Experience with the use of undenatured type II collagen in patients with stage III knee osteoarthritis: a multicenter, prospective, double-blind, placebo-controlled, randomized trial
- Authors: Alekseeva L.I.1,2, Kashevarova N.G.1, Taskina E.A.1, Strebkova E.A.1, Korotkova T.A.1, Sharapova E.P.1, Savushkina N.M.1, Lila A.M.1,2, Shostak N.A.3, Nesterovich I.I.4, Dedkova V.A.5, Vasilyuk V.B.5, Egorova N.V.6, Leontyeva M.A.7, Yakupova S.P.8, Vinogradova I.B.9, Sorotskaya V.N.10, Shirokova L.I.11, Rudakova A.V.12,13
-
Affiliations:
- Nasonova Research Institute of Rheumatology
- Russian Medical Academy of Continuous Professional Education
- Pirogov Russian National Research Medical University (Pirogov University)
- «Meili», LLC
- «Research Center "Eco-safety"», LLC
- «Health Energy», LLC
- «Zvezdnaya Clinic», LLC
- NIMK “Your Health», LLC
- Ulyanovsk Regional Clinical Hospital
- Tula Regional Clinical Dermatovenerological Dispensary
- Institute of Professional Training
- Saint Petersburg State Chemical-Pharmaceutical University
- Children's Scientific and Clinical Center for Infectious Diseases of the Federal Medical and Biological Agency of Russia
- Issue: Vol 97, No 1 (2025): Поликлинические проблемы и организация медицинской помощи
- Pages: 54-64
- Section: Original articles
- Submitted: 09.01.2025
- Accepted: 16.02.2025
- Published: 21.02.2025
- URL: https://ter-arkhiv.ru/0040-3660/article/view/645347
- DOI: https://doi.org/10.26442/00403660.2025.01.203145
- ID: 645347
Cite item
Full Text
Abstract
Introduction. Current strategies for treating osteoarthritis (OA) are based on a multimodal approach that includes pharmacological and non-pharmacological methods. Undenatured chicken collagen type II (NK2) is considered safe and effective for maintaining joint health and can be used alone and combined with drugs for OA treatment.
Aim. To further evaluate the efficacy of the combination of Artneo containing NK2 in patients with stage III knee OA compared with placebo in a multicenter, prospective, double-blind, placebo-controlled, randomized trial.
Materials and methods. The study included 212 patients from 12 centers in the Russian Federation, of whom 50 had radiological stage III knee OA: 41 (82.0%) females and 9 (18.0%) males aged 44 to 75. Using the interactive web response system (IWRS), the study population was randomized into two groups: Group 1 (Artneo group) included 28 patients receiving the drug 1 capsule once a day for 180 days, Group 2 (placebo group) included 22 patients receiving placebo with drug-matched presentation and the same regimen as in Group 1. The effectiveness of therapy was assessed by the change of pain using the Visual Analog Scale, the WOMAC index, KOOS, the EQ-5D quality of life questionnaire, and the need for non-steroidal anti-inflammatory drugs. All patients had a complete blood count, urinalysis, blood chemistry, and ultrasonic examination of the target knee joint.
Results. A prospective, double-blind, placebo-controlled, randomized trial demonstrated that Artneo containing NK2 was significantly superior to placebo in all studied parameters, improved all clinical manifestations of OA: reduced pain and stiffness, improved joint function and quality of life, and had a good safety profile.
Conclusion. Artneo showed high efficacy and safety in the general population of patients, including those with stage III knee OA.
Full Text
Список сокращений
БАД – биологически активная добавка
ВАШ – Визуальная аналоговая шкала
ВВП – валовый внутренний продукт
ВОЗ – Всемирная организация здравоохранения
ГГ – глюкозамина гидрохлорид
ДИ – доверительный интервал
КС – коленный сустав
НК2 – неденатурированный коллаген II типа
НПВП – нестероидный противовоспалительный препарат
НЯ – нежелательное явление
ОА – остеоартрит
РКИ – рандомизированное клиническое исследование
ХС – хондроитина сульфат
Введение
Остеоартрит (ОА) – многогранное и гетерогенное заболевание, поражающее все элементы сустава и являющееся одной из наиболее распространенных причин инвалидности среди пожилого населения. В 2020 г. в мире насчитывалось 595 млн человек с ОА, что составляло 7,6% населения планеты. Общее число случаев ОА увеличилось на 132,2% с 1990 по 2020 г., и ожидается, что к 2050 г. возрастет количество ОА коленных суставов (КС) на 74,9%, ОА кистей – на 48,6%, ОА тазобедренных суставов – на 78,6% и ОА других локализаций – на 95,1% [1].
Учитывая, что население планеты стареет, бремя ОА для здоровья человека и экономики увеличивается, Всемирная организация здравоохранения (ВОЗ) объявила 2021–2030 гг. десятилетием здорового старения, уделяя особое внимание не только продолжительности, но и качеству жизни. Это решение дает возможность сосредоточиться на проблеме данного заболевания в контексте здоровья взрослых, особенно учитывая хронический характер ОА и его влияние на подвижность и повседневную деятельность [2]. ОА считался заболеванием второй половины жизни, но в настоящее время он диагностируется уже и у людей младше 50 лет, поэтому раннее начало лечения для предотвращения или смягчения симптомов ОА может затормозить снижение качества жизни в последующие десятилетия [3].
Для эффективного лечения и профилактики заболевания, планирования программ по диагностике ОА, мероприятий по внедрению основ здорового образа жизни необходимо принимать во внимание распространенность и бремя ОА в каждом конкретном месте в зависимости от пола и возраста выявляемых больных. Комплексный план лечения у определенного пациента может включать образовательные, психосоциальные и физические методы лечения, коррекцию пищевого поведения, двигательной активности, а также применение фармакологических средств: локальных, пероральных нестероидных противовоспалительных (НПВП), базисных и внутрисуставных препаратов. Цели терапии и принципы их достижения применимы к широкому кругу пациентов, однако для некоторых лиц в определенные моменты времени для контроля за симптомами может быть достаточно одного вмешательства, для других может потребоваться несколько, применяемых последовательно или в комбинации. Какие вмешательства и в каком порядке они будут применяться, зависит от конкретного пациента.
При принятии решений о назначении терапии следует учитывать личные убеждения и предпочтения пациента, а также его состояние здоровья. Необходимо учитывать наличие сопутствующей патологии, такой как артериальная гипертензия, сердечно-сосудистые и желудочно-кишечные заболевания, хроническая болезнь почек или другие заболевания, которые могут повлиять на риск нежелательных явлений (НЯ) от приема определенных фармакологических препаратов. Такая оценка должна проводиться до составления индивидуального плана лечения. Например, с учетом сопутствующей патологии и риска развития НЯ при небольшой или умеренной боли предпочтительны локальные НПВП, которые можно рассматривать в качестве альтернативы пероральным формам. В недавнем метаанализе M. Persson и соавт. при оценке 15 рандомизированных клинических исследований – РКИ (n=1951), в том числе 11 РКИ с плацебо-контролем (n=1587 для НПВП местного действия, 1553 – для плацебо), продемонстрировано, что локальные формы эффективны для облегчения боли при ОА КС [4] и с учетом их небольшого системного воздействия реже вызывают НЯ. Тем не менее нужно учитывать, что они рекомендуются пациентам с ОА КС, условно рекомендуются при ОА кистей и не рассматриваются при поражении тазобедренных суставов из-за их низкой эффективности при этой локализации ОА [5].
Как локальные, так и системные НПВП обычно назначаются для модификации симптомов ОА, помогают облегчить боль, но часто этот эффект кратковременный и, как правило, не сопровождается влиянием на течение заболевания. Кроме того, использование НПВП может быть связано с развитием НЯ со стороны почек, желудочно-кишечной и сердечно-сосудистой систем [6].
Глюкозамин и хондроитина сульфат (ХС) – наиболее часто используемые средства для лечения ОА, в 2019 г. в Европе и России их назвали базисными препаратами для лечения ОА [6]. Однако в Америке в последних рекомендациях Американской академии хирургов-ортопедов (AAOS) и Американского колледжа ревматологов (ACR) по лечению ОА КС присутствуют ограничения по их назначению [5, 7].
Рекомендуемые методы лечения ОА помогают справляться с симптомами, но в редких случаях могут остановить прогрессирование болезни, что приводит к необходимости оперативного лечения по замене сустава, которое является дорогостоящим и сопряжено со значительными рисками, поэтому продолжается поиск новых стратегий для предотвращения развития ОА и замедления прогрессирования заболевания. В этом контексте использование коллагена стало многообещающим из-за его доступности и потенциальной пользы для здоровья суставов. Устраняя боль и функциональные ограничения, связанные с ОА КС, коллаген может улучшать общее самочувствие пациентов и снижать финансовые затраты, связанные с долгосрочным лечением.
Большинство коллагенов, в том числе неденатурированный коллаген II типа (НК2), получают из сырья животного происхождения. Традиционно для производства коллагена используют крупный рогатый скот и свиней, однако мясо птицы и рыба становятся все более популярными в качестве альтернативных источников из-за опасения передачи зоонозных заболеваний [8]. НК2, выделенный из хрящей куриной грудины, сохраняет физиологическую структуру коллагеновых волокон. В отличие от денатурированных молекул коллагена в процессе производства НК2 сохраняется целостность гликозилирования и третичной структуры белка [9], которая необходима для формирования характерной тройной спирали [10]. Сохранение этой структуры имеет ключевое значение для формирования оральной иммунной толерантности. Нативная структура коллагена содержит трехмерные эпитопы, которые захватываются дендритными клетками в пейеровых бляшках кишечника и в дальнейшем презентуются иммунным клеткам (Т и В-лимфоцитам) как безвредные для организма, что приводит к формированию регуляторных Т-клеток, купирующих воспалительный процесс в суставах благодаря способности продуцировать противовоспалительные цитокины в ответ на распознавание в суставе компонентов поврежденного коллагена [11].
В ряде клинических исследований продемонстрировано, что НК2 уменьшает боль и тугоподвижность суставов при ОА как в экспериментальных моделях, так и у пациентов, страдающих данным заболеванием [12–14].
В систематическом обзоре R. Kumar и соавт. представлены результаты 8 РКИ (243 пациента с ОА КС). Работы продемонстрировали значимое улучшение показателей интенсивности боли по Визуальной аналоговой шкале (ВАШ) и функции суставов, оцениваемых по индексу WOMAC, при приеме НК2 по сравнению с плацебо (MD -1,65 [95% доверительный интервал – ДИ -2,77–-0,54; р=0,004]) и другими группами контроля (MD -8,91 [95% ДИ -13,74–-4,08; р=0,0003]). Доза НК2 40 мг/сут показала наибольшую эффективность по всем оцениваемым параметрам [15].
Таким образом, НК2 может стать одним из первых широко применяемых нутрицевтиков при ОА. Для получения собственного опыта в 2023 г. в ФГБНУ «НИИ ревматологии им. В.А. Насоновой» совместно с 11 центрами Российской Федерации проведено клиническое проспективное двойное слепое плацебо-контролируемое рандомизированное исследование по оценке эффективности и безопасности применения биологически активной добавки (БАД) к пище Артнео, содержащей неденатурированный куриный коллаген II типа у пациентов со II–III стадиями ОА КС. В исследовании приняли участие 212 пациентов: группа 1 «Aртнео» – 106 пациентов, группа 2 «Плацебо» – 106 пациентов. Результаты показали превосходство комбинации Артнео над плацебо по всем исследуемым параметрам: уменьшение боли, скованности, улучшение функционального состояния суставов и качества жизни.
В проведенном исследовании анализировались больные со II–III стадиями ОА, однако в обычной клинической практике нередко пациенты с более продвинутой стадией заболевания хуже отвечают на консервативную терапию. В связи с этим мы решили отдельно оценить эффективность «Артнео» у больных с III стадией ОА по сравнению с плацебо, что и явилось целью работы.
Материалы и методы
Из 212 пациентов, включенных в исследование, III рентгенологическая стадия ОА КС определялась у 50 больных, из которых 41 (82,0%) были лица женского и 9 (18,0 %) – мужского пола в возрасте от 44 до 75 лет.
Критерии включения/невключения в исследование, дизайн, клинико-лабораторно-инструментальные данные, методы статистической обработки и параметры оценки эффективности терапии подробно представлены в нашей предыдущей статье [16].
Исследуемая популяция случайным образом с использованием интерактивной системы веб-ответа (Interactive Web Response System – IWRS) была распределена в равном соотношении по двум группам: группа 1 «Aртнео» (А) – капсулы для приема внутрь комбинации НК2 (40 мг) + метилсульфонилметан (300 мг) + экстракт Boswellia serrata (босвеллиевые кислоты, 32,5 мг) + витамин С (80 мг) + витамин D3 (10 мкг) (ООО «НПО Петровакс Фарм», Россия) – 28 пациентов: прием препарата по 1 капсуле 1 раз в день в течение 6 мес; группа 2 «Плацебо» (П) – капсулы желатиновые (96 мг/95 мг) + магниевая соль стеариновой кислоты (магния стеарат, E470 – 4,850 мг/3 мг) + микрокристаллическая целлюлоза E460 (i) (до 585 мг) – 22 пациента: форма выпуска и режим приема идентичны 1-й группе.
Статистический анализ проводился в популяции всех пациентов, подлежащих лечению (intention-to-treat – ITT-популяция), и в популяции пациентов, завершивших лечение в соответствии с протоколом (per protocol – PP-популяция). В ITT-популяцию с III стадией ОА вошли 50 (100%) пациентов, в РР – 45 (90%). Результаты для ITT- и PP-популяций практически не различались, поэтому в дальнейшем приводятся данные анализа ITT-популяции. Исследование зарегистрировано на ClinicalTrials.gov ID NCT05975879.
Клиническая характеристика пациентов представлена в табл. 1.
Таблица 1. Демографическая характеристика пациентов с III стадией ОА КС Table 1. Demographic characteristics of patients with stage III knee osteoarthritis (OA) | |||
Параметр | Артнео (n=28)* | Плацебо (n=22)* | p-value** |
Пол, абс. (%): | 0,7 | ||
Женский | 22 (78,6) | 19 (86,4) | – |
Мужской | 6 (21,4) | 3 (13,6) | – |
Возраст, лет | 64,3±7,4 | 65,1±6,6 | 0,7 |
Рост, см | 167,1±7,6 | 166,2±7,5 | 0,7 |
Масса тела, кг | 78,4±9,6 | 77,1±7,2 | 0,6 |
Индекс массы тела, кг/м2 | 28,0±2,1 | 27,9±2,0 | 0,9 |
*n (%); среднее ± стандартное отклонение; **критерий хи-квадрат Пирсона; t-критерий Стьюдента. | |||
При оценке сопутствующей патологии 43 (86,0%) пациента сообщили о ее наличии: 25 (89,3%) – в группе А и 18 (81,8%) – в группе П. Наиболее часто в группе А регистрировались: гипертоническая болезнь – 75% случаев, дислипидемия – 17,9%, сахарный диабет 2-го типа – 21,4%. В группе П чаще регистрировались: гипертоническая болезнь – 63,6% случаев, заболевания желудочно-кишечного тракта – 4,5% и щитовидной железы – 9,1%.
Результаты
Результаты исследования продемонстрировали достижение первичной конечной точки и значительную положительную динамику по другим основным параметрам, оценивающим эффективность терапии. Так, проведенный ковариационный анализ (ANCOVA) показал, что изменение общего балла по шкале WOMAC-T (WOMAC – Western Ontario and McMaster Universities Osteoarthritis Index, опросник для оценки состояние больных ОА) на визите 7 (6 мес от начала исследования) по сравнению с исходным значением на визите 2 в группе А относительно аналогичного показателя в группе П составило -217 (95% ДИ -411–-24; p=0,028447). Эти результаты свидетельствуют о выраженном эффекте в группе исследуемой комбинации НК2, подтвержденном статистически значимым уменьшением общего балла по шкале WOMAC-T (табл. 2).
Таблица 2. Первичная конечная точка: изменение общего балла по шкале WOMAC (WOMAC-T) на визите 7 (день 180±4) от начала приема исследуемой БАД/плацебо по сравнению с базальным значением на визите 2 (день 1), ANCOVA (популяция РР) Table 2. The primary endpoint: change in WOMAC total score (WOMAC-T) at visit 7 (day 180±4) from the start of study supplement/placebo compared to the baseline value at visit 2 (day 1), ANCOVA | ||||||
Эффект | Оценка | Стандартная ошибка | p | Нижняя граница 95% ДИ | Верхняя граница 95% ДИ | Степень свободы |
Свободный член | 182,0178 | 191,7340 | 0,347886 | -204,9171 | 568,9527 | 42,0 |
(Group=«Артнео») | -217,6822 | 95,9246 | 0,028447 | -411,2658 | -24,0986 | 42,0 |
(Group=«Плацебо») | 0,0000 | 0,0000 | – | – | – | – |
Исходный уровень | -0,3875 | 0,1546 | 0,016139 | -0,6995 | -0,0756 | 42,0 |
При анализе вторичных конечных точек выявлены статистически значимые различия по всем исследуемым показателям между группами А и П: боль, скованность, функциональность суставов, симптомы и качество жизни.
При оценке изменений интенсивности боли продемонстрировано более значимое снижение баллов по шкале WOMAC-A в основной группе через 2, 4 и 6 мес (p<0,05) по сравнению с плацебо (рис. 1). Значимое улучшение состояния больных ОА, оцениваемое по индексу WOMAC-A (р<0,001, критерий Вилкоксона), по сравнению с исходным уровнем в группе А отмечалось уже к 30-му дню терапии и демонстрировало выраженную положительную динамику на протяжении всего последующего периода терапии. Таким образом, анальгетический эффект в группе А сохранялся до конца исследования. Напротив, в группе П баллы, оцениваемые по шкале боли, не отличалось достоверно от исходных величин практически на всем протяжении исследования и, достигнув статистически значимого уровня лишь к 6-му месяцу, оставались достоверно ниже аналогичного показателя группы А.
Рис. 1. Изменение балла по шкале боли WOMAC (WOMAC-A) от начала приема БАД/плацебо по сравнению с базальным значением.
Fig. 1. Change in the WOMAC pain score (WOMAC-A) from the start of supplement/placebo compared to the baseline.
В группе А по сравнению с группой П на визитах 5 и 6 зафиксировано значительное снижение уровня скованности по шкале WOMAC – WOMAC-В (p<0,05). Межгрупповая разница достигла максимума к 4-му месяцу.
В группе Артнео уже через 1 мес терапии отмечалось значительное снижение скованности по индексу WOMAC-В (p<0,05); рис. 2. Напротив, в группе П данный показатель оставался на исходном уровне вплоть до 6-го месяца терапии.
Рис. 2. Изменение балла по шкале скованности WOMAC (WOMAC-B) от начала приема БАД/плацебо по сравнению с базальным значением. На графиках представлены медианы.
Fig. 2. Change of the WOMAC stiffness score (WOMAC-B) from the start of supplement/placebo compared to the baseline. The plots show medians.
Анализ количества баллов по шкале функциональной недостаточности WOMAC (WOMAC-С) продемонстрировал статистически значимо меньшее количество баллов в группе А по сравнению с группой П на визите 6 (p=0,0374).
Динамика нарушений в повседневной деятельности, оцениваемая по изменению медианного значения балла по шкале функциональной недостаточности WOMAC (WOMAC-С), по сравнению с исходными значениями показала значимое снижение в группе А по сравнению с П уже через 3 мес (рис. 3). При этом значимое улучшение состояния больных ОА, оцениваемое по индексу WOMAC-С (p<0,05, критерий Вилкоксона), по сравнению с исходным уровнем в группе А отмечалось к 30-му дню терапии, в то время как в группе П достигло статистически значимых изменений только к 6-му месяцу.
Рис. 3. Изменение балла по шкале функциональной недостаточности WOMAC (WOMAC-C) от начала приема БАД/плацебо по сравнению с базальным значением. На графиках представлены медианы.
Fig. 3. Change in the WOMAC functional deficiency score (WOMAC-C) from the start of supplement/placebo compared to the baseline. The plots show medians.
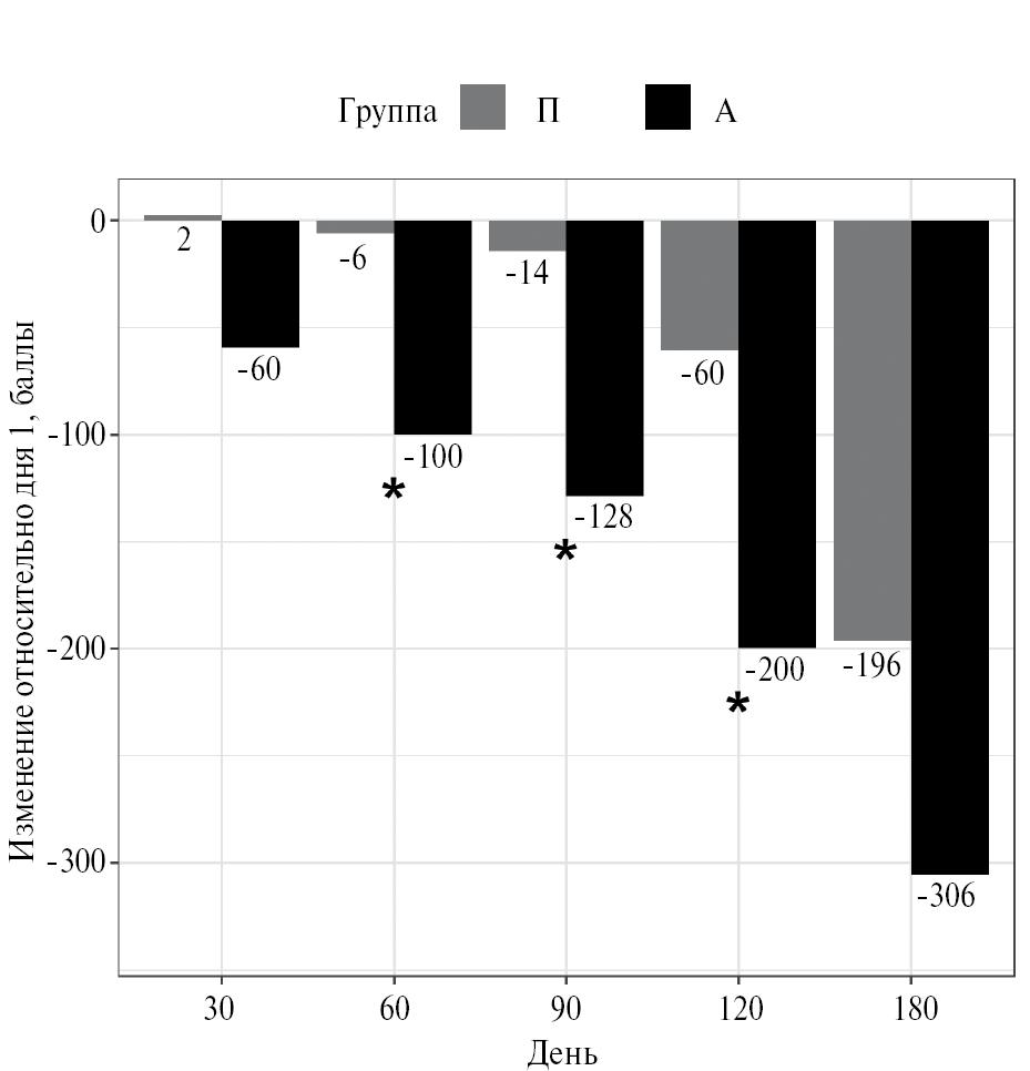
Суммарный показатель трех шкал (боли, скованности и функции), оцениваемый по общему баллу по шкале WOMAC (WOMAC-Т), снизился статистически значимо более выраженно в группе А по сравнению с группой П уже через 2 мес терапии. В последующие месяцы терапии превосходство исследуемой комбинации возрастало от визита к визиту (рис. 4).
Рис. 4. Изменение общего балла по шкале WOMAC (WOMAC-Т) от начала приема БАД/плацебо по сравнению с базальным значением. На графиках представлены медианы.
Fig. 4. Change of the total WOMAC score (WOMAC-T) from the start of supplement/placebo compared to the baseline. The plots show medians.
Динамика медианного значения балла по шкале функциональной недостаточности WOMAC (WOMAC-Т) показала значимое снижение нарушений в повседневной деятельности в группе А через 30 дней, в группе П значимое улучшение зафиксировано только к 6-му месяцу от начала исследования, что подтверждает высокую эффективность комбинации Артнео у пациентов с III стадией ОА.
При сравнении основных клинических показателей через 30, 60, 90, 120 и 180 дней терапии значимые отличия между группами с преобладанием в группе А отмечались на 4, 6 и 7-м визитах (через 60, 120 и 180 дней от начала лечения) при оценке боли, на 6-м визите (120 дней) – при оценке скованности, на 4, 5 и 6-м визитах (60, 90 и 120 дней) – функциональной недостаточности и на 4, 5, 6 и 7-м визитах (60, 90, 120 и 180 дней) – суммарного показателя. При анализе данных показателей внутри каждой группы наблюдались статистически значимые изменения на всех визитах в группе А с уровнем значимости р<0,001 и полное отсутствие динамики в группе П на протяжении первых 4 мес терапии, за исключением оценки по шкале боли, где значимость кратковременно проявилась к 3-му месяцу, но к 4-му опять исчезла. Волнообразный характер боли позволяет предположить ее связь с приемом анальгетиков. Таким образом, выраженная положительная динамика показателей боли, скованности и функции в группа А и ее отсутствие в группе П свидетельствуют о выраженном терапевтическом эффекте БАД.
Похожие результаты получены и при оценке шкалы KOOS (Knee Injury & Osteoarthritis Outcome Score – шкалы оценки функции КС и активности пациента в повседневной и активной спортивной жизни). Медианы количества баллов статистически значимо различалась между группами А и П на визитах 5, 6, 7 (p<0,05). При анализе изменения медианного значения индекса KOOS выявлено более выраженное значимое улучшение в группе А по сравнению с группой П с 30-го дня по сравнению с исходным значением (рис. 5).
Рис. 5. Изменение балла по шкале KOOS от начала приема БАД/плацебо по сравнению с базальным значением. На графиках представлены медианы.
Fig. 5. Change in the KOOS score from the start of supplement/placebo compared to the baseline. The plots show medians.
Анализ динамики баллов подшкалы симптомов KOOS выявил полное отсутствие каких-либо значимых изменений от уровня базальных значений в группе П и значимое улучшение на всем протяжении исследования начиная с 1-го месяца приема комбинации Артнео. Аналогичная картина отмечена и по подшкале КООS качество жизни.
При оценке общего состояния здоровья по опроснику EQ-5D динамика в группе А преобладала над динамикой группы П. Различия между группами были статистически значимы на визите 5 (90-й день; р=0,0499); табл. 3.
Таблица 3. Изменение оценки общего состояния здоровья относительно базального уровня по опроснику EQ-5D у пациентов с ОА КС III стадии Table 3. Assessment of overall health using the EQ-5D questionnaire in patients with stage III knee OA | |||
Визит | Артнео (n=28), Me (Q1; Q3) | Плацебо (n=22), Me (Q1; Q3) | p (U-критерий Манна–Уитни) |
Визит 3 (день 30±2) | 0 (0; 0,104) | 0 (0; 0) | 0,3830 |
Визит 4 (день 60±2) | 0,018 (0; 0,1735) | 0 (0; 0,03525) | 0,0810 |
Визит 5 (день 90±3) | 0,0615 (0; 0,173) | 0 (0; 0,06075) | 0,0499 |
Визит 6 (день 120±3) | 0,0345 (0; 0,175) | 0 (0; 0,071) | 0,2274 |
Визит 7 (день 180±4) | 0,104 (0; 0,2615) | 0,071 (0; 0,13125) | 0,3445 |
У пациентов с ОА из группы А по сравнению с группой П наблюдалось значимо более выраженное повышение оценки общего состояния здоровья по ВАШ относительно исходного уровня на визитах 5, 6, 7 (табл. 4).
Таблица 4. Изменение оценки общего состояния здоровья относительно базального уровня по ВАШ опросника EQ-5D у пациентов с ОА КС III стадии Table 4. Assessment of overall health using VAS of the EQ-5D questionnaire in patients with stage III knee OA | |||
Визит | Артнео (n=28), Me (Q1; Q3) | Плацебо (n=22), Me (Q1; Q3) | p (U-критерий Манна–Уитни) |
Визит 3 (день 30±2) | 3,5 (0; 10,75) | 4 (0; 7,5) | 0,7019 |
Визит 4 (день 60±2) | 6 (0,75; 10) | 5 (2,75; 7,75) | 0,7518 |
Визит 5 (день 90±3) | 10 (5; 16,25) | 5 (0; 9,75) | 0,0161 |
Визит 6 (день 120±3) | 13,5 (5,75; 21,25) | 7 (-3,75; 13) | 0,0387 |
Визит 7 (день 180±4) | 20 (13,75; 30) | 13,5 (10; 20) | 0,0444 |
При оценке потребности в приеме НПВП статистически значимых различий между группами не выявлено. Анализ выраженности синовита по результатам ультразвукового исследования целевого КС проводился на визите 7 по сравнению с исходным уровнем (на визите 2). Значимые межгрупповые различия не наблюдались.
Дополнительно проведен анализ доли пациентов, достигших критериев эффективности по шкале WOMAC на визите 5.
Доля пациентов, у которых отмечено улучшение (уменьшение количества баллов) по шкале боли WOMAC в целевом КС по крайней мере на 20% по сравнению с исходным уровнем (WOMAC_20P), по истечении 3 мес терапии была достоверно выше в группе А по сравнению с группой П.
По доле пациентов, у которых отмечено улучшение (уменьшение количества баллов) по шкале скованности в целевом суставе WOMAC_20Т, WOMAC_50Т, WOMAC_70Т, наблюдалась тенденция к увеличению в группе А. Это позволило достичь достоверно значимого повышения доли пациентов в группе А по сравнению с группой П с улучшением (снижением баллов) по суммарному показателю по шкале боли и по шкале скованности или шкале функциональных нарушений WOMAC в целевом КС по крайней мере на 20% по сравнению с исходным уровнем – WOMAC_20PFS.
Таким образом, на визите 5 (3 мес терапии) показана статистически значимо большая доля пациентов в группе А по сравнению с группой П, достигших по крайней мере 20% улучшения общего балла по шкале WOMAC и по крайней мере 20% улучшения по шкале боли и шкале скованности или шкале функциональных нарушений (WOMAC_20T, р=0,0024; WOMAC_20PFS, р=0,0112). Различия между группами по другим показателям были статистически незначимыми (р>0,05, двусторонний точный критерий Фишера); рис. 6.
Рис. 6. Доля пациентов, достигших критериев эффективности по шкале WOMAC на визите 5.
Fig. 6. Proportion of patients who met the efficacy criteria according to the WOMAC score at visit 5.
Таким образом, приведенные результаты показали превосходство применения Артнео над плацебо в отношении улучшения состояния пациентов с ОА КС как при оценке первичной конечной точки (шкала WOMAC-T на визите 7), так и вторичных конечных точек (оценка интенсивности боли, скованности, функциональных нарушений, оценка функционального состояния целевого сустава по шкале KOOS, оценка боли при ходьбе, оценка качества жизни по сравнению с исходным уровнем). Продемонстрировано статистически значимо более выраженное снижение интенсивности боли (шкала WOMAC-A) в основной группе по сравнению с группой П на визите 6, а при анализе изменения среднего балла по субшкале боли – на визитах 4, 6, 7 (p<0,05) по сравнению с исходным значением на визите 2 (день 1), уменьшение скованности (шкала WOMAC-В) на визитах 5 и 6, а при оценке изменения среднего балла – на визите 6 (р=0,0468). Значимо меньшее нарушение в повседневной деятельности (шкала WOMAC-С) отмечено на визите 6 (p=0,0374), при оценке изменения среднего балла на визитах 4, 5, 6 (p<0,05) по сравнению с исходным уровнем, более выраженное снижение общего балла по шкале WOMAC-T на визите 6, при оценке изменения среднего балла на визитах 4, 5, 6, 7 (p<0,05) по сравнению в визитом 2, значимо большая доля пациентов, достигших 50% улучшения общего балла по шкале WOMAC, по шкале боли и шкале скованности или шкале функциональных нарушений к визиту 7; достигших 20% улучшения общего балла по шкале WOMAC к визиту 7. Кроме того, показано статистически значимо более выраженное увеличение показателя оценки функционального состояния целевого сустава по шкале KOOS в основной группе по сравнению с группой П на визитах 5, 6, 7, а при анализе среднего значения – на визитах 3, 4, 5, 6 и 7 по сравнению с исходным значением на визите 2. Оценка качества жизни при приеме Артнео с использованием опросника EQ-5D показала статистически значимо более выраженное улучшение на визите 5 по сравнению с исходным уровнем. Случаев выбывания пациентов из исследования по причине необходимости назначения НПВП и иных обезболивающих лекарственных препаратов (за исключением препарата «спасения» ибупрофена в дозах до 1200 мг/сут) не отмечено.
За весь период исследования зарегистрировано 7 НЯ у 5 (10,0%) пациентов: 6 НЯ у 4 (14,3%) пациентов в группе A и 1 НЯ у 1 (4,5%) пациента в группе П. Все были охарактеризованы как легкой степени тяжести, ни одно НЯ не классифицировано как серьезное или связанное с приемом комбинации Артнео.
Для статистики по НЯ были рассчитаны уровни значимости межгрупповых различий. Анализ с помощью двустороннего точного теста Фишера не выявил значимой разницы между группами терапии по числу пациентов с НЯ (р=0,7).
Наиболее частыми НЯ в основной группе были мышечно-суставные проявления, вероятно, связанные с основным заболеванием, и жалобы на ринит; в группе П зарегистрировано 1 НЯ – артралгии.
В исследовании на визитах 1 и 7 проводилась оценка лабораторных параметров клинического и биохимического анализов крови, общего анализа мочи. В обеих группах ни по одному из показателей не зарегистрировано клинически значимых отклонений от нормы. Таким образом, оценка жизненно важных параметров, физикального осмотра и лабораторных показателей продемонстрировала благоприятный профиль безопасности Артнео, не отличающийся от плацебо.
Обсуждение
Результаты нашего исследования продемонстрировали значимое положительное влияние Артнео на снижение боли, скованности в суставах и улучшение функциональной способности и качества жизни у пациентов с ОА КС по сравнению с плацебо не только в основной когорте (n=212), но и в группе с III стадией заболевания (n=50). У пациентов в группе с III стадией ОА по сравнению с плацебо обнаружены статистически значимые улучшения функционального состояния суставов по шкале KOOS уже через 30 дней терапии, что расширяет возможности назначения эффективной терапии БАД Артнео у лиц с продвинутыми стадиями ОА.
В конце августа 2023 г. в ФГБНУ «НИИ ревматологии им. В.А. Насоновой» по результатам проведенной работы состоялось заседание Совета экспертов с участием главных исследователей и соисследователей по данному протоколу. Итогом заседания стала разработка согласованной позиции в отношении возможности и целесообразности использования комбинации НК2, метилсульфонилметана, босвеллиевых кислот, витаминов С и D (комбинация Артнео) в клинической практике. Учитывая результаты многоцентрового исследования, участники экспертного совета постановили, что применение Артнео в составе комплексной терапии у пациентов с ОА может быть рекомендовано курсом до 6 мес [17].
Буквально через несколько дней, в начале сентября 2023 г., в Санкт-Петербурге на открытом междисциплинарном заседании Совета экспертов при участии ведущих специалистов в области ревматологии, травматологии и других дисциплин, связанных с оказанием медицинской помощи пациентам с ОА, обсуждался вопрос перспективного применения Артнео в составе комплексной терапии данного заболевания. Эксперты заключили, что БАД Артнео не только не уступает по эффективности комбинации ХС и глюкозамина гидрохлорида (ГГ), но и превосходит ее по таким показателям, как уменьшение признаков синовита по данным магнитно-резонансной томографии и динамика снижения тяжести течения ОА по индексу Лекена.
Доказанная эффективность и высокий профиль безопасности заслуживают пристального внимания медицинского сообщества и активного внедрения комбинации БАД Артнео в амбулаторную практику врача, в первую очередь при лечении пациентов с признаками малого или умеренного синовита и/или с отягощенным коморбидным фоном [18].
Данные рекомендации сделаны на основании проведенного ранее исследования, целью которого была оценка эффективности Артнео в сравнении с комбинацией ХС и ГГ при участии 70 пациентов с ОА КС [19].
Подобные результаты получены и в другом РКИ при сравнении НК2 с комбинацией ХС+ГГ или плацебо. Длительность исследования составила 180 дней, участвовал 191 пациент с ОА КС. Эффективность проводимой терапии оценивалась по динамике боли по ВАШ, индексам WOMAC и Лекена. В конце периода наблюдения в группе НК2 продемонстрировано значимое снижение общего показателя WOMAC по сравнению с плацебо (p=0,002) и ХС+ГГ (p=0,04) и всех его составляющих: боли (p=0,0003 по сравнению с плацебо, p=0,016 по сравнению с ХС+ГГ), скованности (p=0,004 по сравнению с плацебо, p=0,044 по сравнению с ХС+ГГ), физической функции (p=0,007 по сравнению с плацебо). Показатели безопасности не различались между группами. Как и в нашей работе, не зарегистрировано клинически или статистически значимых изменений ни в одном из результатов анализов крови и мочи или жизненно важных показателей [13].
В настоящее время обсуждаются перспективы клинического применения НК2. Пероральное введение НК2 посредством индукции механизмов оральной толерантности демонстрирует перспективность в облегчении воспаления суставов и боли у пациентов как с ОА, так и с ревматоидным артритом. Отмечено, что НК2 может значительно облегчить воспаление и боль в суставах, хорошо переносится пациентами и имеет минимальные побочные эффекты, что демонстрирует его потенциал как эффективного и безопасного средства для лечения заболеваний суставов [20].
Помимо хорошей результативности и безопасности комбинация Артнео характеризуется приемлемой экономической эффективностью. После окончания нашего исследования на общей выборке пациентов проведена оценка эффективности затрат на курс приема данной комбинации НК2. В качестве критерия клинической эффективности использовался универсальный показатель – количество лет жизни с учетом качества (QALY). Расчет осуществлялся с помощью калькулятора, включающего показатели по WOMAC-A, WOMAC-B и WOMAC-С, а также возраст и пол пациентов [21].
Расчет на 1 QALY подходит для любых медицинских вмешательств, поскольку каждое из них влияет либо на продолжительность жизни, либо на ее качество, либо на оба этих параметра. Официально установленный порог готовности платить за 1 QALY в РФ в настоящее время отсутствует. В соответствии с рекомендациями ВОЗ, если дополнительные затраты на то или иное медицинское вмешательство в расчете на 1 QALY не превышают утроенную величину валового внутреннего продукта (ВВП) на душу населения, оно может рассматриваться как экономически эффективное, а при дополнительных затратах на 1 QALY, не превышающих однократную величину ВВП на душу населения, – как экономически высокоэффективное [22]. На основании полученных результатов анализа эффективность инкрементальных затрат на курс комбинации НК2 с босвеллиевыми кислотами и метилсульфонилметаном, витаминами D3 и С составила 1858,8 тыс. руб./QALY. Поскольку в 2023 г. в РФ ВВП на душу населения составил 1176,687 тыс. руб., в соответствии с рекомендациями ВОЗ терапия ОА КС, включающая комбинацию Артнео, может рассматриваться в качестве экономически приемлемого вмешательства (затраты на 1 QALY – 158% ВВП на душу населения).
Таким образом, по данным современной литературы и наших результатов комбинация Артнео может рекомендоваться как безопасное и эффективное средство для поддержания здоровья суставов у пациентов как в общей популяции, так и с продвинутой III стадией ОА КС. Его можно использовать как самостоятельно, так и в качестве комплексной терапии, и рекомендовать к широкому внедрению в клиническую практику.
Заключение
Комплекс Артнео в нашем исследовании продемонстрировал высокую эффективность и безопасность применения у пациентов с ОА КС III стадии. Комбинация Артнео оказывает значимое влияние на уменьшение боли, скованности в суставах, улучшение функциональной способности и качества жизни по сравнению с плацебо, а кроме того, обладает приемлемой экономической эффективностью, что позволяет рекомендовать ее в комплексной терапии пациентам даже на поздней стадии ОА.
Раскрытие интересов. В подготовке исследования принимала участие компания ООО «Петровакс». При подготовке рукописи авторы сохранили независимость мнений.
Disclosure of interest. The company "Petrovax", LLC took part in the preparation of the study. During the preparation of the manuscript, the authors maintained their independence of opinion.
Вклад авторов. Авторы декларируют соответствие своего авторства международным критериям ICMJE. Все авторы в равной степени участвовали в подготовке публикации: разработка концепции статьи, получение и анализ фактических данных, написание и редактирование текста статьи, проверка и утверждение текста статьи.
Authors’ contribution. The authors declare the compliance of their authorship according to the international ICMJE criteria. All authors made a substantial contribution to the conception of the work, acquisition, analysis, interpretation of data for the work, drafting and revising the work, final approval of the version to be published and agree to be accountable for all aspects of the work.
Источник финансирования. Материал подготовлен при финансовой поддержке компании ООО «Петровакс».
Funding source. This article was prepared with support of "Petrovax", LLC.
Статья подготовлена в рамках научно-исследовательской работы ФГБНУ «Научно-исследовательский институт ревматологии им. В.А. Насоновой». Государственное задание №1021051403074-2.
About the authors
Liudmila I. Alekseeva
Nasonova Research Institute of Rheumatology; Russian Medical Academy of Continuous Professional Education
Email: nat-kash@yandex.ru
ORCID iD: 0000-0001-7017-0898
д-р мед. наук, нач. отд. метаболических заболеваний костей и суставов, проф. каф. ревматологии
Russian Federation, Moscow; MoscowNatalia G. Kashevarova
Nasonova Research Institute of Rheumatology
Author for correspondence.
Email: nat-kash@yandex.ru
ORCID iD: 0000-0001-8732-2720
канд. мед. наук, науч. сотр. отд. метаболических заболеваний костей и суставов
Russian Federation, MoscowElena A. Taskina
Nasonova Research Institute of Rheumatology
Email: nat-kash@yandex.ru
ORCID iD: 0000-0001-8218-3223
канд. мед. наук, ст. науч. сотр. отд. метаболических заболеваний костей и суставов
Russian Federation, MoscowEkaterina A. Strebkova
Nasonova Research Institute of Rheumatology
Email: nat-kash@yandex.ru
ORCID iD: 0000-0001-8130-5081
канд. мед. наук, науч. сотр. отд. метаболических заболеваний костей и суставов
Russian Federation, MoscowTatiana A. Korotkova
Nasonova Research Institute of Rheumatology
Email: nat-kash@yandex.ru
ORCID iD: 0000-0003-0394-9249
канд. мед. наук, зав. 1-м ревматологическим отд-нием с терапевтическими койками
Russian Federation, MoscowEvgenia P. Sharapova
Nasonova Research Institute of Rheumatology
Email: nat-kash@yandex.ru
ORCID iD: 0000-0003-4242-8278
канд. мед. наук, науч. сотр. отд. метаболических заболеваний костей и суставов
Russian Federation, MoscowNatalya M. Savushkina
Nasonova Research Institute of Rheumatology
Email: nat-kash@yandex.ru
ORCID iD: 0000-0001-8562-6077
канд. мед. наук, науч. сотр. отд. метаболических заболеваний костей и суставов
Russian Federation, MoscowAleksander M. Lila
Nasonova Research Institute of Rheumatology; Russian Medical Academy of Continuous Professional Education
Email: nat-kash@yandex.ru
ORCID iD: 0000-0002-6068-3080
чл.-кор. РАН, д-р мед. наук, проф., дир., зав. каф. ревматологии
Russian Federation, Moscow; MoscowNadezhda A. Shostak
Pirogov Russian National Research Medical University (Pirogov University)
Email: nat-kash@yandex.ru
ORCID iD: 0000-0003-4669-1006
д-р мед. наук., проф., почетный профессор, проф. каф. факультетской терапии им. акад. А.И. Нестерова
Russian Federation, MoscowIrina I. Nesterovich
«Meili», LLC
Email: nat-kash@yandex.ru
ORCID iD: 0000-0002-3199-9537
д-р мед. наук
Russian Federation, Saint PetersburgViktoriia A. Dedkova
«Research Center "Eco-safety"», LLC
Email: nat-kash@yandex.ru
врач-терапевт
Russian Federation, Saint PetersburgVasiliy B. Vasilyuk
«Research Center "Eco-safety"», LLC
Email: nat-kash@yandex.ru
ORCID iD: 0000-0003-2503-4402
д-р мед. наук, проф., рук. госпиталя
Russian Federation, Saint PetersburgNatalia V. Egorova
«Health Energy», LLC
Email: nat-kash@yandex.ru
глав. врач
Russian Federation, Saint PetersburgMarina A. Leontyeva
«Zvezdnaya Clinic», LLC
Email: nat-kash@yandex.ru
врач-кардиолог отд. клинических исследований
Russian Federation, Saint PetersburgSvetlana P. Yakupova
NIMK “Your Health», LLC
Email: nat-kash@yandex.ru
ORCID iD: 0000-0002-8590-4839
канд. мед. наук
Russian Federation, KazanIrina B. Vinogradova
Ulyanovsk Regional Clinical Hospital
Email: nat-kash@yandex.ru
ORCID iD: 0000-0001-5052-912X
канд. мед. наук, зав. ревматологическим центром
Russian Federation, UlyanovskValentina N. Sorotskaya
Tula Regional Clinical Dermatovenerological Dispensary
Email: nat-kash@yandex.ru
ORCID iD: 0000-0003-3684-7310
д-р мед. наук
Russian Federation, TulaLarisa I. Shirokova
Institute of Professional Training
Email: nat-kash@yandex.ru
д-р мед. наук
Russian Federation, YaroslavlAlla V. Rudakova
Saint Petersburg State Chemical-Pharmaceutical University; Children's Scientific and Clinical Center for Infectious Diseases of the Federal Medical and Biological Agency of Russia
Email: nat-kash@yandex.ru
ORCID iD: 0000-0003-0442-783X
д-р фарм. наук, проф. каф. управления и экономики фармации, ст. науч. сотр. вакцинопрофилактики и поствакцинальной патологии
Russian Federation, Saint Petersburg; Saint PetersburgReferences
- Steinmetz JD, Culbreth GT, Haile LM, et al. Global, regional, and national burden of osteoarthritis, 1990–2020 and projections to 2050: A systematic analysis for the Global Burden of Disease Study 2021. Lancet Rheumatol. 2023;5:e508-e522. doi: 10.1016/S2665-9913(23)00163-7
- Decade of Healthy Ageing Decade of healthy ageing. 2020–30. Available at: https://www.who.int/initiatives/decade-of-healthy-ageing. Accessed: 16.12.2024.
- Snoeker B, Turkiewicz A, Magnusson K, et al. Risk of knee osteoarthritis after different types of knee injuries in young adults: a population-based cohort study. Br J Sports Med. 2020;54:725-30. doi: 10.1136/bjsports-2019-100959
- Persson M, Stocks J, Varadi G, et al. Predicting response to topical non-steroidal anti-inflammatory drugs in osteoarthritis: An individual patient data meta-analysis of randomized controlled trials. Rheumatology. 2020;59:2207-16.
- Kolasinski SL, Neogi T, Hochberg MC, et al. 2019 American College of Rheumatology/Arthritis Foundation guideline for the management of osteoarthritis of the hand, hip, and knee. Arthritis Rheumatol. 2020;72:220-33. doi: 10.1002/art.41142
- Cao P, Li Y, Tang Y, et al. Pharmacotherapy for knee osteoarthritis: current and emerging therapies. Expert Opin Pharmacother. 2020;21:797-809. doi: 10.1080/14656566.2020.1732924
- Brophy RH, Fillingham YA. AAOS clinical practice guideline summary: management of osteoarthritis of the knee (nonarthroplasty), third edition. J Am Acad Orthop Surg. 2022;30:e721-9. doi: 10.5435/JAAOS-D-21-01233
- Martínez-Puig D, Costa-Larrión E, Rubio-Rodríguez N, Gálvez-Martín P. Collagen Supplementation for Joint Health: The Link between Composition and Scientific Knowledge. Nutrients. 2023;15(6). doi: 10.3390/nu15061332
- Bagchi D, Misner B, Bagchi M, et al. Effects of orally administered undenatured type II collagen against arthritic inflammatory diseases: a mechanistic exploration. Int J Clin Pharm Res. 2002;22:101-10.
- Bann JG, Peyton DH, Bachinger HP. Sweet is stable: glycosylation stabilizes collagen. FEBS Lett. 2000;473:237-40. doi: 10.1016/S0014-5793(00)01493-9
- Corthay A, Bäcklund J, Broddefalk J, et al. Epitope glycosylation plays a critical role for T cell recognition of type II collagen in collagen-induced arthritis. Eur J Immunol. 1998;28(8):2580-90. doi: 10.1002/(SICI)1521-4141(199808)28:08<2580::AID-IMMU2580>3.0.CO;2-X
- Bagi CM, Berryman ER, Teo S, Lane NE. Oral administration of undenatured native chicken type II collagen (UC-II) diminished deterioration of articular cartilage in a rat model of osteoarthritis (OA) Osteoarthr Cartil. 2017;25:2080-90. doi: 10.1016/j.joca.2017.08.013
- Lugo JP, Saiyed ZM, Lane NE. Efficacy and tolerability of an undenatured type II collagen supplement in modulating knee osteoarthritis symptoms: a multicenter randomized, double-blind, placebo-controlled study. Nutr J. 2016;15:14. doi: 10.1186/s12937-016-0130-8
- Rui F, Jiawei K, Yuntao H, et al. Undenatured type II collagen prevents and treats osteoarthritis and motor function degradation in T2DM patients and db/db mice. Food Funct. 2021;12:4373-91. doi: 10.1039/D0FO03011B
- Kumar P, Bansal P, Rajnish RK, at al. Efficacy of undenatured collagen in knee osteoarthritis: review of the literature with limited meta-analysis. Am J Transl Res. 2023;15(9):5545-55.
- Алексеева Л.И., Кашеварова Н.Г., Таскина Е.А., и др. Эффективность и безопасность применения неденатурированного коллагена II типа у пациентов с остеоартритом коленных суставов: многоцентровое проспективное двойное слепое плацебо-контролируемое рандомизированное исследование. Терапевтический архив. 2024;96(5):500-10 [Alekseeva LI, Kashevarova NG, Taskina EA, et al. Efficacy and safety of undenatured type II collagen in patients with knee osteoarthritis: a multicenter, prospective, double-blind, placebo-controlled, randomized trial. Terapevticheskii Arkhiv (Ter. Arkh.). 2024;96(5):500-10 (in Russian)]. doi: 10.26442/00403660.2024.05.202788
- Лила А.М., Алексеева Л.И., Беляева И.Б., и др. Резолюция Совета экспертов «Итоги многоцентрового рандомизированного двойного слепого плацебо-контролируемого исследования Артнео у пациентов с первичным остеоартритом коленного сустава II–III стадии. Современная ревматология. 2023;17(6):136-42 [Lila AM, Alekseeva LI, Belyaeva IB, et al. Resolution of the Council of Experts “Results of a multicenter, randomized, double-blind, placebo-controlled study of ARTNEO in patients with stage II–III primary knee osteoarthritis”. Sovremennaya Revmatologiya=Modern Rheumatology Journal. 2023;17(6):136-42 (in Russian)]. doi: 10.14412/1996-7012-2023-6-136-142
- Мазуров В.И., Алексеева Л.И., Беляева И.Б., и др. Эффективность, безопасность и перспективы применения комбинации нативного коллагена II типа, метилсульфонилметана, босвеллиевых кислот, витаминов С и D3 при остеоартрите коленных суставов: резолюция Совета экспертов. Терапевтический архив. 2024;96(1):68-74 [Mazurov VI, Alekseeva LI, Belyaeva IB, et al. Efficacy, safety and prospects of using a combination of native type II collagen, methylsulfonylmethane, boswellic acids, vitamin C and vitamin D3 in knee osteoarthritis: a resolution of the Expert panel. Terapevticheskii Arkhiv (Ter. Arkh.). 2024;96(1):68-74 (in Russian)]. doi: 10.26442/00403660.2024.01.202590
- Мазуров В.И., Беляева И.Б., Трофимов Е.А., и др. Сравнение эффективности комбинации неденатурированного коллагена II типа, босвеллиевых кислот, метилсульфонилметана, витаминов С и D3 и комбинации хондроитина сульфата и глюкозамина гидрохлорида в терапии первичного остеоартрита коленного сустава. Терапевтический архив. 2023;95(12):1141-50 [Mazurov VI, Belyaeva IB, Trofimov EA, et al. Comparative efficacy of a combination of undenatured type II collagen, Boswellic acids, methylsulfonylmethane, vitamins C and D3 and a combination of chondroitin sulfate and glucosamine hydrochloride in the treatment of primary osteoarthritis of the knee joint. Terapevticheskii Arkhiv (Ter. Arkh.). 2023;95(12):1141-50 (in Russian)]. doi: 10.26442/00403660.2023.12.202540
- Zhou Y, Zhang Y, Dai H, et al. The potential of undenatured type II collagen against arthritis: a review. Collagen & Leather. 2024;6. doi: 10.1186/s42825-024-00160-y
- Wailoo A, Hernandez Alava M, Escobar Martinez A. Modelling the relationship between the WOMAC Osteoarthritis Index and EQ-5D. Health Qual Life Outcomes. 2014;12:37. doi: 10.1186/1477-7525-12-37
- Macroeconomics and health: Investing in health for economic development. Report of the commission on macroeconomics and health to the WHO. Geneva; 2001. Available at: http://apps.who.int/iris/bitstream/10665/42435/1/924154550X.pdf. Accessed: 16.12.2024.
Supplementary files








