Informativeness estimation for the main clinical and laboratory parameters in patients with severe COVID-19
- Authors: Stanevich O.V.1, Bakin E.A.1, Korshunova A.A.1, Gudkova A.Y.1, Afanasev A.A.1, Shlyk I.V.1, Lioznov D.A.1, Polushin Y.S.1, Kulikov A.N.1
-
Affiliations:
- Pavlov First Saint Petersburg State Medical University
- Issue: Vol 94, No 11 (2022)
- Pages: 1225-1233
- Section: Editorial article
- Submitted: 22.06.2021
- Published: 26.12.2022
- URL: https://ter-arkhiv.ru/0040-3660/article/view/71610
- DOI: https://doi.org/10.26442/00403660.2022.11.201941
- ID: 71610
Cite item
Full Text
Abstract
Aim. To conduct a retrospective assessment of the clinical and laboratory data of patients with severe forms of COVID-19 hospitalized in the intensive care and intensive care unit, in order to assess the contribution of various indicators to the likelihood of death.
Materials and methods. A retrospective assessment of data on 224 patients with severe COVID-19 admitted to the intensive care unit was carried out. The analysis included the data of biochemical, clinical blood tests, coagulograms, indicators of the inflammatory response. When transferring to the intensive care units (ICU), the indicators of the formalized SOFA and APACHE scales were recorded. Anthropometric and demographic data were downloaded separately.
Results. Analysis of obtained data, showed that only one demographic feature (age) and a fairly large number of laboratory parameters can serve as possible markers of an unfavorable prognosis. We identified 12 laboratory features the best in terms of prediction: procalcitonin, lymphocytes (absolute value), sodium (ABS), creatinine, lactate (ABS), D-dimer, oxygenation index, direct bilirubin, urea, hemoglobin, C-reactive protein, age, LDH. The combination of these features allows to provide the quality of the forecast at the level of AUC=0.85, while the known scales provided less efficiency (APACHE: AUC=0.78, SOFA: AUC=0.74).
Conclusion. Forecasting the outcome of the course of COVID-19 in patients in ICU is relevant not only from the position of adequate distribution of treatment measures, but also from the point of view of understanding the pathogenetic mechanisms of the development of the disease.
Keywords
Full Text
Список сокращений
АСТ – аспартатаминотрансфераза
АЧТВ – активированное частичное тромбопластиновое время
КТ – компьютерная томография
ЛДГ – лактатдегидрогеназа
ОРДС – острый респираторный дистресс-синдром
ОРИТ – отделение реанимации и интенсивной терапии
ПЦР – полимеразная цепная реакция в реальном времени с обратной транскрипцией
СРБ – С-реактивный белок
RF (random forest) – метод «случайного леса»
Введение
Две тысячи двадцатый год ознаменовался появлением новой глобальной проблемы, касающейся не только системы здравоохранения, но и всего человечества в целом: пандемия новой коронавирусной инфекции COVID-19, вызываемой ранее неизвестным β-коронавирусом SARS-CoV-2, и ассоциированной с ней вирусной пневмонией с возможным осложнением в виде острого респираторного дистресс-синдрома (ОРДС). Особые проблемы возникают с обеспечением интенсивной терапии при тяжелых формах заболевания и при массовом поступлении пациентов, поскольку во многих странах ресурсы специализированных отделений не рассчитаны на продолжительную работу в чрезвычайных ситуациях. Принятие решения о госпитализации больного в отделение реанимации и интенсивной терапии (ОРИТ) для каждого больного связано со своевременной и объективной оценкой тяжести течения болезни и рисков неблагоприятных исходов. Кроме того, подобная оценка необходима для определения показаний к назначению той или иной терапии (антицитокиновой, антибактериальной и пр.). В связи с этим актуальным становится вопрос выявления предикторов перевода больных COVID-19 в ОРИТ и вероятности их летального исхода.
Так, J. Xu и соавт. [1] проанализированы данные пациентов из 3 госпиталей в г. Ухань, Китай, где впервые зафиксирована вспышка новой коронавирусной инфекции. В исследование включены 239 пациентов, переведенных в ОРИТ, которым в силу тяжести состояния потребовалось использование инвазивной вентиляции легких, неинвазивной вентиляции легких или высокопоточной оксигенации через назальные канюли. При оценке 60-дневной летальности и ее предикторов выяснилось, что после перевода в ОРИТ умерли 147 (61,5%) больных. У умерших закономерно чаще верифицировали развитие ОРДС, острого повреждения миокарда, печени, почек и коагулопатии. Независимыми предикторами летальности явились следующие факторы: возраст старше 65 лет, количество тромбоцитов менее 125×109/л на момент поступления в ОРИТ, а также развитие ОРДС и острого повреждения почек.
J. Izquierdo и соавт. [2] исследовали факторы риска перевода в ОРИТ у 630 пациентов с подтвержденной ПЦР-тестом (полимеразная цепная реакция в реальном времени с обратной транскрипцией) коронавирусной пневмонией. У 48 больных, переведенных в ОРИТ, наиболее частыми коморбидными состояниями стали: сахарный диабет, ожирение, артериальная гипертензия, ишемическая болезнь сердца, хроническая болезнь почек. Исследователи выявили, что такие факторы, как возраст старше 56 лет, температура тела более 39,0°С и частота дыхательных движений более 20 в минуту, оказались основными предикторами перевода.
Итальянские исследователи во главе с S. Abate [3] проанализировали данные 37 исследований, охватывающих 24 983 больных с подтвержденными COVID-19, тяжелым острым респираторным синдромом или ближневосточным респираторным синдромом. Они установили, что перевод в ОРИТ в связи с тяжестью состояния понадобился 26% больных COVID-19, 31% которых умерли. Присоединение ОРДС увеличивало летальность в 2 раза. Возраст старше 50 лет повышал вероятность смерти на 13%, а наличие любой сопутствующей патологии – на 39%.
По данным Международного европейского регистра RISC-19-ICU, летальность среди 639 пациентов с лабораторно подтвержденной SARS-CoV-2 инфекцией (ПЦР-тестом) тяжелого течения, переведенных в ОРИТ, составила 26% [4]. Независимыми предикторами летальности при нахождении в ОРИТ выступали: уровень креатинина плазмы, D-димера лактата и калия, индекс оксигенации и альвеолярно-артериальный градиент, а также наличие сопутствующей патологии в виде ишемической болезни сердца.
Таким образом, летальность больных COVID-19 высока, а исследования, направленные на прогнозирование исходов лечения, весьма немногочисленны, их дизайн неоднороден, а результаты трудно сопоставимы.
Настоящее исследование посвящено оценке факторов развития летального исхода и его прогнозированию у больных тяжелыми формами COVID-19, находящихся в ОРИТ.
Материалы и методы
Исходные данные
Проведен ретроспективный анализ данных 224 пациентов с тяжелым течением COVID-19, госпитализированных в отделение интенсивной терапии клиники ФГБОУ ВО «Первый СПбГМУ им. акад. И.П. Павлова» в период с 27 апреля по 3 августа 2020 г. Диагноз COVID-19 подтвержден методом ПЦР на SARS-CoV-2 и/или данными компьютерной томографии (КТ) органов грудной клетки. Госпитализация осуществлялась на основании анамнестических, клинических, вирусологических и рентгенологических данных. Перевод в ОРИТ осуществлялся на основании суммы баллов шкалы NEWS и/или шкалы SOFA, с учетом степени дыхательной недостаточности и потребности в респираторной поддержке, а также данных КТ органов грудной клетки (степень поражения КТ-3/4).
При отсутствии признаков дыхательной недостаточности перевод в ОРИТ осуществляли при дисфункции других органов и систем, угрожающих жизни и требующих подключения методов интенсивной терапии (острое поражение почек, острая печеночная недостаточность, острый коронарный синдром и пр.). Из анализа исключены 13 пациентов в связи с тем, что тяжесть их состояния прежде всего определялась прогрессией сопутствующих заболеваний. В итоговый анализ включены 211 больных (рис. 1).
Рис. 1. Схема исследования. / Fig. 1. Research scheme.
Источники данных
Данные пациентов хранились в медицинской информационной системе QMS SPARM, в которой имеется отдельный набор функций для извлечения данных в табличном виде. В анализ взяты данные биохимического, клинического анализов крови, коагулограммы, показатели воспалительного ответа – эти группы данных оценивались в лаборатории при помощи автоматических анализаторов, ответы фиксировались в Медицинской информационной системе сотрудниками лабораторной службы. Также при переводе в ОРИТ фиксировались показатели формализованных шкал оценки SOFA и APACHE по данным мониторирования жизненно важных показателей. Отдельно выполнена выгрузка антропометрических и демографических данных.
Полученные выгрузки вручную проверялись на присутствие аномальных значений. Для каждого показателя взяты значения, ближайшие по дате ко дню перевода в ОРИТ, но при этом отстоящие от этой даты не более чем на 1 сут. В случае отсутствия результатов в указанных временных рамках ячейка оставалась пустой. В дальнейший анализ приняты только те пациенты, у которых зафиксировано хотя бы одно непустое значение из каждой группы показателей.
Основная цель исследования – оценить информационную значимость различных показателей при прогнозировании вероятности летального исхода у больных COVID-19, а также объединить их в прогностический индекс для непрерывного мониторинга текущего состояния пациента.
Статистический анализ
Статистическая обработка данных производилась в системе компьютерной математики R версии 3.6.2 [5]. Для приведения количественных переменных к единому диапазону значений выполнено шкалирование, основанное на стандартной процедуре вычисления z-статистики (вычитание среднего арифметического и деление на выборочное стандартное отклонение) [6]. Все p-значения сравнивались со стандартным порогом 0,05.
Группы выживших и умерших пациентов сравнивались между собой по каждому из рассматриваемых признаков при помощи теста Манна–Уитни–Уилкоксона [7]. Те признаки, для которых различия между группами выявлены как статистически значимые, отобраны для дальнейшего анализа. Для оценки взаимосвязи отобранных признаков построена их корреляционная матрица по методу Спирмена [8, 9].
Для предсказания исхода (смерть/выписка) применены следующие алгоритмы статистического предсказания: логистическая регрессия [10], метод «случайного леса» [11], метод k-ближайших соседей, метод опорных векторов, метод повышения градиента [12]. Пропущенные значения в данных, если таковые имелись, заменялись на медианное значение соответствующего показателя в общей выборке пациентов. Проверка результатов алгоритмов проводилась с помощью 10-кратной кросс-валидации [13].
Для наилучшего с точки зрения площади под кривой (AUC) классификатора проведено упорядочивание признаков согласно их информативности. Из данного списка выбирались первые n признаков, обеспечивающих максимальный AUC. Анализ проводился средствами библиотеки caret [14]. Все графики построены при помощи библиотеки ggplot2 [15, 16]. Корреляционная матрица визуализировалась средствами библиотеки pheatmap [17].
Результаты
Характеристика когорты
На рис. 1 приведена диаграмма проводимого исследования. График конкурирующих рисков для событий «выписка» и «смерть» в популяции больных, поступивших в ОРИТ, приведен на рис. 2. Результирующая летальность, достигаемая к 29-му дню пребывания в ОРИТ, составила 39,7% (95% доверительный интервал 29,0–54,3%). Значимых различий по распределению видов антицитокиновой терапии, применявшихся перед поступлением в ОРИТ, между выжившими и умершими пациентами не выявлено.
Рис. 2. Графики кумулятивной инцидентности для событий «улучшение» («выписка») и «смерть» в популяции больных, поступивших в ОРИТ (n=211). / Fig. 2. Graphs of cumulative incidence for events "improvement" ("discharge") and "death" in the population of patients admitted to the department of intensive care and intensive care (n=211).
Анализ показателей больных на момент поступления в ОРИТ
Сравнение основных показателей между группами выживших и умерших пациентов представлено в табл. 1. Необходимо отметить, что умершие пациенты оказались старше, имели более высокие уровни числа нейтрофилов, D-димера, активированного частичного тромбопластинового времени (АЧТВ), мочевины, креатинина, тропонина, прокальцитонина, С-реактивного белка (СРБ), лактатдегидрогеназы (ЛДГ), аспартатаминотрансферазы (АСТ), глюкозы, натрия и лактата в периферической крови и более низкие уровни числа лимфоцитов, тромбоцитов, гемоглобина и индекса оксигенации. Для демонстрации взаимосвязи всех статистически значимо различающихся признаков из табл. 1 построена корреляционная матрица (рис. 3). При анализе корреляционной матрицы можно выделить следующие группы коррелирующих друг с другом признаков:
- Возраст, мочевина, креатинин, прокальцитонин, лейкоциты, нейтрофилы, гемоглобин.
- D-димер, АСТ, активированное частичное тромбопластиновое время (АЧТВ), лактат.
- СРБ, индекс оксигенации, ЛДГ.
Таблица 1. Характеристика группы / Table 1. Characteristics of the group
Показатель | Вся группа пациентов (n=211) | Выписавшиеся пациенты (n=131) | Умершие пациенты (n=80) | ||||||||||
медиана | IQR | n | m* | медиана | IQR | n | m* | медиана | IQR | n | m* | p | |
Общие параметры | |||||||||||||
Возраст | 67 | [58; 75] | 211 | 0 | 64 | [54; 72] | 131 | 0 | 72 | [61; 81] | 80 | 0 | <0,001 |
Длительность госпитализации, дни | 14 | [9; 21] | 211 | 0 | 17 | 131 | 0 | 9 | 80 | 0 | <0,001 | ||
Клинический анализ крови | |||||||||||||
Гемоглобин, г/л | 128,7 | 211 | 0 | 132 | 131 | 0 | 123,25 | 80 | 0 | 0,012 | |||
Тромбоциты, 109/л | 223,8 | 211 | 0 | 236,5 | 131 | 0 | 213,62 | 80 | 0 | 0,045 | |||
Лейкоциты, 109/л | 8,07 | 211 | 0 | 7,19 | 131 | 0 | 9,42 | 80 | 0 | <0,001 | |||
Нейтрофилы, 109/л | 6,42 | 211 | 0 | 5,65 | 131 | 0 | 7,96 | 80 | 0 | <0,001 | |||
Лимфоциты, 109/л | 0,82 | 211 | 0 | 0,91 | 131 | 0 | 0,7 | 80 | 0 | <0,001 | |||
Моноциты, 109/л | 0,37 | 211 | 0 | 0,38 | 131 | 0 | 0,37 | 80 | 0 | 0,79 | |||
Биохимический анализ крови | |||||||||||||
АЛТ, Е/л | 35,5 | 208 | 3 | 33,7 | 128 | 3 | 36,5 | 80 | 0 | 0,86 | |||
АСТ, Е/л | 54 | 208 | 3 | 50,75 | 128 | 3 | 65,75 | 80 | 0 | <0,001 | |||
Билирубин общий, /мкмоль/л | 11,3 | 207 | 4 | 10,65 | 127 | 4 | 12,18 | 80 | 0 | 0,076 | |||
Билирубин прямой, мкмоль/л | 3,37 | 205 | 6 | 3 | 126 | 5 | 4,95 | 79 | 1 | 0,0011 | |||
Общий белок, г/л | 64,33 | [60; 68] | 205 | 6 | 65 | 126 | 5 | 63,67 | 79 | 1 | 0,082 | ||
Амилаза, Е/л | 56 | 205 | 6 | 53,5 | 127 | 4 | 56,75 | 78 | 2 | 0,28 | |||
Глюкоза, ммоль/л | 7,55 | 205 | 6 | 7,14 | 126 | 5 | 8,59 | 79 | 1 | <0,001 | |||
Калий, ммоль/л | 4,1 | 207 | 4 | 4,1 | 128 | 3 | 4,1 | 79 | 1 | 0,65 | |||
Натрий, ммоль/л | 139,5 | 206 | 5 | 139,3 | 127 | 4 | 140,7 | 79 | 1 | 0,019 | |||
Креатинин, ммоль/л | 0,09 | 207 | 4 | 0,09 | 127 | 4 | 0,11 | 80 | 0 | <0,001 | |||
Мочевина, ммоль/л | 7,85 | 205 | 6 | 6,45 | 126 | 5 | 10,4 | 79 | 1 | <0,001 | |||
Тропонин I, нг/мл | 0,01 | 152 | 59 | 0,01 | 89 | 42 | 0,02 | 63 | 17 | <0,001 | |||
Лабораторные показатели воспалительной реакции | |||||||||||||
СРБ, мг/л | 120,6 | 208 | 3 | 109,33 | 130 | 1 | 163,31 | 78 | 2 | <0,001 | |||
Прокальцитонин, мкг/л | 0,27 | 203 | 8 | 0,16 | 124 | 7 | 0,53 | 79 | 1 | <0,001 | |||
Ферритин, мкг/л | 671 | 74 | 137 | 651 | 51 | 80 | 775 | 23 | 57 | 0,051 | |||
ЛДГ, Е/л | 440,5 | 152 | 59 | 411 | [334; 502] | 97 | 34 | 535 | 55 | 25 | <0,001 | ||
Параметры коагуляции | |||||||||||||
Фибриноген, г/л | 6,2 | 197 | 14 | 6,05 | 122 | 9 | 6,23 | 75 | 5 | 0,67 | |||
АПТВ (АЧТВ), с | 38,3 | 211 | 0 | 36,05 | 131 | 0 | 41,22 | 80 | 0 | 0,006 | |||
D-димер, мкг/л (FEU) | 1123 | 184 | 27 | 887,75 | 112 | 19 | 1708,92 | 72 | 8 | <0,001 | |||
Исследование газов артериальной крови | |||||||||||||
Калий (КОС), ммоль/л | 3,8 | 211 | 0 | 3,81 | 131 | 0 | 3,83 | 80 | 0 | 0,17 | |||
Натрий (КОС), ммоль/л | 134,8 | [132; 137] | 211 | 0 | 134,5 | [132; 136] | 131 | 0 | 136,48 | [133; 138] | 80 | 0 | 0,0015 |
Глюкоза (КОС), ммоль/л | 7,6 | 210 | 1 | 7,07 | 130 | 1 | 8,83 | 80 | 0 | <0,001 | |||
Лактат (КОС), ммоль/л | 1,5 | 211 | 0 | 1,34 | 131 | 0 | 1,75 | 80 | 0 | <0,001 | |||
Индекс оксигенации | 187 | [132; 246] | 211 | 0 | 203,3 | [153; 258] | 131 | 0 | 148 | [109; 205] | 80 | 0 | <0,001 |
Примечание. АЛТ – аланинаминотрансфераза, *число пациентов с отсутствующими анализами в окрестности суток относительно дня перевода в ОРИТ.
Рис. 3. Корреляционная матрица статистически значимо различающихся между группами признаков. Примечание. Ячейки, отвечающие за признаки, коэффициент корреляции которых оказался не значим, забелены. / Fig. 3. Correlation matrix for the features with statistically significant difference between groups.
ROC-анализ предварительно отобранных показателей
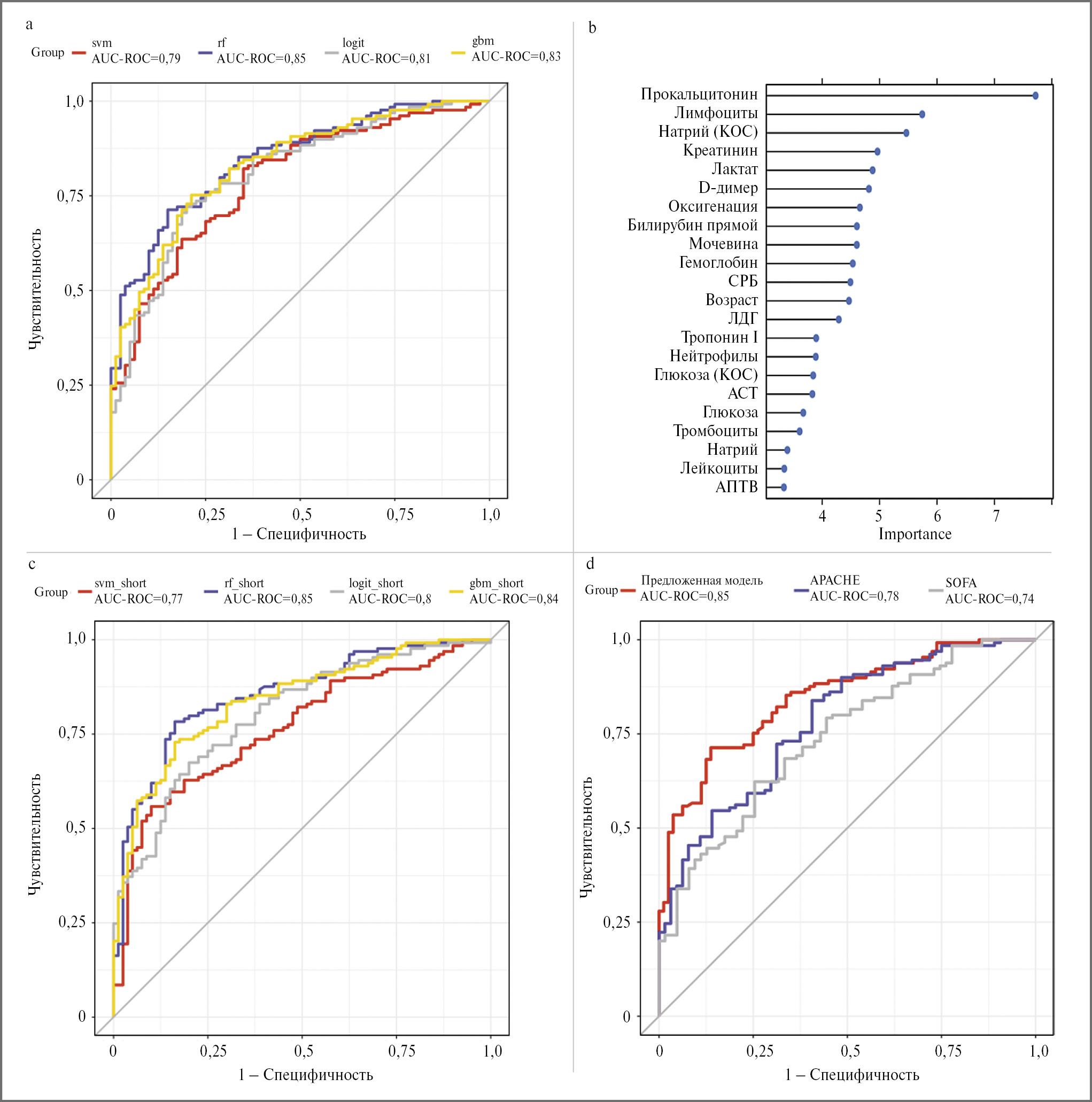
На основе исходного набора признаков построено несколько прогностических моделей, основанных на различных алгоритмах статистического предсказания. Результирующие ROC-кривые приведены на рис. 4. Как следует из рис. 4, а, наилучший с точки зрения AUC результат, равный 0,85, продемонстрирован классификатором на основе метода «случайного леса» (random forest – rf), тот же результат продемонстрирован при использовании для прогнозирования «лучших» 12 признаков, включавших: уровень прокальцитонина, абсолютное число лимфоцитов, уровни натрия (КОС), креатинина, лактата (КОС), D-димера, величину индекса оксигенации, уровни прямого билирубина, мочевины, гемоглобина, СРБ, возраст и уровень ЛДГ.
Рис. 4. Анализ клинико-лабораторных признаков: а – ROC-анализ полного набора признаков (наилучший результат у метода rf); b – ранжированный по информативности список признаков; с – ROC-анализ 12 наиболее информативных признаков – наилучший результат у rf short; d – сравнения со шкалами SOFA и APACHE. / Fig. 4. Analysis of clinical and laboratory features: a – ROC analysis for the complete set of features; b – the list of features ranked by importance; c – ROC analysis for the 12 most important features; c – comparisons with the SOFA and APACHE scores.
Обсуждение
Тяжелое, зачастую непредсказуемое течение инфекции COVID-19 характеризуется высокой летальностью пациентов, поступающих в ОРИТ (24,7–61,5%) [18]. Наши данные о летальности в ОРИТ (39,7%) близки к результатам других наблюдений, попадая примерно в середину довольно широкого диапазона. Несмотря на различие систем общественного здравоохранения, можно полагать, что в ОРИТ сосредоточены наиболее тяжелые пациенты, что обусловливает необходимость создания универсальной модели прогноза болезни при ее тяжелом и критическом течении.
Дополнительным стимулом служат сомнения некоторых исследователей в надежности классической шкалы SOFA по отношению к больным COVID-19, у которых поражение легких преобладает над мультиорганными расстройствами [19].
Существует несколько подходов к выбору исходных данных для формирования прогностических моделей, это могут быть демографические и антропометрические данные, клинические симптомы, коморбидность и данные лабораторных и инструментальных исследований [20]. В нашем случае с целью максимальной объективизации результатов для анализа использовались только те данные пациентов, которые доступны для выгрузки из медицинской информационной системы. Это в первую очередь демографические, антропометрические данные и результаты лабораторных исследований. Данные о коморбидности и клинических проявлениях заболевания не подвергались итоговой обработке, что потенциально могло снизить точность прогноза. Однако на практике увеличение количества исходных данных не всегда приводит к повышению качества прогностической модели. Так, H. Zhang и соавт. при попытке прогнозирования неблагоприятного исхода и смерти у больных COVID-19 нашли, что наиболее удачной оказалась модель, включавшая только демографические данные и результаты лабораторных исследований [21].
В ходе анализа наших данных оказалось, что лишь один демографический признак (возраст) и довольно большое количество лабораторных показателей могут служить в качестве возможных маркеров неблагоприятного прогноза. При исследовании корреляционной матрицы выяснилось, что все эти показатели можно разделить на группы с взаимной корреляцией (см. рис. 3). Обобщенная трактовка компонентов групп весьма затруднена, однако с некоторой долей условности можно допустить, что взаимокоррелированные показатели первой группы (прокальцитонин, нейтрофилы, лейкоциты, мочевина, креатинин, лактат) отражают активность системной воспалительной реакции и связанной с ней органной дисфункции, в первую очередь – дисфункции почек как наиболее кровоснабжаемого органа [22]. Ассоциации показателей СРБ, респираторного индекса и ЛДГ могут быть следствием выраженности воспалительного повреждения легких и вызванного им нарушения оксигенации крови. ЛДГ, как нам представляется, в данном случае вступает в качестве маркера тканевой деструкции, оценку активности этого фермента нередко используют и в других прогностических моделях [23]. Корреляции между возрастом и уровнем гемоглобина могут свидетельствовать о неблагоприятном влиянии гипопротеинемии и анемии, часто ассоциированных с хроническими заболеваниями и недостатком питания у лиц старших возрастных групп, однако эти же изменения могут отражать катаболическую реакцию на тяжелый инфекционный процесс, свойственную пожилым людям [24]. Особую группу взаимокоррелированных показателей представляют D-димер, АЧТВ, лактат и АСТ, их взаимосвязи можно трактовать как индикатор выраженности гипоксического повреждения тканей (лактат и АСТ), вызванного нарушениями коагуляции и тромбообразованием.
Таким образом, один или несколько признаков из взаимокоррелированных показателей могут быть достаточно репрезентативными компонентами прогностической модели, так как отражают разные патогенетические элементы развития инфекции COVID-19, а именно: тяжесть воспалительной полиорганной дисфункции, выраженность дисфункции поврежденных легких, вклад нарушений коагуляции и ускоренного катаболизма в исход инфекционного процесса.
При анализе 12 наилучших признаков (см. рис. 4, b), отобранных в модель, видно, что многие из ранее проанализированных показателей (прокальцитонин, мочевина, лактат, креатинин, возраст, уровень D-димера, гемоглобина, СРБ и индекс оксигенации) действительно вошли в нее. Однако есть еще 3 показателя, имеющих, по-видимому, независимое прогностическое значение. Это абсолютное число лимфоцитов крови, концентрации конъюгированного билирубина и натрия. Наиболее любопытным представляется прогностическое значение лимфопении, которая регистрируется у 40–83% госпитализированных больных COVID-19 [25]. При этом ее встречаемость значимо выше у наиболее тяжелых пациентов [26]. Причины лимфопении у больных COVID-19 остаются неясными, хотя наиболее распространенным является мнение об усилении их апоптоза и ингибировании выхода из селезенки в циркуляторное русло под действием провоспалительных цитокинов [27]. Уровни прямого билирубина и натрия сыворотки прямо коррелируют друг с другом, однако конъюгированный билирубин, кроме того, прямо взаимосвязан с уровнем мочевины и ЛДГ и обратно – с уровнем гемоглобина и тромбоцитов крови. Следовательно, повышение конъюгированного билирубина может быть ассоциировано с развитием вторичной тромботический микроангиопатии, для которой характерны тромбоцитопения, анемия, острое повреждение почек, печени и других органов [28]. Уровень натрия сыворотки прямо взаимосвязан с уровнем креатинина и мочевины, что дополняет маркеры нарушенной почечной фильтрации признаком возможной дисфункции канальцев.
Итоговая модель – индекс состояния реанимационного пациента, включающая 12 перечисленных выше показателей, оказалась достаточно результативной (AUC=0,85) и по этому критерию не уступала другим подобным моделям [29]. В некоторых из них, как и в нашем случае, наилучший результат показал классификатор на основе алгоритма RF [30]. Определенный интерес представляло сопоставление прогностической ценности нашей модели с широко известными шкалами SOFA и APACHE, применяемыми в отделениях интенсивной терапии. Оказалось, что наибольшей результативностью при оценке риска смерти у больных COVID-19 обладала шкала APACHE (AUC=0,78), в то время как более простая шкала SOFA выглядела менее надежной (AUC=0,74). Важным условием точности прогноза по обеим традиционным шкалам стало использование абсолютных значений исходных признаков, а не тех или иных диапазонов их значений. Исходя из полученных нами результатов со значительной долей уверенности можно говорить об актуальности существующих шкал у больных COVID-19, находящихся в ОРИТ. Надо отметить, что оценка надежности общепринятых прогностических шкал для ОРИТ при оценке тяжести течения инфекции COVID-19 стала предметом и ряда других работ, и некоторые исследователи делают вывод о необходимости создания специальной шкалы для COVID-19 [31].
Нами проанализирована чувствительность предложенного индекса состояния реанимационного пациента ко времени наступления события, оказалось, что значимые различия в величине индекса можно отметить уже за 12 сут до предполагаемого исхода. В известных нам работах, посвященных прогнозированию исходов у больных COVID-19, время до ожидаемого события составляло от 3 до 9 сут [32].
Заключение
Оценка прогноза течения COVID-19 у больных, находящихся в ОРИТ, актуальна не только с позиции адекватного распределения лечебных мероприятий, но и с точки зрения понимания патогенетических механизмов развития заболевания. Кроме того, она дает возможность для обнаружения наиболее адекватных маркеров контроля течения болезни у крайне тяжелых пациентов, а также средства объективной оценки эффективности терапевтических мероприятий.
Раскрытие интересов. Авторы декларируют отсутствие явных и потенциальных конфликтов интересов, связанных с публикацией настоящей статьи.
Disclosure of interest. The authors declare that they have no competing interests.
Вклад авторов. Авторы декларируют соответствие своего авторства международным критериям ICMJE. Все авторы в равной степени участвовали в подготовке публикации: разработка концепции статьи, получение и анализ фактических данных, написание и редактирование текста статьи, проверка и утверждение текста статьи.
Authors’ contribution. The authors declare the compliance of their authorship according to the international ICMJE criteria. All authors made a substantial contribution to the conception of the work, acquisition, analysis, interpretation of data for the work, drafting and revising the work, final approval of the version to be published and agree to be accountable for all aspects of the work.
Источник финансирования. Авторы декларируют отсутствие внешнего финансирования для проведения исследования и публикации статьи.
Funding source. The authors declare that there is no external funding for the exploration and analysis work.
About the authors
Oksana V. Stanevich
Pavlov First Saint Petersburg State Medical University
Email: oksana.stanevich@gmail.com
ORCID iD: 0000-0002-6894-6121
врач-инфекционист отд. эпидемиологии
Russian Federation, Saint PetersburgEvgeny A. Bakin
Pavlov First Saint Petersburg State Medical University
Email: eugene.bakin@gmail.com
ORCID iD: 0000-0002-5694-4348
PhD, RM Gorbacheva Research Institute senior researcher
Russian Federation, Saint PetersburgAleksandra A. Korshunova
Pavlov First Saint Petersburg State Medical University
Author for correspondence.
Email: aftotrof@gmail.com
ORCID iD: 0000-0002-7419-7227
MD, Emergency Deprtment physician
Russian Federation, Saint PetersburgAlexandra Ya. Gudkova
Pavlov First Saint Petersburg State Medical University
Email: alexagood-1954@mail.ru
ORCID iD: 0000-0003-0156-8821
д-р мед. наук, проф. каф. факультетской терапии, зав. лаб. кардиомиопатий Научно-исследовательского института сердечно-сосудистых заболеваний НКИЦ
Russian Federation, Saint PetersburgAleksey A. Afanasev
Pavlov First Saint Petersburg State Medical University
Email: alex-txf@mail.ru
ORCID iD: 0000-0003-0277-3456
SPIN-code: 4389-6271
MD, Cand. Sci. (Med.), Assistant Lecturer
Russian Federation, Saint PetersburgIrina V. Shlyk
Pavlov First Saint Petersburg State Medical University
Email: irina_shlyk@mail.ru
ORCID iD: 0000-0003-0977-8081
SPIN-code: 1715-1770
MD, Dr. Sci. (Med.), Professor
Russian Federation, Saint PetersburgDmitry A. Lioznov
Pavlov First Saint Petersburg State Medical University
Email: dlioznov@yandex.ru
ORCID iD: 0000-0003-3643-7354
д-р мед. наук, зав. каф. инфекционных болезней и эпидемиологии
Russian Federation, Saint PetersburgYury S. Polushin
Pavlov First Saint Petersburg State Medical University
Email: polushinyus@1spbgmu.ru
ORCID iD: 0000-0002-6313-5856
SPIN-code: 2006-1194
MD, Dr. Sci. (Med.), Professor, Academician of the RAS
Russian Federation, Saint PetersburgAlexandr N. Kulikov
Pavlov First Saint Petersburg State Medical University
Email: ankulikov2005@yandex.ru
ORCID iD: 0000-0002-4544-2967
SPIN-code: 3851-6072
MD, Dr. Sci. (Med.), Professor
Russian Federation, Saint PetersburgReferences
- Xu J, Yang X, Yang L, et al. Clinical course and predictors of 60-day mortality in 239 critically ill patients with COVID-19: a multicenter retrospective study from Wuhan, China. Crit Care. 2020;24(1):394. doi: 10.1186/s13054-020-03098-9
- Izquierdo JL, Ancochea J, Savana COVID-19 Research Group, Soriano JB. Clinical Characteristics and Prognostic Factors for Intensive Care Unit Admission of Patients With COVID-19: Retrospective Study Using Machine Learning and Natural Language Processing. J Med Internet Res. 2020;22(10):e21801. doi: 10.2196/21801
- Abate SM, Ahmed Ali S, Mantfardo B, Basu B. Rate of Intensive Care Unit admission and outcomes among patients with coronavirus: A systematic review and Meta-analysis. PLOS One. 2020;15(7):e0235653. doi: 10.1371/journal.pone.0235653
- Wendel Garcia PD, Fumeaux T, Guerci P, et al; RISC-19-ICU Investigators. Prognostic factors associated with mortality risk and disease progression in 639 critically ill patients with COVID-19 in Europe: Initial report of the international RISC-19-ICU prospective observational cohort. EClinicalMedicine. 2020;25:100449. doi: 10.1016/j.eclinm.2020.100449
- Core Team R. A Language and Environment for Statistical Computing. Vienna, Austria: R Foundation for Statistical Computing, 2019. Available at: https://www.R-project.org/ Accessed: 22.06.2021.
- Mendenhall WM, Sincich T. Statistics for engineering and the sciences, Sixth edition. Boca Raton: CRC Press, Taylor & Francis Group, 2016.
- Fay MP, Proschan MA. Wilcoxon-Mann-Whitney or t-test? On assumptions for hypothesis tests and multiple interpretations of decision rules. Stat Surv. 2010;4:1-39. doi: 10.1214/09-SS051
- Farrar DE, Glauber RR. Multicollinearity in Regression Analysis: The Problem Revisited. Rev Econ Stat. 1967;49(1):92. doi: 10.2307/1937887
- Yul Lee K, Weissfeld LA. A multicollinearity diagnostic for the cox model with time dependent covariates. Commun Stat – Simul Comput. 1996;25(1)41-60. doi: 10.1080/03610919608813297
- Maalouf M. Logistic regression in data analysis: an overview. Int J Data Anal Tech Strateg. 2011;3(3):281. doi: 10.1504/IJDATS.2011.041335
- Breiman L. Random Forests. Mach Learn. 2001;45(1):5-32. doi: 10.1023/A:1010933404324
- Hastie T, Tibshirani R, Friedman JH. The elements of statistical learning: data mining, inference, and prediction, 2nd ed. New York, NY: Springer, 2009.
- Stone M. Cross-Validatory Choice and Assessment of Statistical Predictions. J R Stat Soc Ser B Methodol. 1974;36(2):111-33. doi: 10.1111/j.2517-6161.1974.tb00994.x
- Kuhn M. Caret: Classification and Regression Training. 2020. Available at: https://CRAN.R-project.org/package=caret. Accessed: 22.06.2021.
- Wickham H. Ggplot2: elegant graphics for data analysis, Second edition. Cham: Springer, 2016.
- Kassambara A, Kosinski M, Biecek P. Survminer: Drawing Survival Curves using „ggplot2“. 2019. Available at: https://CRAN.R-project.org/package=survminer. Accessed: 22.06.2021.
- Raivo Kolde. Pheatmap: Pretty Heatmaps. 2019. Available at: https://CRAN.R-project.org/package=pheatmap. Accessed: 22.06.2021.
- Gupta S, Hayek SS, Wang W, et al. Factors Associated With Death in Critically Ill Patients With Coronavirus Disease 2019 in the US. JAMA Intern Med. 2020;180(11):1436. doi: 10.1001/jamainternmed.2020.3596
- Guillamet MCV, Guillamet RV, Kramer AA, et al. Toward a COVID-19 score-risk assessments and registry. Int Care Crit Care Med. 2020. doi: 10.1101/2020.04.15.20066860
- Wynants L, Van Calster B, Collins GS, et al. Prediction models for diagnosis and prognosis of covid-19: systematic review and critical appraisal. BMJ. 2020:m1328. doi: 10.1136/bmj.m1328
- Zhang H, Shi T, Wu X, et al. Risk prediction for poor outcome and death in hospital in-patients with COVID-19: derivation in Wuhan, China and external validation in London, UK. Public and Global Health. 2020. doi: 10.1101/2020.04.28.20082222
- Levy TJ, Richardson S, Coppa K, et al. A predictive model to estimate survival of hospitalized COVID-19 patients from admission data. Health Informatics. 2020. doi: 10.1101/2020.04.22.20075416
- Han Y, Zhang H, Mu S, et al. Lactate dehydrogenase, an independent risk factor of severe COVID-19 patients: a retrospective and observational study. Aging. 2020;12(12):11245-58. doi: 10.18632/aging.103372
- Chen Z, Hu J, Liu L, et al. Clinical Characteristics of Patients with Severe and Critical COVID-19 in Wuhan: A Single-Center, Retrospective Study. Infect Dis Ther. 2021;10(1):421-38. doi: 10.1007/s40121-020-00379-2
- Hu C, Liu Z, Jiang Y, et al. Early prediction of mortality risk among patients with severe COVID-19, using machine learning. Int J Epidemiol. 2021;49(6):1918-29. doi: 10.1093/ije/dyaa171
- Rod JE, Oviedo-Trespalacios O, Cortes-Ramirez J. A brief-review of the risk factors for covid-19 severity. Rev Saúde Pública. 2020;54:60. doi: 10.11606/s1518-8787.2020054002481
- Tan L, Wang Q, Zhang D, et al. Lymphopenia predicts disease severity of COVID-19: a descriptive and predictive study. Signal Transduct Target Ther. 2020;5(1):33. doi: 10.1038/s41392-020-0148-4
- Carfora V, Spiniello G, Ricciolino R, et al. Anticoagulant treatment in COVID-19: a narrative review. J Thromb Thrombolysis. 2021;51(3):642-8. doi: 10.1007/s11239-020-02242-0
- Pourhomayoun M, Shakibi M. Predicting mortality risk in patients with COVID-19 using machine learning to help medical decision-making. Smart Health. 2021;20:100178. doi: 10.1016/j.smhl.2020.100178
- Singh K, Valley TS, Tang S, et al. Evaluating a Widely Implemented Proprietary Deterioration Index Model among Hospitalized COVID-19 Patients. Ann Am Thorac Soc. 2021;18(7):1129-37. doi: 10.1513/AnnalsATS.202006-698OC
- Hu H, Yao N, Qiu Y. Comparing Rapid Scoring Systems in Mortality Prediction of Critically Ill Patients With Novel Coronavirus Disease. Acad Emerg Med. 2020;27(6):461-8. doi: 10.1111/acem.13992
- Williamson EJ, Walker AJ, Bhaskaran K, et al. Factors associated with COVID-19-related death using OpenSAFELY. Nature. 2020;584(7821):430-6. doi: 10.1038/s41586-020-2521-4
Supplementary files







