого свертывания. Очевидно, при среднетяжелом и тяжелом, но не критическом состоянии пациентов повышение уровня D-димера в крови является признаком локального или регионального микротромбоза с реактивным фибринолизом. Если синдром диссеминированного внутрисосудистого свертывания и развивается при COVID-19, то в предтерминальной стадии в сочетании с прогрессирующей полиорганной недостаточностью [8].
Конфликт интересов. Авторы заявляют об отсутствии конфликта интересов.
Conflict of interests. The authors declare no conflict of interest.
Благодарности. Авторы выражают благодарность компании ООО «ГемаКор» (Москва) за предоставление реактивов и расходных материалов, а также регистратора тромбодинамики, использованного в данной работе.
Acknowledgments. We thank the HemaCore Ltd. Company (Moscow) for providing reagents and supplies as well as the Thrombodynamics Analyzer System used in this study.
Финансирование. Работа выполнена за счет программы стратегического академического лидерства ФГАОУ ВО КФУ и грантов Российского фонда фундаментальных исследований 19-015-00075, 18-415-160004 и Российского научного фонда 21-45-00012, 21-75-00010.
Funding source. This work was supported by the Strategic Academic Leadership (Priority 2030) at the Kazan Federal University`s Program, and the Russian Foundation for Basic Research grants 19-015-00075, 18-415-160004, 20-015-00257, and the Russian Science Foundation grants 21-45-00012, 21-75-00010.
Список сокращений
АСТ – аспартатаминотрансфераза
АФА – антифосфолипидные антитела
ИКР – интерквартильный размах
ИЛ – интерлейкин
МНО – международное нормализованное отношение
НМГ – низкомолекулярный гепарин
ПВ – протромбиновое время
РКФМ – растворимый комплекс фибрин-мономера
СРБ – С-реактивный белок
ТЭГ – тромбоэластография
About the authors
Natalia G. Evtugina
Kazan Federal University
Email: natalja.evtugyna@gmail.com
ORCID iD: 0000-0002-4950-3691
мл. науч. сотр.
Russian Federation, KazanSvetlana S. Sannikova
City Hospital №16
Email: natalja.evtugyna@gmail.com
ORCID iD: 0000-0002-0668-1877
врач
Russian Federation, KazanAlina D. Peshkova
Kazan Federal University
Email: natalja.evtugyna@gmail.com
ORCID iD: 0000-0002-8790-1818
канд. биол. наук, науч. сотр. Института фундаментальной медицины и биологии
Russian Federation, KazanSvetlana I. Safiullina
Kazan Federal University; Medical Center “Aibolit”
Email: natalja.evtugyna@gmail.com
ORCID iD: 0000-0003-4657-0140
канд. мед. наук, ст. науч. сотр. Института фундаментальной медицины и биологии, врач-гематолог
Russian Federation, KazanIzabella A. Andrianova
Kazan Federal University
Email: natalja.evtugyna@gmail.com
ORCID iD: 0000-0003-3973-3183
канд. биол. наук, науч. сотр. Института фундаментальной медицины и биологии
Russian Federation, KazanGulzada R. Tarasova
Kazan Federal University
Email: natalja.evtugyna@gmail.com
ORCID iD: 0000-0003-3599-1599
врач клиники ФГАОУ ВО КФУ
Russian Federation, KazanAlina I. Khabirova
Kazan Federal University
Email: natalja.evtugyna@gmail.com
ORCID iD: 0000-0002-7243-8832
мл. науч. сотр. Института фундаментальной медицины и биологии
Russian Federation, KazanAleksandr G. Rumyantsev
Dmitry Rogachev National Medical Research Center of Pediatric Hematology
Email: natalja.evtugyna@gmail.com
ORCID iD: 0000-0002-1643-5960
акад. РАН, д-р мед. наук, проф., президент ФГБУ «НМИЦ ДГОИ им. Дмитрия Рогачева»
Russian Federation, MoscowFazoil I. Ataullakhanov
Dmitry Rogachev National Medical Research Center of Pediatric Hematology, Oncology and Immunology; Center for Theoretical Problems of Physico-Chemical Pharmacology
Email: natalja.evtugyna@gmail.com
ORCID iD: 0000-0002-6668-0948
чл.-кор. РАН, д-р биол. наук, проф., науч. рук. ФГБУН ЦТП ФХФ РАН, зав. отд. биофизики и системной биологии и лабораторией биофизики ФГБУ «НМИЦ ДГОИ им. Дмитрия Рогачева
Russian Federation, MoscowRustem I. Litvinov
Kazan Federal University
Author for correspondence.
Email: natalja.evtugyna@gmail.com
ORCID iD: 0000-0003-0643-1496
д-р мед. наук, проф., гл. науч. сотр. Института фундаментальной медицины и биологии
Russian Federation, KazanReferences
- Tal S, Spectre G, Kornowski R, Perl L. Venous Thromboembolism Complicated with COVID-19: What Do We Know so Far? Acta Haematol. 2020;143(5):417-24. doi: 10.1159/000508233
- Лобастов К.В., Счастливцев И.В., Порембская О.Я., и др. COVID-19-ассоциированная коагулопатия: обзор современных рекомендаций по диагностике, лечению и профилактике. Амбулаторная хирургия. 2020;(3–4):36-51 [Lobastov KV, Schastlivtsev IV, Porembskaya OYa, et al. COVID-19-associated coagulopathy: review of current recommendations for diagnosis, treatment and prevention. Ambulatory surgery. 2020;(3–4):36-51 (in Russian)]. doi: 10.21518/1995-1477-2020-3-4-36-51
- Арутюнов Г.П., Козиолова Н.А., Тарловская Е.И., и др. Согласованная позиция экспертов Евразийской ассоциации терапевтов по некоторым новым механизмам патогенеза COVID-19: фокус на гемостаз, вопросы гемотрансфузии и систему транспорта газов крови. Кардиология. 2020;60(5):9-19 [Arutyunov GP, Koziolova NA, Tarlovskaya EI, et al. The Agreed Experts’ Position of the Eurasian Association of Therapists on Some new Mechanisms of COVID-19 Pathways: Focus on Hemostasis, Hemotransfusion Issues and Blood gas Exchange. Kardiologiia. 2020;60(5):9-19 (in Russian)]. doi: 10.18087/cardio.2020.5.n1132
- Явелов И.С., Драпкина О.М. COVID-19: состояние системы гемостаза и особенности антитромботической терапии. Кардиоваскулярная терапия и профилактика. 2020;19(3):2571 [Yavelov IS, Drapkina OM. COVID-19: hemostatic parameters and specifics of antithrombotic treatment. Cardiovascular therapy and prevention. 2020;19(3):2571 (in Russian)]. doi: 10.15829/1728-8800-2020-2571
- Paranjpe I, Fuster V, Lala A, et al. Association of Treatment Dose Anticoagulation With In-Hospital Survival Among Hospitalized Patients With COVID-19. J Am Coll Cardiol. 2020;76(1):122-4. doi: 10.1016/j.jacc.2020.05.001
- Thachil J, Tang N, Gando S, et al. ISTH interim guidance on recognition and management of coagulopathy in COVID-19. J Thromb Haemost. 2020;18(5):1023-6. doi: 10.1111/jth.14810
- Сафиуллина С.И., Литвинов Р.И. Рекомендации по профилактике и коррекции тромботических осложнений при COVID-19. Казанский медицинский журнал. 2020;101(4):485-8 [Safiullina SI, Litvinov RI. Recommendations for the prevention and correction of thrombotic complications in COVID-19. Kazanskiy meditsinskiy zhurnal. 2020;101(4):485-8 (in Russian)]. doi: 10.17816/KMJ2020-485
- Временные методические рекомендации. Профилактика, диагностика и лечение новой коронавирусной инфекции (COVID-19). Министерство здравоохранения РФ. Версия 9 (26.10.2020). Режим доступа: https://static-0.minzdrav.gov.ru/system/attachments/attaches/000/052/548/original/%D0%9C%D0%A0_COVID-19_%28v.9%29.pdf?1603730062. Ссылка активна на 18.11.2020 [Temporary guidelines. Prevention, diagnosis and treatment of the new coronavirus infection (COVID-19). Ministry of Health of the Russian Federation. Version 9 (26.10.2020). Available at: https://static-0.minzdrav.gov.ru/system/attachments/attaches/000/052/548/original/%D0%9C%D0%A0_COVID-19_%28v.9%29.pdf?1603730062. Accessed: 18.11.2020 (in Russian)].
- Sinauridze EI, Vuimo TA, Tarandovskiy ID, et al. Thrombodynamics, a new global coagulation test: Measurement of heparin efficiency. Talanta. 2018;180:282-91. doi: 10.1016/j.talanta.2017.12.055
- Breen FA Jr, Tullis JL. Ethanol gelation test improved. Ann Intern Med. 1969;71(2):433-4. doi: 10.7326/0003-4819-71-2-433_2
- Bowles L, Platton S, Yartey N, et al. Lupus Anticoagulant and Abnormal Coagulation Tests in Patients with Covid-19. N Engl J Med. 2020;383(3):288-90. doi: 10.1056/nejmc2013656
- Van Rossum AP, Vlasveld LT, van den Hoven LJM, et al. False prolongation of the activated partial thromboplastin time (aPTT) in inflammatory patients: Interference of C-reactive protein. Br J Haematol. 2012;157(3):394-5. doi: 10.1111/j.1365-2141.2011.08990.x
- Thaker A, Chandler W. Prolongation of PTT by CRP Is Magnified in the Setting of Heparin and Warfarin Therapy. Am J Clin Pathol. 2016;147(Suppl. 2):S153. doi: 10.1093/ajcp/aqw191.004
- Devreese KMJ, Verfaillie CJ, De Bisschop F, Delanghe JR. Interference of C-reactive protein with clotting times. Clin Chem Lab Med. 2015;53(5):e141-5. doi: 10.1515/cclm-2014-0906
- Zlatko D. The Cytokines of the Immune System: The Role of Cytokines in Disease Related to Immune Response. Academic Press; 1st edition (June 16, 2015); 2015.
- Ulfman LH, Joosten DPH, van der Linden JAM, et al. IL-8 Induces a Transient Arrest of Rolling Eosinophils on Human Endothelial Cells. J Immunol. 2001;166(1):588-95. doi: 10.4049/jimmunol.166.1.588
- Erger RA, Casale TB. Interleukin-8 is a potent mediator of eosinophil chemotaxis through endothelium and epithelium. Am J Physiol. 1995;268(1 Pt. 1):L117-22. doi: 10.1152/ajplung.1995.268.1.L117
- Tuktamyshov R, Zhdanov R. The method of in vivo evaluation of hemostasis: Spatial thrombodynamics. Hematology. 2015;20(10):584-6. doi: 10.1179/1607845415Y.0000000022
- Balandina AN, Koltsova EM, Teterina TA, et al. An enhanced clot growth rate before in vitro fertilization decreases the probability of pregnancy. PLoS One. 2019;14(5):1-19. doi: 10.1371/journal.pone.0216724
- Balandina AN, Serebriyskiy II, Poletaev AV, et al. Thrombodynamics – A new global hemostasis assay for heparin monitoring in patients under the anticoagulant treatment. PLoS One. 2018;13(6):1-18. doi: 10.1371/journal.pone.0199900
- Bates S. D-dimer assays in diagnosis and management of thrombotic and bleeding disorders. Semin Thromb Hemost. 2012;38(7):673-82. doi: 10.1055/s-0032-1326782
- Borghi MO, Beltagy A, Garrafa E, et al. Anti-Phospholipid Antibodies in COVID-19 Are Different From Those Detectable in the Anti-Phospholipid Syndrome. Front Immunol. 2020;11:584241. doi: 10.3389/fimmu.2020.584241
- Zhang Y, Xiao M, Zhang S, et al. Coagulopathy and Antiphospholipid Antibodies in Patients with Covid-19. N Engl J Med. 2020;382(17):e38. doi: 10.1056/NEJMc2007575
- Dalal KS, Bridgeman MB. Cardiovascular drugs. Nursing (Lond). 2017;47(11):63. doi: 10.1097/01.nurse.0000524762.35753.23
- Близнюков О.П., Козмин Л.Д., Мартынов А.И., и др. С-реактивный белок удлиняет время свертывания крови. Научно-практическая ревматология. 2003;16-20 [Bliznyukov OP, Kozmin LD, Martynov AI, et al. C-reactive protein lengthens blood clotting time. Nauchno-prakticheskaya revmatologiya. 2003;16-20 (in Russian)]
- Wu W, Xie X, Yin W, et al. Clinical features of patients infected with 2019 novel coronavirus in Wuhan, China. Lancet. 2020;15;395(10223):497-506. doi: 10.1016/S0140-6736(20)30183-5
- Ranucci M, Ballotta A, Di Dedda U, et al. The procoagulant pattern of patients with COVID-19 acute respiratory distress syndrome. J Thromb Haemost. 2020;18(7):1747-51. doi: 10.1111/jth.14854
- Nasonov EL, Beketova TV, Reshetnyak TM, et al. Coronavirus disease 2019 (covid-19) and immune-mediated inflammatory rheumatic diseases: At the crossroads of thromboinflammation and autoimmunity. Nauchno-prakticheskaya revmatologiya. 2020;58(4):353-67. doi: 10.47360/1995-4484-2020-353-367
- Mehta P, McAuley DF, Brown M, et al. COVID-19: consider cytokine storm syndromes and immunosuppression. Lancet. 2020;395(10229):1033-4. doi: 10.1016/S0140-6736(20)30628-0
- Gu SX, Tyagi T, Jain K, et al. Thrombocytopathy and endotheliopathy: crucial contributors to COVID-19 thromboinflammation. Nat Rev Cardiol. 2020;2. doi: 10.1038/S41569-020-00469-1
- Sriram K, Insel PA. Inflammation and thrombosis in COVID-19 pathophysiology: Proteinase-activated and purinergic receptors as drivers and candidate therapeutic targets. Physiol Rev. 2021;101(2):545-67. doi: 10.1152/physrev.00035.2020
Supplementary files





