Prognostic significance of pulmonary ventilation disorders in the development of arrhythmia recurrence in patients with chronic obstructive pulmonary disease and paroxysmal atrial fibrillation
- Authors: Podzolkov V.I.1, Tarzimanova A.I.1, Kazantseva E.V.1
- 
							Affiliations: 
							- Sechenov First Moscow State Medical University (Sechenov University)
 
- Issue: Vol 97, No 7 (2025): Vario (various)
- Pages: 556-561
- Section: Original articles
- Submitted: 22.03.2025
- Accepted: 25.04.2025
- Published: 31.07.2025
- URL: https://ter-arkhiv.ru/0040-3660/article/view/677561
- DOI: https://doi.org/10.26442/00403660.2025.07.203296
- ID: 677561
Cite item
Full Text
Abstract
Aim. To evaluate the prognostic value of pulmonary ventilation disorders in the development of arrhythmia recurrence in patients with chronic obstructive pulmonary disease (COPD) and paroxysmal atrial fibrillation (AF).
Materials and methods. The study included 387 patients with COPD, who were divided into two groups: group 1 consisted of 54 (13.9%) patients with COPD and paroxysmal AF, who had AF paroxysm during hospitalization; group 2 (comparison group) – 333 (86.1%) patients with COPD without arrhythmia.
Results. Significantly more severe bronchial obstruction was found in group 1 patients than in group 2 patients. A one-factor regression analysis revealed that a decrease in forced exhalation volume in 1st second of less than 35% increased the risk of AF recurrence in patients with COPD by 2.49 times (odds ratio 0.401, 95% confidence interval 0.218–0.856; p=0.012). According to the results of bodyplethysmography, patients in group 1 showed a significant decrease in the diffusion capacity of the lungs for carbon monoxide, an increase in aerodynamic and specific bronchial resistance compared with group 2, a decrease in the diffusion capacity of the lungs of less than 8 ml/min/mm. Mercury increased the risk of AF paroxysm in COPD patients by 1.297 times (odds ratio 0.771, 95% confidence interval 0.53–0.92; p=0.013). To assess the risk of arrhythmia recurrence in patients with COPD and paroxysmal AF, we developed a mathematical model (sensitivity – 73.8%, specificity – 70.3%).
Conclusion. Decreased ventilation capacity of the lungs increases the risk of arrhythmia recurrence in patients with COPD and paroxysmal AF.
Full Text
Список сокращений
АГ – артериальная гипертензия
БПГ – бодиплетизмография
ДИ – доверительный интервал
ЖЕЛ – жизненная емкость легких
ЛЖ – левый желудочек
ЛП – левое предсердие
ОФВ1 – объем форсированного выдоха за 1-ю секунду
ОШ – отношение шансов
ПЖ – правый желудочек
ПП – правое предсердие
СДЛА – систолическое давление в легочной артерии
ФВ – фракция выброса
ФЖЕЛ – форсированная жизненная емкость легких
ФП – фибрилляция предсердий
ХОБЛ – хроническая обструктивная болезнь легких
ЭКГ – электрокардиография
ЭхоКГ – эхокардиография
DLCO – диффузионная способность легких по монооксиду углерода
Raw – аэродинамическое бронхиальное сопротивление
SpO2 – сатурация кислорода на атмосферном воздухе
Введение
Фибрилляция предсердий (ФП) — одна из наиболее часто встречающихся аритмий у пациентов с хронической обструктивной болезнью легких (ХОБЛ). Распространенность ФП при ХОБЛ значительно выше, чем в общей популяции, и достигает 10–20% в зависимости от возраста пациентов и тяжести основного заболевания [1–3]. Частые обострения ХОБЛ способствуют увеличению риска прогрессирования аритмии, повышают число рецидивов ФП после катетерной аблации, снижают успешность фармакологической кардиоверсии [4].
Известно несколько звеньев патогенеза возникновения ФП при ХОБЛ: снижение оксигенации, гиперкапния, легочная гипертензия, дилатация правого предсердия (ПП), окислительный стресс, воспаление и бесконтрольный прием β-адреномиметиков [5, 6]. В последние годы активно обсуждается роль изменений вентиляционной функции легких в развитии аритмий [7]. В проспективное когортное исследование J. Noubiap и соавт., целью которого было изучение взаимосвязи между показателями спирометрии и возникновением ФП, включены 348 219 испытуемых. За 11,5 года проспективного наблюдения зарегистрировано 18 188 новых случаев ФП. После стандартизации по полу, возрасту и росту авторы доказали, что риск развития ФП увеличивался при снижении объема форсированного выдоха за 1-ю секунду (ОФВ1), форсированной (ФЖЕЛ) жизненной емкости легких (ЖЕЛ) и соотношения ОФВ1/ФЖЕЛ. Появление легкой степени бронхиальной обструкции увеличивало риск развития ФП на 23% (отношение рисков 1,23, 95% доверительный интервал – ДИ 1,19–1,28), у пациентов с тяжелой степенью обструкции бронхов риск развития ФП был на 40% (отношение рисков 1,40, 95% ДИ 1,29–1,51) выше, чем в общей популяции [8].
Длительное персистирование бронхообструктивного синдрома при ХОБЛ способствует снижению диффузионной способности легких, которая является важным параметром, отражающим эффективность газообмена [6]. Снижение диффузионной способности легких связано с прогрессирующим разрушением альвеолярной структуры и нарушением капиллярного кровотока, что усугубляет гипоксию и стимулирует дисфункцию эндотелия в сосудах малого круга кровообращения [6]. Детализация механизмов развития ФП при ХОБЛ представляет важную задачу для современной кардиологии, так как эти знания могут способствовать разработке универсальных подходов к ранней диагностике аритмии и персонализированному лечению коморбидных пациентов.
Цель исследования – оценить прогностическое значение нарушений вентиляционной функции легких в развитии рецидива аритмии у пациента с ХОБЛ и пароксизмальной формой ФП.
Материалы и методы
В одноцентровое ретроспективное исследование включены 387 пациентов с ХОБЛ, которые госпитализированы в Университетскую клиническую больницу №4 ФГАОУ ВО «Первый МГМУ им. И.М. Сеченова» (Сеченовский Университет). Пациенты разделены на 2 группы: в 1-ю группу (основную) вошли 54 (13,9%) пациента с ХОБЛ и пароксизмальной формой ФП, у которых в период госпитализации был зарегистрирован пароксизм ФП; 2-ю группу (сравнения) составили 333 (86,1%) пациента с ХОБЛ без аритмии (табл. 1).
Таблица 1. Клиническая характеристика пациентов
Table 1. Clinical characteristics of patients
| Параметр | Группа | p | |
| 1-я | 2-я | ||
| Возраст, лет | <0,001 | ||
| Мужчины, абс. (%) | 39 (72,2) | 253 (75,9) | 0,565 | 
| Женщины, абс. (%) | 15 (27,8) | 80 (24,1) | 0,565 | 
| ХОБЛ, степень бронхообструкции, абс. (%): | |||
| легкая | 1 (1,8) | 16 (4,9) | 0,028 | 
| средняя | 12 (22,2) | 113 (33,9) | 0,001 | 
| тяжелая | 31 (57,4) | 149 (44,7) | 0,037 | 
| крайне тяжелая | 10 (18,6) | 55 (16,5) | 0,048 | 
| АГ, абс. (%) | |||
| 1-я степень | 3 (5,6) | 59 (17,8) | <0,001 | 
| 2-я степень | 14 (25,9) | 156 (46,8) | <0,001 | 
| 3-я степень | 37 (68,5) | 117 (35,1) | <0,001 | 
| Индекс курильщика, пачка/лет | 42 [25; 50] | 0,901 | |
| Индекс массы тела, кг/м2 | 0,031 | ||
| ХСН, абс. (%) | 43 (79,6) | 241 (72,3) | 0,025 | 
Критерием включения пациентов в основную группу было наличие у больных ХОБЛ документированного пароксизма ФП, подтвержденного при электрокардиографическом исследовании (ЭКГ) или мониторировании ЭКГ по Холтеру. В группу сравнения включены пациенты с ХОБЛ с синусовым ритмом.
Критериями невключения были бронхиальная астма, острый коронарный синдром, воспалительные заболевания сердца, пороки сердца, симптоматическая артериальная гипертензия (АГ), хроническая сердечная недостаточность (ХСН) со сниженной фракцией выброса левого желудочка (ФВ ЛЖ менее 50%), тяжелая патология почек или печени, анемии, заболевания щитовидной железы, онкологические заболевания, беременность, психические заболевания, злоупотребление алкоголем.
Пациенты 1-й группы имели достоверно более тяжелую степень бронхиальной обструкции (p<0,001), чем больные 2-й группы. Больные ХОБЛ с пароксизмальной формой ФП были несколько старше, имели более высокий индекс массы тела и частоту встречаемости ХСН, чем пациенты группы сравнения (р<0,001).
Данное исследование было одобрено локальным этическим комитетом ФГАОУ ВО «Первый МГМУ им. И.М. Сеченова» (Сеченовский Университет), протокол заседания №19-23 от 26.10.2023.
Всем больным проведено комплексное клинико-лабораторное и инструментальное обследование, включающее общий и биохимический анализ крови, коагулограмму, определение сатурации кислорода на атмосферном воздухе (SpO2), стандартную ЭКГ, эхокардиографию (ЭхоКГ), суточное мониторирование ЭКГ по Холтеру, компьютерную томографию органов грудной клетки, определение функции внешнего дыхания, бодиплетизмографию (БПГ).
Пациенты получали медикаментозную терапию АГ и ХОБЛ в соответствии с современными клиническими рекомендациями [1, 5]. Достоверных различий между группами в назначении лекарственной терапии не выявлено. Купирование пароксизма ФП в стационаре проводилось при назначении внутривенного капельного введения амиодарона в дозе 5 мг/кг массы тела.
Статистическую обработку результатов производили с помощью программы Jamovi версии 2.3.13. Количественные данные представлены в виде медианы с указанием межквартильного размаха (Me [Q1; Q3]), биноминальные и категориальные переменные – с помощью указания абсолютного числа и доли, выраженной в процентах. При сравнительном анализе для сравнивания количественных переменных использовали U-критерий Манна–Уитни. Для определения предикторов использованы однофакторная модель логистической регрессии с расчетом отношения шансов (ОШ) и 95% ДИ. Для определения порогового значения точки отсечения в классификационной модели использован ROC-анализ с расчетом площади под кривой (AUC). Статистически значимыми признавались различия при p<0,05.
Результаты
Оцененная в 1-е сутки госпитализации SpO2 была достоверно ниже в 1-й группе – 90% [87; 94], чем во 2-й – 93% [90; 96] (рис. 1). При проведении однофакторного регрессионного анализа установлено, что снижение показателя SpO2 менее 93% ассоциировано с увеличением риска развития пароксизма ФП в 1,075 раза (ОШ 0,93, 95% ДИ 0,884–0,977; p=0,004).
Рис. 1. Значение SpO2 в исследуемых группах.
Fig. 1. SpO2 value in the study groups.
При анализе лабораторных показателей обнаружено, что у пациентов 1-й группы значение C-реактивного белка было достоверно выше (26,3 [10, 1; 50, 4] мг/мл), чем во 2-й группе – 19,5 [10, 3; 29, 8] мг/мл (р<0,05). В общем анализе крови у больных ХОБЛ и пароксизмальной формой ФП наблюдались более высокие значения лейкоцитов и скорости оседания эритроцитов, чем в группе сравнения.
Пациенты c ХОБЛ и пароксизмальной формой ФП имели достоверно большие размеры левого предсердия (ЛП), ПП и правого желудочка (ПЖ), чем пациенты с ХОБЛ без аритмии. Систолическое давление в легочной артерии (СДЛА) было достоверно выше в 1-й, чем во 2-й группе, что представлено в табл. 2. Все пациенты, включенные в исследование, имели сохранную ФВ ЛЖ более 50%.
Таблица 2. Параметры ЭхоКГ у пациентов 1 и 2-й групп
Table 2. Echocardiography parameters in group 1 and 2 patients
| Показатель, Me [Q1; Q3] | Группа | p | |
| 1-я | 2-я | ||
| ФВ ЛЖ, % | 0,325 | ||
| КСО ЛЖ, мл | 0,210 | ||
| КДО ЛЖ, мл | 0,334 | ||
| Толщина ЗСЛЖ, см | 0,042 | ||
| Объем ЛП, мл | 0,007 | ||
| Площадь ПП, см2 | 0,002 | ||
| Диаметр ПЖ, см | 0,024 | ||
| СДЛА, мм рт. ст. | 0,042 | ||
Примечание. КСО – конечно-систолический объем, КДО – конечно-диастолический объем, ЗСЛЖ – задняя стенка левого желудочка.
У больных 1-й группы выявлена достоверно более тяжелая степень бронхиальной обструкции, чем у больных 2-й группы. При исследовании функции внешнего дыхания (табл. 3) обращало на себя внимание достоверно большее уменьшение ОФВ1, ФЖЕЛ и соотношения ОФВ1/ФЖЕЛ в 1-й, чем во 2-й группе.
Таблица 3. Результаты спирометрии в исследуемых группах
Table 3. Spirometry results in the study groups
| Показатель | Группа | p | |
| 1-я | 2-я | ||
| ЖЕЛ, л | 0,011 | ||
| ЖЕЛ, % | 0,048 | ||
| ФЖЕЛ, л | 0,020 | ||
| ФЖЕЛ, % | 0,021 | ||
| ОФВ1, л | 0,023 | ||
| ОФВ1, % | 0,019 | ||
| ОФВ1/ЖЕЛ, % | 0,026 | ||
При проведении однофакторного регрессионного анализа выявлено, что уменьшение ОФВ1 менее 35% повышало риск рецидива аритмии у пациентов с ХОБЛ и пароксизмальной формой ФП в 2,49 раза (ОШ 0,401, 95% ДИ 0,218–0,856; p=0,012).
У пациентов 1-й группы по результатам БПГ обнаружено достоверное снижение показателя DLCO, повышение Raw и специфического Raw (sRaw) при сравнении с данными 2-й группой (табл. 4).
Таблица 4. Показатели БПГ в исследуемых группах
Table 4. Body plethysmography parameters in the study groups
| Показатель | Группа | p | |
| 1-я | 2-я | ||
| ОЕЛ, л | 0,256 | ||
| ОЕЛ, % | 108 [97; 118] | 0,327 | |
| ФОЕ, л | 0,847 | ||
| ФОЕ, % | 148 [118; 178] | 151 [124; 175] | 0,912 | 
| ООЛ, л | 0,873 | ||
| ООЛ, % | 151 [97; 202] | 161 [125; 211] | 0,736 | 
| sRaw | 0,018 | ||
| Raw | 0,034 | ||
| DLCO, мл/мин/мм рт. ст. | 0,012 | ||
Примечание. ОЕЛ – общая емкость легких, ФОЕ – функциональная остаточная емкость легких, ООЛ – остаточный объем легких.
При проведении многофакторного регрессионного анализа доказано, что снижение показателя DLCO менее 8 мл/мин/мм рт. ст. повышало риск развития пароксизма ФП у больных ХОБЛ в 1,297 раза (ОШ 0,771, 95% ДИ 0,53–0,92; p=0,013). Для оценки риска рецидива аритмии у больных ХОБЛ и пароксизмальной формой ФП нами разработана математическая модель. Наблюдаемая зависимость описывается следующим уравнением:
p=1/(1+e-z)×100%,
z=0,423+(-0,263×XDLCO)+0,157×XRaw,
где p – вероятность рецидива аритмии у пациентов с ХОБЛ и пароксизмальной формой ФП, XDLCO – значение показателя диффузионной способности легких по монооксиду углерода (DLCO), мл/мин/мм рт. ст., XRaw – значение показателя аэродинамического бронхиального сопротивления (Raw).
Пороговое значение логистической функции р составило 14%: при значениях р≥14% определялась высокая вероятность рецидива пароксизма ФП, при значениях р<14% – низкая вероятность рецидива аритмии у пациентов с ХОБЛ.
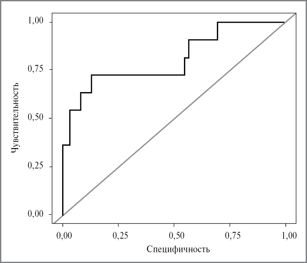
Чувствительность модели при данном пороговом значении составила 73,8%, специфичность – 70,3%, диагностическая эффективность – 72,1%. Площадь под ROC-кривой составила 0,802 (рис. 2).
Рис. 2. ROC-кривая чувствительности и специфичности математической модели для оценки вероятности рецидива приступа аритмии у пациентов с ХОБЛ и пароксизмальной формой ФП.
Fig. 2. ROC curve of the sensitivity and specificity of the mathematical model to assess the risk of recurrence of an arrhythmia attack in patients with chronic obstructive pulmonary disease and paroxysmal atrial fibrillation.
Обсуждение
Одним из значимых механизмов аритмогенеза при ХОБЛ считают гипоксию, появление которой тесно взаимосвязано с бронхиальной обструкцией [9]. В нашем исследовании показано, что снижение SpO2 менее 93% повышало риск развития пароксизма ФП у пациентов с ХОБЛ во время госпитализации.
A. Workman и соавт. доказали, что гипоксия приводит к активации симпатоадреналовой системы и увеличению риска развития наджелудочковых тахиаритмий [10]. В экспериментальных работах на животных развитие гипоксии приводило к нарушению функции кальциевых каналов кардиомиоцитов и экспрессии белков коннексинов у крыс [11]. Возникающая гиперкапния при обострениях ХОБЛ также оказывает большое влияние на электрофизиологию предсердий и изменяет внутриклеточное перемещение Ca2+, что увеличивает риск возникновения ФП [12].
Появление гипоксии у пациентов с ХОБЛ опосредовано снижением вентиляционной способности легких. В нашей работе у пациентов с ХОБЛ и пароксизмальной формой ФП выявлены достоверные снижения ОФВ1 и индекса Тиффно при сравнении с пациентами с ХОБЛ без аритмии. При проведении однофакторного анализа доказано, что тяжелая степень бронхиальной обструкции (ОФВ1 менее 35%) увеличивала в 2,49 раза риск развития ФП. В Copenhagen City Heart Study при многофакторном анализе с поправкой на сердечно-легочные факторы риска выявлено, что снижение вентиляционной способности легких является независимым предиктором возникновения ФП [13].
Предметом дискуссий до настоящего времени остается вопрос о влиянии изменений диффузионной способности легких на развитие ФП при ХОБЛ [14–17]. Снижение диффузионной способности легких связано с прогрессирующим разрушением альвеолярной структуры легочной паренхимы, нарушением капиллярного кровотока и всегда сопровождается снижением эффективности газообмена [18]. В нашем исследовании показано, что снижение диффузионной способности легких менее 8 мл/мин/мм рт. ст. повышало риск рецидива аритмии у больных с ХОБЛ и пароксизмальной формой ФП в 1,297 раза (ОШ 0,771, 95% ДИ 0,53–0,92; p=0,013). Длительное нарушение газообмена при ХОБЛ способствует спазму легочных капилляров, формированию легочной гипертензии, диастолической дисфункции ПЖ и дилатации ПП. Изменения правых отделов сердца вносят существенный вклад в формирование аритмогенных механизмов при ХОБЛ [19, 20].
При сравнении параметров ЭхоКГ нами выявлено, что пациенты с ХОБЛ и пароксизмальной формой ФП имели достоверно значимое увеличение как ЛП, так и ПП, ПЖ и более высокие значения СДЛА, чем больные группы сравнения.
Заключение
Таким образом, снижение вентиляционной способности легких у пациентов с ХОБЛ повышает риск развития пароксизма ФП. Появление тяжелой бронхиальной обструкции и развитие эмфиземы легких с нарушением газообмена приводит к хронической гипоксии, формированию легочной гипертензии, увеличению фиброза предсердной ткани и развитию ФП [12].
Раскрытие интересов. Авторы декларируют отсутствие явных и потенциальных конфликтов интересов, связанных с публикацией настоящей статьи.
Disclosure of interest. The authors declare that they have no competing interests.
Вклад авторов. Авторы декларируют соответствие своего авторства международным критериям ICMJE. Все авторы в равной степени участвовали в подготовке публикации: разработка концепции статьи, получение и анализ фактических данных, написание и редактирование текста статьи, проверка и утверждение текста статьи.
Authors’ contribution. The authors declare the compliance of their authorship according to the international ICMJE criteria. All authors made a substantial contribution to the conception of the work, acquisition, analysis, interpretation of data for the work, drafting and revising the work, final approval of the version to be published and agree to be accountable for all aspects of the work.
Источник финансирования. Авторы декларируют отсутствие внешнего финансирования для проведения исследования и публикации статьи.
Funding source. The authors declare that there is no external funding for the exploration and analysis work.
Соответствие принципам этики. Протокол исследования одобрен локальным этическим комитетом ФГАОУ ВО «Первый МГМУ им. И.М. Сеченова» (Сеченовский Университет), протокол заседания №19-23 от 26.10.2023. Одобрение и процедуру проведения протокола получали по принципам Хельсинкской декларации.
Compliance with the principles of ethics. The study protocol was approved by the local ethics committee Sechenov First Moscow State Medical University (Sechenov University), Minutes No.19-23 of 26.10.2023. Approval and protocol procedure was obtained according to the principles of the Declaration of Helsinki.
Информированное согласие на публикацию. Пациенты подписали форму добровольного информированного согласия на публикацию медицинской информации.
Consent for publication. Written consent was obtained from the patients for publication of relevant medical information and all of accompanying images within the manuscript.
About the authors
Valery I. Podzolkov
Sechenov First Moscow State Medical University (Sechenov University)
														Email: tarzimanova@mail.ru
				                	ORCID iD: 0000-0002-0758-5609
				                																			                								
д-р мед. наук, проф., зав. каф. факультетской терапии №2, дир. клиники факультетской терапии №2 Института клинической медицины им. Н.В. Склифосовского
Russian Federation, MoscowAida I. Tarzimanova
Sechenov First Moscow State Medical University (Sechenov University)
							Author for correspondence.
							Email: tarzimanova@mail.ru
				                	ORCID iD: 0000-0001-9536-8307
				                																			                								
д-р мед. наук, проф. каф. факультетской терапии №2 Института клинической медицины им. Н.В. Склифосовского
Russian Federation, MoscowEvgeniya V. Kazantseva
Sechenov First Moscow State Medical University (Sechenov University)
														Email: tarzimanova@mail.ru
				                	ORCID iD: 0000-0001-8552-5364
				                																			                								
аспирант каф. факультетской терапии №2 Института клинической медицины им. Н.В. Склифосовского
Russian Federation, MoscowReferences
- Аракелян М.Г., Бокерия Л.А., Васильева Е.Ю., и др. Фибрилляция и трепетание предсердий. Клинические рекомендации 2020. Российский кардиологический журнал. 2021;26(7):4594 [Arakelyan MG, Bockeria LA, Vasilieva EYu, et al. 2020 Clinical guidelines for Atrial fibrillation and atrial flutter. Russian Journal of Cardiology. 2021;26(7):4594 (in Russian)]. doi: 10.15829/1560-4071-2021-4594
- Айсанов З.Р., Чучалин А.Г., Калманова Е.Н. Хроническая обструктивная болезнь легких и сердечно-сосудистая коморбидность. Кардиология. 2019;59(8S):24-36 [Aisanov ZR, Chuchalin AG, Kalmanova EN. Chronic obstructive pulmonary disease and cardiovascular comorbidity. Kardiologiia. 2019;59(8S):24-36 (in Russian)]. doi: 10.18087/cardio.2572
- Rodríguez-Mañero M, López-Pardo E, Cordero A, et al. A prospective study of the clinical outcomes and prognosis associated with comorbid COPD in the atrial fibrillation population. Int J Chron Obstruct Pulmon Dis. 2019;14:371-80. doi: 10.2147/COPD.S174443
- Тарзиманова А.И., Исаева А.Ю. Новые возможности антиаритмической терапии фибрилляции предсердий. Терапевтический архив. 2024;96(2):181-5 [Tarzimanova AI, Isaeva AIu. New possibilities of antiarrhythmic therapy of atrial fibrillation: A review. Terapevticheskii Arkhiv (Ter. Arkh.). 2024;96(2):181-5 (in Russian)]. doi: 10.26442/00403660.2024.02.202585
- Авдеев С.Н., Лещенко И.В., Айсанов З.Р., и др., от имени рабочей группы по разработке и пересмотру Федеральных клинических рекомендаций по ХОБЛ. Новые клинические рекомендации по ХОБЛ – смена парадигмы. Терапевтический архив. 2024;96(3):292-7 [Avdeev SN, Leshchenko IV, Aisanov ZR, et al., on behalf of the working group for the development and revision of Federal clinical guidelines for COPD. New clinical guidelines for COPD – a paradigm shift: A review. Terapevticheskii Arkhiv (Ter. Arkh.). 2024;96(3):292-7 (in Russian)]. doi: 10.26442/00403660.2024.03.202646
- Авдеев С.Н., Лещенко И.В., Айсанов З.Р. Новая концепция и алгоритм ведения больных с хронической обструктивной болезнью легких. Пульмонология. 2023;5:587-94 [Avdeev SN, Leshchenko IV, Aisanov ZR. A new concept and algorithm for the management of patients with chronic obstructive pulmonary disease. Pulmonologiya. 2023;5:587-94 (in Russian)]. doi: 10.18093/0869-0189-2023-33-5-587-594
- Глова С.Е., Разумовский И.В. Хроническая обструктивная болезнь легких и фибрилляция предсердий. Южно-Российский журнал терапевтической практики. 2021;2(4):22-9 [Glova SE, Razumovsky IV. Chronic obstructive pulmonary disease and atrial fibrillation. South Russian Journal of Therapeutic Practice. 2021;2(4):22-9 (in Russian)]. doi: 10.21886/2712-8156-2021-24-22-29
- Noubiap JJ, Tu SJ, Emami M, et al. Incident atrial fibrillation in relation to ventilatory parameters: A prospective cohort study. Can J Cardiol. 2023;39(5):614-22. doi: 10.1016/j.cjca.2023.02.004
- Proietti M, Laroche C, Drozd M, et al. Impact of chronic obstructive pulmonary disease on prognosis in atrial fibrillation: A report from the EURObservational Research Programme Pilot Survey on Atrial Fibrillation (EORP-AF) General Registry. Am Heart J. 2016;181:83-91. doi: 10.1016/j.ahj.2016.08.011
- Workman AJ, Rankin AC. Do hypoxemia or hypercapnia predispose to atrial fibrillation in breathing disorders, and, if so, how? Heart Rhythm. 2010;7(9):1271-2. doi: 10.1016/j.hrthm.2010.04.004
- Hiram R, Naud P, Xiong F, et al. Right atrial mechanisms of atrial fibrillation in a rat model of right heart disease. J Am Coll Cardiol. 2019;74(10):1332-47. doi: 10.1016/j.jacc.2019.06.066
- Simons SO, Elliott A, Sastry M, et al. Chronic obstructive pulmonary disease and atrial fibrillation: An interdisciplinary perspective. Eur Heart J. 2021;42(5):532-40. doi: 10.1093/eurheartj/ehaa822
- Buch P, Friberg J, Scharling H, et al. Reduced lung function and risk of atrial fibrillation in the Copenhagen City Heart Study. Eur Respir J. 2003;21(6):1012-6. doi: 10.1183/09031936.03.00051502
- Ioannides AE, Tayal U, Quint JK. Spirometry in atrial fibrillation: What’s the catch? Expert Rev Respir Med. 2023;17(10):937-50. doi: 10.1080/17476348.2023.2279236
- Huang B, Yang Y, Zhu J, et al. Clinical characteristics and prognostic significance of chronic obstructive pulmonary disease in patients with atrial fibrillation: Results from a multicenter atrial fibrillation registry study. J Am Med Dir Assoc. 2014;15(8):576-81. doi: 10.1016/j.Jamda.2014.04.009
- Warming PE, Garcia R, Hansen CJ, et al. Atrial fibrillation and chronic obstructive pulmonary disease: Diagnostic sequence and mortality risk. Eur Heart J Qual Care Clin Outcomes. 2023;9(2):128-34. doi: 10.1093/ehjqcco/qcac059
- Ye J, Yao P, Shi X, Yu X. A systematic literature review and meta-analysis on the impact of COPD on atrial fibrillation patient outcome. Heart Lung. 2022;51:67-74. doi: 10.1016/j.hrtlng.2021.09.001
- Terzano C, Romani S, Conti V, et al. Atrial fibrillation in the acute, hypercapnic exacerbations of COPD. Eur Rev Med Pharmacol Sci. 2014;18(19):2908-17. PMID: 25339486
- Xie E, Yu R, Ambale-Venkatesh B, et al. Association of right atrial structure with incident atrial fibrillation: a longitudinal cohort cardiovascular magnetic resonance study from the Multi-Ethnic Study of Atherosclerosis (MESA). J Cardiovasc Magn Reson. 2020;22(1):36. doi: 10.1186/s12968-020-00631-1
- Li J, Agarwal SK, Alonso A, et al. Airflow obstruction, lung function, and incidence of atrial fibrillation: the Atherosclerosis Risk in Communities (ARIC) study. Circulation. 2014;129(9):971-80. doi: 10.1161/CIRCULATIONAHA.113.004050
Supplementary files
 
				
			 
					 
						 
						 
				
 
  
  
  Email this article
			Email this article 



