Combination of statin and ezetimibe in the post-infarction period
- Authors: Oleynikov V.E.1, Salyamova L.I.1, Sherbinina A.V.1, Golubeva A.V.1, Alimov N.V.1
-
Affiliations:
- Penza State University
- Issue: Vol 96, No 12 (2024): Vario (various)
- Pages: 1168-1174
- Section: Original articles
- Submitted: 19.10.2024
- Accepted: 19.10.2024
- Published: 27.12.2024
- URL: https://ter-arkhiv.ru/0040-3660/article/view/637242
- DOI: https://doi.org/10.26442/00403660.2024.12.203077
- ID: 637242
Cite item
Full Text
Abstract
Aim. To study the lipid-lowering and pleiotropic effects of statin monotherapy and combination with ezetimibe in patients in the postinfarction period, depending on the achievement of the target level of low-density lipoprotein cholesterol (LDL cholesterol) for 24 weeks.
Materials and methods. 114 patients with myocardial infarction were included. Treatment was started with statin monotherapy, with insufficient efficacy, ezetimibe was added. After 24 weeks, the 1st group included 38 people, the 2nd – 76 patients. On 7–10th days and 24 weeks later, the lipid profile, the N-terminal fragment of the precursor of the cerebral natriuretic peptide (NT-proBNP) were determined, speckle-tracking echocardiography, ultrasound examination of the carotid arteries (CA) with RF technology were performed.
Results. At week 24, the patients were divided depending on the achievement/non-achievement of the LDL cholesterol target. The highly effective therapy group (HET) included 52 patients, the insufficiently effective therapy group (IET) consisted of 62 people. The ratio of the chances of achieving LDL cholesterol with the addition of ezetimibe to a statin was 3.4 [1.8; 6.6] (p<0.001). In the HET group, by the 24th week, NT-proBNP decreased by 59.6% (p=0.045); in the IET group – by 52.2% (p=0.042). According to echocardiography data, after 24 weeks in the HET group, an increase in global constructive work GCW by 9.1% (p=0.036) and the global work index GWI by 8.2% (p=0.041) was revealed without dynamics of indicators in the comparison group. In the study of the CA, the thickness of the intima-media complex in the HET and IET groups regressed by 9.5% and 6.8% respectively (p<0.05). Only in the HET group did the common CA stiffness indicators improve.
Conclusion. The achievement of LDL cholesterol control on the background of combined lipid-lowering therapy in patients in the postinfarction period is characterized by the most pronounced organoprotective effect.
Keywords
Full Text
Список сокращений
ВЭТ – высокоэффективная терапия
ИМ – инфаркт миокарда
ИММ – индекс массы миокарда
ЛВП – липопротеиды высокой плотности
ЛЖ – левый желудочек
ЛНП – липопротеиды низкой плотности
НЭТ – недостаточно эффективная терапия
ОСА – общие сонные артерии
ОТС – относительная толщина стенок
ОХС – общий холестерин
СДао – систолическое давление в аорте
СН – сердечная недостаточность
СРПВкр – каротидно-радиальная скорость распространения пульсовой волны
СРПВкф – каротидно-феморальная скорость распространения пульсовой волны
ТГ – триглицериды
ТКИМ – толщина комплекса интима–медиа
УЗИ – ультразвуковое исследование
ХС – холестерин
ХС неЛВП – липопротеиды невысокой плотности
ЦУ – целевой уровень
ЭхоКГ – эхокардиография
GCW (Global Constructive Work) – глобальная конструктивная работа
GWI (Global Work Index) – индекс глобальной работы
GWE (Global Work Efficiency) – эффективность глобальной работы
GWW – потерянная работа
NT-proBNP – N-терминальный фрагмент предшественника мозгового натрийуретического пептида
Введение
Инфаркт миокарда (ИМ), представляя собой одну из жизнеугрожающих форм ишемической болезни сердца в связи с высокой инвалидизацией и смертностью, оказывает колоссальное влияние на систему здравоохранения [1]. Проблема касается не только развивающихся, но и развитых стран, и ежегодно затрагивает около 4 млн человек в США и наносит убыток в 85 млрд дол. США [2]. В России ежегодный экономический ущерб от ИМ составляет 213,2 млрд руб., причем большая часть затрат связана с потерей трудоспособности и смертностью населения, а меньшая – с прямыми расходами на оказание медицинской помощи [3].
В настоящее время определены меры вторичной профилактики сердечно-сосудистых осложнений после ИМ, среди которых принципиально важной остается коррекция дислипидемии [4].
Повышенный уровень холестерина (ХС) липопротеидов низкой плотности (ЛНП) является ключевым маркером развития и прогрессирования атеросклероза, который ассоциирован с эндотелиальной дисфункцией, увеличением артериальной жесткости, ремоделированием сердца [5, 6]. В ряде исследований снижение ХС ЛНП<1,4 ммоль/л ассоциировали с меньшей частотой сердечно-сосудистых событий по сравнению с целевым уровнем (ЦУ) показателя <1,8 ммоль/л [7, 8], что легло в основу актуальных клинических рекомендаций по ведению пациентов очень высокого риска [9, 10].
Главными инструментами в лечении дислипидемии остаются препараты из группы ингибиторов 3-гидрокси-3-метилглутарил-кофермента А редуктазы (статины), которые обладают не только выраженным гиполипидемическим действием, но и множеством плейотропных эффектов. При недостижении ЦУ атерогенной фракции липидов, что наблюдается нередко, рекомендовано добавление эзетимиба для дополнительного снижения сердечно-сосудистого риска [9, 10].
Ранее продемонстрирована связь между успешным лечением аторвастатином и торможением патологического ремоделирования левого желудочка (ЛЖ), снижением показателей жесткости артерий различного калибра, сопровождавшимися улучшением качества жизни и прогноза у больных с ИМ [11–13]. Между тем роль достижения ЦУ ХС ЛНП в обеспечении многогранной органопротекции при комбинированной гиполипидемической терапии недостаточно освещена в научной литературе.
Цель исследования – изучить липидснижающий, плейотропные эффекты монотерапии статинами и комбинации с эзетимибом у пациентов в постинфарктном периоде в зависимости от достижения ЦУ ХС ЛНП на протяжении 24 нед наблюдения.
Материалы и методы
В одноцентровое открытое проспективное клиническое исследование «КОНТРАST-2» вошли 128 больных с ИМ с подъемом/без подъема сегмента ST, госпитализированных в отделение кардиологии с палатой реанимации и интенсивной терапии. Протокол и образцы исходной документации одобрены локальным этическим комитетом, все больные подписали информированное согласие. Исследование зарегистрировано на сайте СlinicalTrials.gov (NCT04347434).
Критерии включения: возраст 30–70 лет, ИМ, лабораторно верифицированный некроз миокарда (высокочувствительный тропонин Т/I), 12-канальная электрокардиограмма, по данным коронароангиографии – гемодинамически значимый стеноз симптом-связанной артерии.
Критерии исключения: повторный или рецидивирующий ИМ, сахарный диабет 1-го или 2-го типа, корригируемый инсулином, стеноз ствола левой коронарной артерии >30%, хроническая сердечная недостаточность (СН) III–IV функционального класса в анамнезе, острая СН по Killip III–IV, активные заболевания печени, повышение сывороточных аминотрансфераз, хроническая болезнь почек выше 3б-стадии, другие тяжелые сопутствующие заболевания, индекс массы тела ≥35 кг/м2, индивидуальная непереносимость статинов, эзетимиба.
Медикаментозную терапию назначали в соответствии с клиническими рекомендациями [9, 10]. Все пациенты получали аторвастатин 80 мг/сут или розувастатин 40 мг/сут. При недостижении ЦУ ХС ЛНП (<1,4 ммоль/л и снижение на 50% и более от исходных значений) через 6 нед к терапии добавляли ингибитор всасывания эндо- и экзогенного холестерина в кишечнике эзетимиб 10 мг/сут (Отрио, производитель – АО «АКРИХИН»). Указанные гиполипидемические препараты больные получали безвозмездно на протяжении 24 нед.
На 7–10-е сутки и через 24 нед от развития ИМ проводили комплексное клинико-лабораторное и инструментальное обследование.
На биохимическом анализаторе AU680 («Beckman Coulter», США) определяли концентрацию общего ХС (ОХС), ХС липопротеидов высокой плотности (ЛВП), триглицеридов (ТГ). ХС ЛНП рассчитывали по формуле Фридвальда, холестерин липопротеидов невысокой плотности (ХС неЛВП) – как разность между ОХС и ХС ЛВП. С помощью иммуноферментного анализатора Infinite F50 («Tecan», Австрия) определяли N-терминальный фрагмент предшественника мозгового натрийуретического пептида (NT-proBNP). Для анализа показателя использовали референсные значения с учетом возраста и пола.
Спекл-трекинг эхокардиографию (ЭхоКГ) выполняли на ультразвуковом аппарате Vivid E95 (GE Healthcare, США). Определяли конечный диастолический и систолический объемы, фракцию выброса ЛЖ, индекс массы миокарда (ИММ) ЛЖ и относительную толщину стенок (ОТС) ЛЖ. С помощью программы EchoPac рассчитывали эффективность глобальной работы (Global Work Efficiency – GWE) и индекс глобальной работы (Global Work Index – GWI), глобальную конструктивную (Global Constructive Work – GCW) и потерянную работу (GWW).
Локальную жесткость общих сонных артерий (ОСА) оценивали с помощью ультразвукового исследования (УЗИ) технологией RF (MyLab «Esaote», Италия). Измеряли толщину комплекса интима–медиа (ТКИМ), коэффициенты поперечной растяжимости и податливости, индексы жесткости α и β.
Методом аппланационной тонометрии на приборе Sphygmocor («AtCor Medical», Австралия) регистрировали диастолическое и систолическое давление в аорте (СДао), каротидно-феморальную (СРПВкф) и каротидно-радиальную скорость (СРПВкр) распространения пульсовой волны.
Для статистической обработки результатов использовали программу Statistica 13.0. При правильном распределении данные представлены в виде M±SD, при неправильном – в виде медианы (Q25%; Q75%). Внутри- и межгрупповой анализ нормально распределенных показателей проводили с помощью критерия Стьюдента. Сравнение значений с неправильным распределением в 2 группах осуществляли с использованием критерия Манна–Уитни, внутригрупповую динамику оценивали с помощью критерия Уилкоксона. Качественные показатели анализировали с помощью хи-квадрата. Рассчитывали отношение шансов с указанием 95% доверительного интервала. В качестве порога статистической значимости принимали значение p<0,05.
Результаты
Исследование завершили 114 (89%) человек. Причины выбывания 2 больных – смерть из-за острой декомпенсации хронической СН и смена места жительства, 12 человек – низкая приверженность лечению и/или соблюдению графика визитов.
В соответствии с дизайном исследования лечение начинали с монотерапии статинами. При недостаточной эффективности добавляли эзетимиб, что привело к формированию групп моно- и комбинированной терапии (рис. 1).
Рис. 1. Распределение больных в группы ВЭТ и НЭТ.
Fig. 1. Distribution of patients into groups of highly effective therapy and insufficiently effective therapy.
На 6-й неделе терапии только 33% пациентов достигли целевого уровня ХС ЛНП. Остальных 67% пациентов перевели на комбинированную терапию статин + эзетимиб. На 24-й неделе в группе монотерапии произошло ускользание эффекта, т.е. эти пациенты не достигли ЦУ, а в группе комбинированной терапии достигли ЦУ 42% человек. Фактически применение только статинов в высоких дозах сопровождалось снижением атерогенной фракции липидов ниже пороговых значений лишь в 17,5% случаев. Отношение шансов достижения ЦУ ХС ЛНП при добавлении эзетимиба к статину по сравнению с монотерапией статином составило 3,4 [95% доверительный интервал 1,8–6,6] (р<0,001).
На 24-й неделе больных разделили в зависимости от достижения/недостижения ЦУ ХС ЛНП. В группу высокоэффективной терапии (ВЭТ) вошли 52 (45,6%) пациента, в группу недостаточно эффективной терапии (НЭТ) – 62 (54,4%). Характеристика групп представлена в табл. 1.
Таблица 1. Характеристика групп
Table 1. Characteristics of the groups
Показатель | Группа ВЭТ (n=52) | Группа НЭТ (n=62) | p* |
Возраст, лет | 57,5 (49; 61) | 59 (54; 63) | 0,110 |
Мужчины, абс. (%) | 50 (96,2) | 55 (88,7) | 0,139 |
Женщины, абс. (%) | 2 (3,8) | 7 (11,3) | |
Индекс массы тела, кг/м2 | 27,7±4,2 | 27,4±3,7 | 0,726 |
Ишемическая болезнь сердца в анамнезе, абс. (%) | 14 (26,9) | 15 (24,2) | 0,742 |
Артериальная гипертензия в анамнезе / выявленная впервые, абс. (%) | 49 (94,2) | 58 (93,5) | 0,877 |
Сахарный диабет в анамнезе / выявленный впервые, абс. (%) | 3 (5,8) | 5 (8,1) | 0,633 |
Систолическое артериальное давление, мм рт. ст. | 123,3±14 | 126,7±13,2 | 0,573 |
Диастолическое артериальное давление, мм рт. ст. | 80 (74; 85) | 80 (71; 85) | 0,798 |
Медикаментозная терапия при выписке, абс. (%) | |||
Статины | 52 (100) | 62 (100) | 1,00 |
Двойная антиагрегантная терапия | 52 (100) | 62 (100) | 1,00 |
β-Адреноблокаторы | 44 (84,6) | 52 (83,9) | 0,919 |
Блокаторы ренин-ангиотензин-альдостероновой системы | 47 (90,4) | 57 (91,9) | 0,778 |
Диуретики | 17 (32,7) | 22 (35,5) | 0,754 |
*р – достоверность.
Динамика лабораторных показателей
В группе ВЭТ выявлено максимально выраженное снижение ОХС на 51,9% (р<0,001) за счет регресса ХС ЛНП на 65,7% (р<0,001), ТГ – на 33,3% (р<0,001); табл. 2. Показатель ХС неЛВП снизился на 61% (р<0,001). В группе НЭТ показатели липидного профиля также снизились, в частности ОХС и ХС ЛНП – на 40% (р<0,001) и 52,5% (р<0,001) соответственно, ХС неЛВП – на 44,4% (р<0,001). Уровень ТГ не изменился за время наблюдения. Сравниваемые группы различались по значениям ОХС, ХС ЛНП и ХС неЛВП через 24 нед.
Таблица 2. Динамика лабораторных параметров в группах сравнения
Table 2. Dynamics of laboratory parameters in comparison groups
Показатель | Группа ВЭТ (n=52) | Группа НЭТ (n=62) | ||
7–10-е сутки | 24 нед | 7–10-е сутки | 24 нед | |
Общий холестерин, ммоль/л | 5,4 (4,7; 6,3) | 2,6 (2,3; 2,8)* | 6,0 (5,2; 6,7)# | 3,6 (3,1; 4,1)*# |
ХС ЛНП, ммоль/л | 3,5 (2,8; 4,2) | 1,2 (1,0; 1,3)* | 4,0 (3,3; 4,6)# | 1,9 (1,6; 2,2)*# |
ХС неЛВП, ммоль/л | 4,1 (3,5; 4,9) | 1,6 (1,4; 1,9)* | 4,5 (3,9; 5,1) | 2,5 (2,1; 2,8)*# |
ТГ, ммоль/л | 1,5 (0,9; 2,1) | 1,0 (0,8; 1,3)* | 1,3 (0,8; 1,7) | 1,1 (0,8; 1,3) |
ХС ЛВП, ммоль/л | 1,12 (0,96; 1,55) | 0,94 (0,77; 1,09)* | 1,24 (0,95; 1,58) | 1,04 (0,95; 1,27)*# |
NT-proBNP, пг/мл | 222,8 | 89,9 | 240,7 | 114,9 |
(32,5; 311,2) | (32,2; 212,8)* | (34; 469,1) | (20,0; 349,4)* | |
*Достоверные внутригрупповые различия при p<0,05; #достоверные межгрупповые различия при p<0,05.
NT-proBNP на фоне ВЭТ снизился на 59,6% (р=0,045), НЭТ – на 52,2% (р=0,042). Однако только в группе 1 уменьшилась частота повышенных значений показателя с 59,6 до 36,5% (р=0,031), без динамики – в группе 2 (исходно – у 66,1%, повторно – у 53,2%; р=0,143).
Динамика структурных, объемных и функциональных показателей ЛЖ
При изучении стандартных параметров ЛЖ по данным ЭхоКГ (рис. 2) у больных ВЭТ выявлено уменьшение ИММ ЛЖ на 7,7% (р=0,045) при отсутствии изменений ОТС. В группе НЭТ обнаружена противоположная динамика. Значения ИММ ЛЖ и ОТС увеличились к окончанию наблюдения на 2,4% (р=0,035) и 14,3% (р=0,001) соответственно. Объемные показатели и глобальная систолическая функция ЛЖ не изменились у пациентов обеих групп.
Рис. 2. Динамика показателей спекл-трекинг ЭхоКГ в группах сравнения: a – фракция выброса ЛЖ; b – GWE; c – GCW; d – ИММ ЛЖ; e – GWI; f – GWW.
Fig. 2. Dynamics of speckle tracking echocardiography indicators in comparison groups.
При анализе миокардиальной работы в группе ВЭТ наблюдали благоприятный прирост GWI на 8,2% (р=0,041) и GCW на 9,1% (р=0,036) по сравнению со значениями в острую стадию заболевания. В группе сравнения параметры работы ЛЖ не изменились.
Динамика структурно-функциональных показателей артерий различного калибра
Оценка параметров УЗИ ОСА технологией RF продемонстрировала достоверное уменьшение ТКИМ в группе ВЭТ и НЭТ на 9,5 и 6,8% соответственно (р<0,05); рис. 3. Кроме того, при анализе числа лиц с ТКИМ, превышающей нормальные значения с учетом пола, возраста, этнической принадлежности, только достижение ЦУ ХС ЛНП характеризовалось уменьшением частоты повышенного уровня параметра через 24 нед с 61,5 до 38,5% (р=0,021). В то же время в группе сравнения исходно значения ТКИМ превышали пороговые в 66,1% случаев, повторно – в 54,8% (р=0,201). Важно отметить, что только в группе ВЭТ выявлена благоприятная динамика параметров жесткости ОСА, в то же время в группе сравнения за 24 нед наблюдения они не изменились.
Рис. 3. Динамика показателей УЗИ технологией RF в группах сравнения: а – ТКИМ; b – коэффициент поперечной растяжимости; c – коэффициент податливости; d – индекс жесткости α; e – индекс жесткости β.
Fig. 3. Dynamics of ultrasound indicators by RF technology in comparison groups.
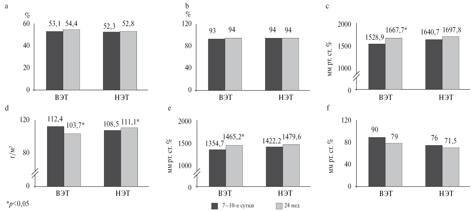
По данным аппланационной тонометрии (рис. 4) в группе ВЭТ СРПВкф и СРПВкр уменьшились к 24-й неделе на 11,1% (р=0,044) и 10,6% (р=0,012) соответственно. У пациентов НЭТ также выявлен регресс СРПВкф на 11,1% (р=0,016), однако в данной группе произошло нарастание СДао (р=0,029).
Рис. 4. Динамика показателей аппланационной тонометрии в группах сравнения: а – СДаО; b – ДДао; c – СРПВкф; d – СРПВкр.
Примечание. ДДао – диастолическое давление в аорте.
Fig. 4. Dynamics of applanation tonometry indicators in comparison groups.
Обсуждение
Ведущую роль в формировании атеросклероза играет повышенный уровень ХС ЛНП, способствующий индукции иммуноопосредованных реакций не только в месте накопления липидов, но и в непораженных участках артериальной стенки. Клеточные и гуморальные механизмы иммунного ответа, активные формы кислорода способствуют прогрессированию заболевания с последующим тромбозом [14]. Несомненно, важным представляется контроль параметров липидного обмена у пациентов, перенесших острое сердечно-сосудистое событие.
В нашем исследовании комбинированная терапия статином и эзетимибом характеризовалась достижением ЦУ ХС ЛНП в 42,1% случаев, а монотерапия статинами – только в 17,5%. Полученные результаты согласуются с другими исследованиями. По данным Российского регистра РЕГИОН-ИМ ХС ЛНП<1,4 ммоль/л на фоне монотерапии статинами зафиксирован у 21% больных, при добавлении эзетимиба – у 44% [15]. В другом исследовании снижение ХС ЛНП ниже пороговых значений при лечении только статинами выявлено у 14–22%, в то время как комбинированная терапия способствовала увеличению данного показателя до 37% [16].
Плейотропные эффекты статинов достаточно хорошо изучены [17, 18]. Дополнительные положительные свойства эзетимиба активно исследуются. Известно, что препарат обладает противовоспалительным, антиоксидантным эффектами, способствует стабилизации атеросклеротической бляшки, восстановлению эндотелиальной функции [19]. Однако предстоит изучить и другие свойства эзетимиба у пациентов, перенесших ИМ. Несомненный интерес представляет анализ позитивного действия достигнутого ЦУ ХС ЛНП на фоне лечения статинами и эзетимибом на выраженность плейотропных эффектов.
Трансторакальная ЭхоКГ позволила нам оценить влияние высокоэффективной терапии на состояние постинфарктного миокарда. Так, достижение ЦУ ХС ЛНП было ассоциировано с уменьшением ИММ ЛЖ через 24 нед после перенесенного ИМ, что, вероятно, связано с опосредованным ингибирующим влиянием препаратов на гипертрофию и фиброз миокарда [20, 21]. Напротив, в группе НЭТ помимо небольшого прироста ИММ ЛЖ увеличилась ОТС, превысив нормативные значения [22]. Антиремоделирующее действие ВЭТ на ЛЖ подтверждается более выраженной благоприятной динамикой NT-proBNP.
Оценка параметров миокардиальной работы продемонстрировала увеличение GWI в группе ВЭТ за счет прироста объема конструктивной работы, что свидетельствует об улучшении контрактильности миокарда. Вероятно, позитивные изменения данных показателей ЛЖ в группе ВЭТ связаны с лучшим восстановлением функции оглушенного миокарда за счет противовоспалительного и антиоксидантного эффектов липидснижающей терапии [19, 23]. Улучшение систолической функции ЛЖ по данным спекл-трекинг ЭхоКГ у пациентов с СН при применении аторвастатина описано в исследовании Ю.А. Васюка и соавт. (2023 г.) [13].
Нами представлены данные о взаимосвязи между достижением ЦУ ХС ЛНП на фоне комбинированной гиполипидемической терапии и улучшением структурно-функциональных характеристик артерий. По данным УЗИ ОСА в группе ВЭТ увеличились показатели эластичности и снизилась артериальная жесткость без их динамики в группе НЭТ. Достижение ЦУ ХС ЛНП сопровождалось не только более выраженным регрессом ТКИМ, но и уменьшением числа лиц с повышенным уровнем показателя.
Неинвазивное исследование аортального давления и СРПВ на участке от сонной к бедренной артерии с помощью аппланационной тонометрии получило широкое распространение, став доступным и надежным методом, являющимся «золотым стандартом» оценки артериальной жесткости в практике врача [24]. Соответственно, заслуживает внимания выявленное сопоставимое снижение СРПВкф в 2 группах с дополнительным более значительным регрессом СРПВкр на фоне ВЭТ. Однако недостижение ЦУ ХС ЛНП характеризовалось повышением СДао при стабильных значениях показателя в группе сравнения.
Более выраженный вазопротективный эффект липидснижающей терапии при достигнутых целевых значениях ХС ЛНП можно отчасти объяснить восстановлением эндотелиальной функции при применении как статинов, так и эзетимиба [18, 25]. Кроме того, ингибитор всасывания холестерина в кишечнике препятствует агрегации тромбоцитов, способствует уменьшению размеров адипоцитов и экспрессии фактора некроза опухоли α, снижает концентрацию провоспалительных цитокинов, свободных жирных кислот, интерлейкинов, липопротеин-ассоциированной фосфолипазы А2 [26, 27].
Заключение
Добавление эзетимиба к статинам более чем в 2 раза повышает частоту достижения ЦУ ХС ЛНП. Наиболее выраженный вазо- и кардиопротективный эффекты гиполипидемической терапии диагностированы при снижении атерогенной фракции липидов ниже пороговых значений. Соответственно, у больных очень высокого и высокого риска важно проводить регулярный мониторинг липидного спектра в целях своевременной коррекции терапии.
Раскрытие интересов. Исследование не спонсировалось. Публикация подготовлена при поддержке АО «АКРИХИН». При подготовке рукописи авторы сохранили независимость мнений.
Disclosure of interest. The study was not sponsored. The publication was prepared with the support of AKRIKHIN JSC. The authors maintained their independence of opinion when preparing the manuscript.
Вклад авторов. Авторы декларируют соответствие своего авторства международным критериям ICMJE. Все авторы в равной степени участвовали в подготовке публикации: разработка концепции статьи, получение и анализ фактических данных, написание и редактирование текста статьи, проверка и утверждение текста статьи.
Authors’ contribution. The authors declare the compliance of their authorship according to the international ICMJE criteria. All authors made a substantial contribution to the conception of the work, acquisition, analysis, interpretation of data for the work, drafting and revising the work, final approval of the version to be published and agree to be accountable for all aspects of the work.
Источник финансирования. Исследование выполнено за счет средств гранта Российского научного фонда (проект №23-75-01078).
Funding source. The study was supported by a grant from the Russian Science Foundation (project №23-75-01078).
Соответствие принципам этики. Протокол исследования был одобрен локальным этическим комитетом ФГБОУ ВО ПГУ («Оценка влияния длительной эффективной гиполипидемической терапии на показатели электрической гетерогенности миокарда, деформационные характеристики сердца, артериальную ригидность и качество жизни у больных первичным инфарктом миокарда с подъемом и без подъема сегмента ST», протокол №2 от 27.09.2019). Одобрение и процедуру проведения протокола получали по принципам Хельсинкской декларации.
Compliance with the principles of ethics. The study was approved by the local ethics committee of Penza State University ("Assessment of long-term effective lipid-lowering therapy effect on myocardial electrical heterogeneity, cardiac deformational characteristics, arterial rigidity and quality of life in patients with primary myocardial infarction with and without ST segment elevation", protocol №2 dated 27.09.2019). Approval and protocol procedure was obtained according to the principles of the Declaration of Helsinki.
Информированное согласие на публикацию. Пациенты подписали форму добровольного информированного согласия на публикацию медицинской информации.
Consent for publication. Written consent was obtained from the patients for publication of relevant medical information and all of accompanying images within the manuscript.
About the authors
Valentin E. Oleynikov
Penza State University
Author for correspondence.
Email: v.oleynikof@gmail.com
ORCID iD: 0000-0002-7463-9259
д-р мед. наук, проф., зав. каф. терапии
Russian Federation, PenzaLudmila I. Salyamova
Penza State University
Email: v.oleynikof@gmail.com
ORCID iD: 0000-0001-7130-0316
канд. мед. наук, доц., доц.
Russian Federation, PenzaAnastasia V. Sherbinina
Penza State University
Email: v.oleynikof@gmail.com
ORCID iD: 0000-0001-6280-6120
канд. мед. наук, ст. преподаватель каф.
Russian Federation, PenzaAlena V. Golubeva
Penza State University
Email: v.oleynikof@gmail.com
ORCID iD: 0000-0001-6640-6108
канд. мед. наук, ст. преподаватель каф.
Russian Federation, PenzaNikolai V. Alimov
Penza State University
Email: v.oleynikof@gmail.com
ORCID iD: 0009-0007-3984-2271
студент
Russian Federation, PenzaReferences
- Барбараш О.Л., Печерина Т.Б. Современные пути снижения летальности при инфаркте миокарда. Что необходимо предпринять? Сибирский научный медицинский журнал. 2023;43(5):6-13 [Barbarash OL, Pecherina TB. Modern ways to reduced mortality of myocardial infarction. What should be done? Sibirskij nauchnyj medicinskij zhurnal = Siberian Scientific Medical Journal. 2023;43(5):6-13 (in Russian)]. doi: 10.18699/SSMJ20230501
- Bishu KG, Lekoubou A, Kirkland E, et al. Estimating the Economic Burden of Acute Myocardial Infarction in the US: 12 Year National Data. Am J Med Sci. 2020;359(5):257-65. doi: 10.1016/j.amjms.2020.02.004
- Концевая А.В., Муканеева Д.К., Игнатьева В.И., и др. Экономика профилактики сердечно-сосудистых заболеваний в Российской Федерации. Российский кардиологический журнал. 2023;28(9):5521 [Kontsevaya AV, Mukaneeva DK, Ignatieva VI, et al. Economics of cardiovascular prevention in the Russian Federation. Russian Journal of Cardiology. 2023;28(9):5521 (in Russian)]. doi: 10.15829/1560-4071-2023-5521
- Саютина Е.В., Осадчук М.А., Романов Б.К., и др. Кардиореабилитация и вторичная профилактика после перенесенного острого инфаркта миокарда: современный взгляд на проблему. Российский медицинский журнал. 2021;27(6):571-87 [Sayutina EV, Osadchuk MA, Romanov BK, et al. Cardiac rehabilitation and secondary prevention after acute myocardial infarction: a modern view on the problem. Rossiiskii meditsinskii zhurnal (Medical Journal of the Russian Federation, Russian Journal). 2021;27(6):571-87 (in Russian)]. doi: 10.17816/0869-2106-2021-27-6-571-587
- Baba M, Maris M, Jianu D, et al. The Impact of the Blood Lipids Levels on Arterial Stiffness. J Cardiovasc Dev Dis. 2023;10(3):127. doi: 10.3390/jcdd10030127
- Li Y, Li G, Laukkanen JA, et al. Higher LDL-C/HDL-C Ratio Is Associated with Elevated HbA1c and Decreased eGFR Levels and Cardiac Remodeling in Elderly with Hypercholesterolemia. J Cardiovasc Dev Dis. 2024;11(5):140. doi: 10.3390/jcdd11050140
- Cannon CP. Low-Density Lipoprotein Cholesterol: Lower Is Totally Better. J Am Coll Cardiol. 2020;75(17):2119-11. doi: 10.1016/j.jacc.2020.03.033
- Cannon CP, Blazing MA, Giugliano RP, et al. Ezetimibe Added to Statin Therapy after Acute Coronary Syndromes. N Engl J Med. 2015;372(25):2387-97. doi: 10.1056/NEJMoa1410489
- Российское кардиологическое общество (РКО). Острый инфаркт миокарда с подъемом сегмента ST электрокардиограммы. Клинические рекомендации 2020. Российский кардиологический журнал. 2020;25(11):4103 [Russian Society of Cardiology. Clinical practice guidelines for Acute ST-segment elevation myocardial infarction 2020. Russian Journal of Cardiology. 2020;25(11):4103 (in Russian)]. doi: 10.15829/1560-4071-2020-4103
- Барбараш О.Л., Дупляков Д.В., Затейщиков Д.А., и др. Острый коронарный синдром без подъема сегмента ST электрокардиограммы. Клинические рекомендации 2020. Российский кардиологический журнал. 2021;26(4):149-202 [Barbarash OL, Duplyakov DV, Zateischikov DA, et al. Clinical practice guidelines for acute coronary syndrome without ST segment elevation. Russian Journal of Cardiology. 2021;26(4):149-202 (in Russian)]. doi: 10.15829/1560-4071-2021-4449
- Салямова Л.И., Хромова А.А., Квасова О.Г., и др. Вазопротективное действие эффективной липидснижающей терапии у больных, перенесших инфаркт миокарда с подъемом сегмента ST. Терапевтический архив. 2022;94(12):1355-60 [Salyamova LI, Khromova AA, Kvasova OG, et al. Vasoprotective effect of effective lipid-lowering therapy in patients with ST-segment elevation myocardial infarction. Terapevticheskii Arkhiv (Ter. Arkh.). 2022;94(12):1355-60 (in Russian)]. doi: 10.26442/00403660.2022.12.202007
- Олейников В.Э., Голубева А.В., Барменкова Ю.А., и др. Деформационные характеристики миокарда и вагосимпатический баланс при различных вариантах течения постинфарктного периода на фоне высокодозовой терапии аторвастатином. Российский кардиологический журнал. 2022;27(12):5078 [Oleinikov VE, Golubeva AV, Barmenkova YuA, et al. Myocardial strain parameters and autonomic balance in various variants of the postinfarction course in patients receiving high-dose atorvastatin therapy. Russian Journal of Cardiology. 2022;27(12):5078 (in Russian)]. doi: 10.15829/1560-4071-2022-5078
- Васюк Ю.А., Шупенина Е.Ю., Намазова Г.А., Завьялова А.И. Может ли липофильный статин повысить эффективность лечения сердечной недостаточности с сохраненной фракцией выброса левого желудочка у пациентов с артериальной гипертензией и ожирением? Кардиология. 2023;63(10):47-54 [Vasyuk YuА, Shupenina ЕYu, Namazova GА, Zavialova АI. Can a lipophilic statin improve the treatment of heart failure with preserved ejection fraction in patients with hypertension and obesity? Kardiologiia. 2023;63(10):47-54 (in Russian)]. doi: 10.18087/cardio.2023.10.n2488
- Prasad K, Mishra M. Mechanism of Hypercholesterolemia-Induced Atherosclerosis. Rev Cardiovasc Med. 2022;23(6):212. doi: 10.31083/j.rcm2306212
- Бойцов С.А., Шахнович Р.М., Терещенко С.Н., и др. Распространенность гиперлипидемии и особенности липидснижающей терапии у пациентов с инфарктом миокарда по данным Российского регистра острого инфаркта миокарда РЕГИОН–ИМ. Кардиология. 2022;62(7):12-22 [Boytsov SA, Shakhnovich RM, Tereschenko SN, et al. The prevalence of hyperlipidemia and features of lipid-lowering therapy in patients with myocardial infarction according to the Russian register of acute myocardial infarction REGION-MI. Kardiologiia. 2022;62(7):12-22 (in Russian)]. doi: 10.18087/cardio.2022.7.n2051
- Ray KK, Molemans B, Schoonen WM, et al. EU-Wide Cross-Sectional Observational Study of Lipid-Modifying Therapy Use in Secondary and Primary Care: the DA VINCI study. Eur J Prev Cardiol. 2021;28(11):1279-29. doi: 10.1093/eurjpc/zwaa047
- Carvalho KFDS, Ferreira AAM, Barbosa NC, et al. Atorvastatin Attenuates Vascular Remodeling in Mice with Metabolic Syndrome. Arq Bras Cardiol. 2021;117(4):737-47. doi: 10.36660/abc.20200322
- Song XM, Zhao MN, Li GZ, et al. Atorvastatin ameliorated myocardial fibrosis in db/db mice by inhibiting oxidative stress and modulating macrophage polarization. World J Diabetes. 2023;14(12):1849-81. doi: 10.4239/wjd.v14.i12.1849
- Шапошник И.И., Генкель В.В. Плейотропные эффекты эзетимиба. Кардиология. 2019;59(12S):12-7 [Shaposhnik II, Genkel VV. Pleiotropic effects of ezetimibe. Kardiologiia. 2019;59(12S):12-7 (in Russian)]. doi: 10.18087/cardio.n875
- Kudo S, Satoh K, Nogi M, et al. SmgGDS as a Crucial Mediator of the Inhibitory Effects of Statins on Cardiac Hypertrophy and Fibrosis: Novel Mechanism of the Pleiotropic Effects of Statins. Hypertension. 2016;67(5):878-9. doi: 10.1161/HYPERTENSIONAHA.115.07089
- Kato R, Nishioka S, Nomura A, et al. Cardiovascular protection by ezetimibe and influence on oxidative stress in mice exposed to intermittent hypoxia. Eur J Pharmacol. 2015;765:7-14. doi: 10.1016/j.ejphar.2015.08.013
- Marwick TH, Gillebert TC, Aurigemma G, et al. Recommendations on the use of echocardiography in adult hypertension: a report from the European Association of Cardiovascular Imaging (EACVI) and the American Society of Echocardiography (ASE). Eur Heart J Cardiovasc Imaging. 2015;16(6):577-605. doi: 10.1093/ehjci/jev076
- Щинова А.М., Шлевкова Г.В., Филатова А.Ю., и др. Снижение концентрации С-реактивного белка, измеренного высокочувствительным методом, на фоне высокоинтенсивной терапии статинами перед коронарным стентированием: возможная связь с последующим прогрессированием атеросклероза. Терапевтический архив. 2019;91(9):10-5 [Shchinova AM, Shlevkova GV, Filatova AYu, et al. Preprocedural high-sensitivity C-reactive protein (hsCRP) decrease during intensive atorvastatin therapy: the presumable impact on atherosclerosis progression after coronary stenting. Terapevticheskii Arkhiv (Ter. Arkh.). 2019;91(9):10-5 (in Russian)]. doi: 10.26442/00403660.2019.09.000144
- Васюк Ю.А., Иванова С.В., Школьник Е.Л., и др. Согласованное мнение российских экспертов по оценке артериальной жесткости в клинической практике. Кардиоваскулярная терапия и профилактика. 2016;15(2):4-19 [Vasyuk YuA, Ivanova SV, Shkolnik EL, et al. Consensus of Russian experts on the evaluation of arterial stiffness in clinical practice. Cardiovascular Therapy and Prevention. 2016;15(2):4-19 (in Russian)]. doi: 10.15829/1728-8800-2016-2-4-19
- Сумароков А.Б., Кухарчук В.В. Гиполипидемические и плейотропные эффекты комбинации симвастатина и эзетимиба у больных с различными видами гиперлипидемий. Терапевтический архив. 2014;86(12):107-15 [Sumarokov AB, Kukharchuk VV. Hypolipidemic and pleiotropic effects of a combination of simvastatin and ezetimibe in patients with different types of hyperlipidemia. Terapevticheskii Arkhiv (Ter. Arkh.). 2014;86(12):107-15 (in Russian)]. doi: 10.17116/terarkh20148612107-115
- Ren Y, Zhu H, Fan Z, et al. Comparison of the effect of rosuvastatin versus rosuvastatin/ezetimibe on markers of inflammation in patients with acute myocardial infarction. Exp Ther Med. 2017;14(5):4942-90. doi: 10.3892/etm.2017.5175
- Zivkovic S, Maric G, Cvetinovic N, et al. Anti-Inflammatory Effects of Lipid-Lowering Drugs and Supplements – A Narrative Review. Nutrients. 2023;15(6). doi: 10.3390/nu15061517
Supplementary files







