Point-of-Care Blood Glucose Testing: Post-Market Performance Assessment of the Accu-Chek Inform II Hospital-Use Glucose Meter
- Authors: Petryaykina E.E.1, Mayanskiy N.A.1, Demina E.S.1, Karamysheva I.V.1, Gorst K.A.1, Timofeev A.V.1
-
Affiliations:
- Russian Children’s Clinical Hospital – Branch of Pirogov Russian National Research Medical University
- Issue: Vol 95, No 12 (2023)
- Pages: 1151-1163
- Section: Original articles
- Submitted: 31.01.2024
- Accepted: 31.01.2024
- Published:
- URL: https://ter-arkhiv.ru/0040-3660/article/view/626342
- DOI: https://doi.org/10.26442/00403660.2023.12.202522
- ID: 626342
Cite item
Full Text
Abstract
Background. A point-of-care glucose testing (POCT) is an essential component of care in patients with hyperglycemia and hypoglycemia in inpatient and outpatient settings. In Russian medical facilities (MFs), conventional glucose meters designed for self-monitoring by patients with diabetes are commonly used for POCT. These home-use meters have two serious disadvantages: the first is large measurement bias and the second – they can’t be integrated into laboratory information systems, so measurement data have to be recorded into patient charts manually. Both factors may lead to medical errors. It is reasonable to use in the MFs specialized POCT glucose meters, as they are superior to conventional ones in accuracy and may be easily connected to laboratory information systems. With this in mind, physicians at the Russian Children’s Clinical Hospital decided to substitute conventional meters with the Accu-Chek Inform II POCT meter, however, after preliminary performance assessment of the model.
Aim. To test the Accu-Chek Inform II performance characteristics: accuracy, linearity, repeatability, and mean absolute relative difference (MARD).
Materials and methods. Performance of the Accu-Chek Inform II was tested by comparing the results of parallel CGL measurements with the meter and reference laboratory analyzer in capillary blood samples. Overall, 99 parallel CGL measurements were made in 45 samples. Accuracy was evaluated according to the ISO 15197-2013 and POCT12-A3 criteria.
Results. The Accu-Chek Inform II meter met the requirements of ISO 15197-2013 and POCT12-A3 and demonstrated high linearity (correlation coefficient, r=1,0), good repeatability (mean coefficient of variation, CV=1,38%) and acceptable MARD (4,9%).
Conclusion. The Accu-Chek Inform II POCT glucose meter may be efficiently and safely used in inpatient and outpatient MFs and particularly in pediatric clinics.
Full Text
Список сокращений
ИМЛ – измерения по месту лечения
ЛПУ – лечебно-профилактическое учреждение
МИС – медицинская информационная система
СД – сахарный диабет
CGL – концентрация глюкозы в крови
Hct - гематокрит
MARD – средняя погрешность измерений
Введение
Нарушения обмена глюкозы – гипергликемия и гипогликемия – существенно влияют на эффективность лечения госпитализированных пациентов с сахарным диабетом (СД) и пациентов с другими заболеваниями. Даже невысокая гипергликемия ухудшает исходы, увеличивает больничную летальность, удлиняет сроки госпитализации и реабилитации после выписки, повышает вероятность больничной инфекции [1, 2]. Тяжелая гипогликемия приводит к тем же последствиям и, кроме того, повышает риск обмороков и падений у госпитализированных пациентов [3].
Главным инструментом диагностики, мониторирования, профилактики и оценки эффективности лечения всех форм гипергликемии и гипогликемии является измерение концентрации глюкозы в крови (CGL). В российских лечебно-профилактических учреждениях (ЛПУ) ежегодно производится около 35 млн измерений CGL, и почти 15% из них – это измерения по месту лечения (ИМЛ, в англоязычной литературе – point-of-care testing, POCT). Под ИМЛ понимают измерения, выполняемые медицинским работником прямо у постели больного с помощью глюкометра – портативного измерительного устройства с автономным питанием. ИМЛ позволяют бригадам скорой помощи и персоналу приемных отделений мгновенно выявлять гипергликемию и опасную гипогликемию. В эндокринологических и терапевтических стационарах ИМЛ применяются для круглосуточного мониторинга CGL (для построения «гликемических профилей») и дают возможность быстро менять тактику лечения у пациентов с СД и другими нарушениями обмена глюкозы. В хирургических и реанимационных отделениях ИМЛ используются при послеоперационном мониторинге пациентов.
Клиническая эффективность и безопасность ИМЛ определяются правильностью решений, принимаемых врачами на основании результатов ИМЛ. Правильность этих решений, в свою очередь, зависит от операционных параметров глюкометра, прежде всего – от его точности. Под точностью глюкометра понимают степень близости показаний глюкометра к истинной CGL в крови (на практике – степень близости результатов измерений CGL в одном и том же образце крови, полученных с помощью глюкометра и референтного лабораторного анализатора). Аналитическая ошибка (неточный результат) ИМЛ может повлечь серьезную врачебную ошибку, например назначение неподходящей дозы инсулина или ненужной инфузии глюкозы.
Глюкометры, применяющиеся для ИМЛ
В большинстве российских ЛПУ для ИМЛ применяют обычные («бытовые») глюкометры, по определению предназначенные для самостоятельных измерений CGL больными СД. Требования к точности таких глюкометров сформулированы в международном стандарте ISO 15197-2013 [4] и его российском аналоге – ГОСТ 15197-2015 [5] (далее мы будем обозначать оба эти стандарта как ISO 15197). К ним относятся:
1) не менее 95% результатов глюкометра должны отклоняться от результатов референтного анализатора не более чем на ±0,83 ммоль/л в диапазоне CGL<5,55 ммоль/л и не более чем на ±15% в диапазоне CGL≥5,55 ммоль/л;
2) не менее 99% результатов глюкометра должны находиться внутри зон А и В номограммы CEG.
Соответствие глюкометров первому требованию оценивают по диаграммам Блэнда–Алтмана (их называют также диаграммами погрешностей) [6]. Эти диаграммы показывают, насколько результаты глюкометра отклоняются от результатов анализатора и каково количество отклоняющихся результатов. В качестве примера приведем диаграмму, полученную при испытании некоего глюкометра Х (рис. 1).
Рис. 1. Диаграмма Блэнда–Алтмана для глюкометра Х. В 440 пробах крови одновременно измерили CGL с помощью глюкометра и референтного анализатора. Для каждой пары измерений вычислили отклонение результата глюкометра от результата анализатора (треугольники). Сплошные линии: границы допустимых отклонений согласно ГОСТ 15197. Пунктир: гипотетическая линия нулевых отклонений (идеального совпадения всех результатов глюкометра со всеми соответствующими результатами анализатора).
Fig. 1. Bland–Altman plot for blood glucose meter X. In 440 blood samples, CGL was measured simultaneously using a blood glucose meter and a reference analyzer. For each pair of measurements, the deviation of the glucose meter result from the analyzer result (triangles) was calculated. Solid lines are the limits of permissible deviations according to GOST 15197. The dotted line is a hypothetical line of zero deviations (a perfect match of all glucose meter results with all corresponding analyzer results).
Даже при беглом взгляде на эту диаграмму видно, что в допустимых пределах находится намного меньше 95% результатов глюкометра, т.е. он не удовлетворяет первому требованию ISO 15197.
Если первое требование ISO 15197 касается аналитической точности глюкометров, то второе относится к их клинической точности и основано на следующих рассуждениях [7]:
- на результатах глюкометра базируются решения врача об изменении терапии, например об изменении доз инсулина или перорального сахароснижающего препарата;
- ошибка глюкометра создает риск неверного решения и опасность для больного;
- сведения о точности глюкометра, полученные из диаграммы Блэнда–Алтмана, не позволяют оценить степень риска, возникающего вследствие ошибок измерений.
Для оценки клинической точности глюкометров применяют номограмму с зонами риска, разработанную Джоан Паркс из Медицинского колледжа им. Эйнштейна в г. Нью-Йорке [8]. Эту номограмму называют согласованной сеткой ошибок (CEG, consensus error grid), поскольку при определении зон риска Дж. Паркс учла мнения 100 опытных эндокринологов в США. На номограмме CEG есть 5 зон риска.
А – зона отсутствия ошибок. Решение врача об изменении лечения, основанное на результате глюкометра, попавшем в эту зону, будет правильным и не повлияет на исход лечения.
В – зона несущественных ошибок. Решение будет ошибочным, но не повлияет или незначительно повлияет на исход лечения.
С – зона существенных ошибок. Решение неблагоприятно повлияет на исход лечения.
D – зона опасных ошибок. Решение может нанести существенный вред больному.
Е – зона жизненно опасных ошибок. Решение может оказаться смертельно опасным.
Познакомимся с номограммой CEG для глюкометра Х (рис. 2).
Рис. 2. Номограмма CEG для глюкометра Х. На номограм-му CEG нанесены результаты 400 измерений CGL c помощью глюкометра. Каждый результат глюкометра сопоставлен с результатом референтного анализатора. На номограмме обозначены 5 зон с разной степенью риска.
Fig. 2. CEG plot for blood glucose meter X. The results of 400 measurements of CGL using a glucose meter are plotted on the CEG plot. Each glucose meter result is compared with the result of the reference analyzer. The plot shows 5 zones with different risk degrees.
На рис. 2 видно, что 12 результатов глюкометра находятся в зоне C, 2 – в зоне D, т.е. в зонах A и B находится 386 (96,5%) из 400 результатов. Таким образом, глюкометр Х не соответствует второму требованию ISO 15197.
В последнее время популярна еще одна номограмма для оценки клинической точности глюкометров – инспекционная сетка ошибок (surveillance error grid – SEG) [9]. Она построена по тому же принципу, что и CEG, но зоны риска на ней наглядно обозначены разными цветами. В сети Интернет размещена бесплатная программа SEG Software для обработки результатов исследований точности глюкометров [10]. Пример номограммы SEG показан на рис. 3.
Рис. 3. Демонстрационная номограмма SEG на сайте SEG Software [10]. На номограмму SEG нанесены результаты 600 измерений CGL с помощью глюкометра. Каждый результат глюкометра сопоставлен с результатом анализатора. На номограмме обозначены 5 зон с разной степенью риска. Зеленый цвет – нулевой риск, желтый – незначительный риск, оранжевый – умеренный риск, красный – высокий риск, коричневый – очень высокий риск.
Fig. 3. Demonstration of SEG plot on the SEG Software website [10]. The results of 600 measurements of CGL using a glucose meter are plotted on the SEG plot. Each glucose meter result is compared with the analyzer result. The plot shows 5 zones with different risk degrees. Green = zero risk, yellow = negligible risk, orange = moderate risk, red = high risk, brown = very high risk.
С начала 2010-х годов в зарубежных ЛПУ для ИМЛ стали применять госпитальные глюкометры, более точные, чем обычные. Требования к аналитической точности госпитальных глюкометров сформулированы в руководстве Института стандартизации клинических и лабораторных исследований США POCT12-A3 [11]:
1) не менее 95% результатов глюкометра должны отклоняться от результатов референтного анализатора не более чем на ±0,67 ммоль/л в диапазоне CGL<5,55 ммоль/л и не более чем на ±12,5% в диапазоне CGL≥5,55 ммоль/л;
2) не менее 98% результатов глюкометра должны отклоняться от результатов анализатора не более чем на ±0,83 ммоль/л в диапазоне CGL<4,2 ммоль/л и не более чем на ±20% в диапазоне CGL≥4,2 ммоль/л.
Соответствие госпитальных глюкометров этим требованиям оценивают по диаграммам Блэнда–Алтмана.
Кроме аналитической и клинической точности стандарт ISO 15197 требует оценивать еще два операционных параметра глюкометров: линейность и воспроизводимость. Линейность отражает степень корреляции результатов глюкометра и референтного анализатора во всем диапазоне измеряемых CGL. Линейность оценивают методом регрессионного анализа, основным показателем линейности служит коэффициент корреляции r. Воспроизводимость показывает, насколько велик разброс результатов глюкометра при нескольких измерениях CGL в одной и той же пробе крови. Показатель воспроизводимости – коэффициент вариации (coefficient of variation – CV). ISO 15197 не регламентирует численные значения r и CV, но по умолчанию считается, что у хорошего глюкометра r должен быть не меньше 0,985, а CV – не больше 6%.
В последнее время при испытаниях глюкометров принято оценивать еще один операционный параметр – среднюю погрешность измерений (mean absolute relative difference – MARD) [12]. MARD служит «кумулятивным» показателем точности глюкометра во всем диапазоне измеряемых CGL.
Преимущества госпитальных глюкометров
Клиническая эффективность и безопасность ИМЛ определяются не только точностью измерений CGL, но и возможностью безошибочного переноса в медицинскую информационную систему (МИС) сведений о пациентах и результатов измерений. Обычные глюкометры, как правило, не сопрягаются с МИС, поэтому данные приходится переносить в МИС вручную. При таком способе передачи данных велика вероятность постаналитических ошибок. В отличие от обычных глюкометров, госпитальные глюкометры имеют интерфейс и программное обеспечение, которые позволяют автоматически переносить данные пациентов и результаты измерений в МИС через USB-кабель или по беспроводным сетям Bluetooth. Кроме того, госпитальные глюкометры снабжены сканером штрихкодов. Описанные конструктивные особенности госпитальных глюкометров снижают вероятность постаналитических ошибок практически до нуля. Таким образом, применение госпитальных глюкометров для ИМЛ в ЛПУ значительно снижает вероятность аналитических и постаналитических, а следовательно, и врачебных ошибок, и потому эффективнее и безопаснее, чем применение обычных глюкометров. Еще одно достоинство госпитальных глюкометров состоит в том, что они могут измерять CGL не только в капиллярной, но и в венозной и артериальной крови.
Предрегистрационные и пострегистрационные испытания глюкометров
Любая новая модель глюкометра перед регистрацией в надзорных службах систем здравоохранения и выводом на рынок проходит предрегистрационные испытания. Они проводятся и финансируются производителями глюкометров. Испытания проходят по регламенту ISO 15197, поэтому в документации к глюкометру производитель всегда указывает, что его изделие соответствует требованиям этого стандарта в части точности. Однако нередко случается, что через какое-то время после вывода на рынок точность глюкометра ухудшается. Это происходит из-за нарушений технологии изготовления тест-полосок или условий их транспортировки и хранения, либо из-за различий разных партий реагентов, входящих в состав тест-полосок.
Учитывая эти обстоятельства, многие системы здравоохранения и отдельные ЛПУ организуют независимые пострегистрационные испытания глюкометров [13]. Слово «независимые» означает, что в таких испытаниях никак не участвуют производители или поставщики глюкометров. Мотивы для независимых испытаний: претензии врачей к точности глюкометра, мониторинг его эффективности и безопасности, предстоящая закупка большой новой партии тест-полосок.
Цель исследования
В РДКБ – филиале ФГАОУ ВО «РНИМУ им. Н.И. Пирогова» – ежегодно выполняется не менее 50 тыс. ИМЛ с помощью обычных глюкометров. Врачи решили заменить обычные глюкометры на госпитальные. Одним из госпитальных глюкометров, зарегистрированных в РФ, является Акку-Чек Информ II производства компании Roche Diagnostics, Германия. Согласно документации производителя глюкометр:
- может измерять CGL в капиллярной, венозной и артериальной крови, в том числе в пробах крови с антикоагулянтами;
- имеет сенсорный экран с возможностью ввода цифровых и буквенных символов, программное обеспечение, которое регистрирует сведения о пациенте и результаты измерений CGL в памяти глюкометра и автоматически передает эти данные в МИС;
- отображает результат измерения как CGL в плазме (результат глюкометра соответствует результату лабораторного анализатора, измеряющего CGL в плазме крови);
- по точности соответствует требованиям ISO 15197.
Кроме того, в нескольких пострегистрационных испытаниях Акку-Чек Информ II показано, что его точность соответствует требованиям POCT12-A3 [14, 15].
Эти сведения позволяют считать, что Акку-Чек Информ II вполне подходит для ИМЛ в РДКБ – филиале ФГАОУ ВО «РНИМУ им. Н.И. Пирогова». Тем не менее врачи сочли необходимым провести испытание глюкометра на предмет его соответствия требованиям ISO 15197 и POCT12-A3. Оно и стало целью настоящей работы.
Материалы и методы
Испытание проводили с соблюдением этических принципов, изложенных в Хельсинкской декларации Всемирной медицинской ассоциации [16] и Федеральном законе РФ №323-ФЗ от 21.11.2011 [17]. План испытания одобрен локальным этическим комитетом РДКБ – филиала ФГАОУ ВО «РНИМУ им. Н.И. Пирогова» (протокол №3 от 23.11.2021).
Операционные параметры Акку-Чек Информ II оценивали путем параллельных измерений CGL в пробах капиллярной крови с помощью Акку-Чек Информ II и в соответствующих образцах плазмы, полученных из этих проб, с помощью референтного биохимического анализатора Cobas c311. Детальные технические описания Акку-Чек Информ II и анализатора приведены в приложении к статье. Пробы крови брали у 48 добровольцев, в том числе у 19 пациентов и 29 сотрудников РДКБ – филиала ФГАОУ ВО «РНИМУ им. Н.И. Пирогова», подписавших согласие на участие в испытании. Детальные сведения о добровольцах приведены в приложении к статье. Кровь брали из подушечек пальцев. Для проколов кожи использовали скарификаторы Greiner Safety 2 mm (Greiner Bio-One GmbH, Австрия). Не менее 0,4 мл крови собирали в микропробирки с гепаринатом лития MiniCollect Vacuette Li-Hep 0,5 ml (Greiner Bio-One GmbH, Австрия).
Согласно ISO 15197 и POCT12-A3 при испытаниях глюкометров измерения СGL должны проводиться в пробах крови с гематокритом (Hct) в диапазоне, указанном производителем. Для Акку-Чек Информ II этот диапазон составляет 10–65%. Поэтому перед измерением СGL в пробе крови определяли Hct методом центрифугирования в капилляре. Если Hct находился в указанном диапазоне, пробу допускали к измерениям СGL.
Согласно ISO 15197 и POCT12-A3 часть измерений СGL необходимо проводить в пробах крови с очень низкими, «гипогликемическими», СGL (<3 ммоль/л) и очень высокими, «сильно гипергликемическими», СGL (>22 ммоль/л). Поскольку вероятность получения нативных проб крови с такими СGL мала, допускается использование модифицированных проб с искусственно измененными СGL. В нашем испытании модифицированные пробы с очень низкими СGL получали путем «состаривания» проб при 37°С, пробы с очень высокими СGL – путем добавления к пробам концентрированного раствора глюкозы.
В каждой пробе выполняли как минимум 2 измерения СGL с помощью Акку-Чек Информ II. Затем микропробирку с кровью центрифугировали, отбирали плазму и дважды измеряли в ней СGL на анализаторе. Результаты всех измерений регистрировали в таблице Microsoft Excel и затем анализировали с помощью медико-статистической программы MedCalc [18]. Данные проверяли на наличие выбросов с помощью критерия Граббса. Нормальность распределений данных проверяли методом Шапиро–Уилка. Оценивали следующие операционные параметры:
- аналитическую точность – по диаграммам Блэнда–Алтмана;
- клиническую точность – по номограммам CEG и SEG;
- линейность – методом регрессионного анализа;
- воспроизводимость – путем расчета индивидуальных CV результатов измерений СGL в каждой пробе и расчета среднего CV и медианы CV;
- MARD – как среднее модулей относительных отклонений результатов Акку-Чек Информ II от результатов анализатора.
Результаты
С помощью глюкометра Акку-Чек Информ II выполнили в общей сложности 99 измерений CGL в пробах капиллярной крови с CGL в диапазоне 0,7–34 ммоль/л, в том числе 22 измерения в пробах с CGL<5,55 ммоль/л и 77 измерений в пробах с CGL≥5,55 ммоль/л. С помощью референтного анализатора выполнили 48 двойных измерений CGL в соответствующих пробах плазмы. Результаты измерений представлены в приложении к статье.
Результаты оценки соответствия Акку-Чек Информ II требованиям ISO 15197
Соответствие Акку-Чек Информ II первому требованию ISO 15197 оценили по диаграмме Блэнда–Алтмана (рис. 4).
Рис. 4. Оценка соответствия аналитической точности глюкометра Акку-Чек Информ II требованиям ISO 15197. Пунктир: линия идеальных совпадений результатов Акку-Чек Информ II и анализатора. Тонкие сплошные линии: границы диапазона допустимых отклонений по ISO 15197. Стрелка: результат, выходящий за допустимый диапазон. Абсцисса: CGL, измеренные анализатором, ммоль/л. Ордината: разность между CGL, измеренными Акку-Чек Информ II и анализатором, ммоль/л.
Fig. 4. Assessment of the Accu-Chek Inform II glucose meter analytical accuracy compliance with the ISO 15197. The dotted line is a line of the perfect match between the results of the Accu-Chek Inform II glucose meter and the analyzer. Thin solid lines are the limits of the range of permissible deviations according to ISO 15197. The arrow indicates an out-of-range result. The X-axis is CGL measured by the analyzer, mmol/L. The Y-axis is a difference between CGL measured by the Inform glucose meter and analyzer, mmol/L.
Все 22 (100%) из 22 результатов Акку-Чек Информ II в пробах крови с CGL<5,55 ммоль/л отклоняются от результатов анализатора менее чем на ±0,83 ммоль/л. Только 1 из 77 результатов измерений в пробах крови с CGL≥5,55 ммоль/л, а именно результат в модифицированной пробе крови с CGL 34 ммоль/л, отклоняется от результата анализатора на -16,23%, т.е. находится вне допустимого диапазона отклонений (±15%). Иначе говоря, 98,7% результатов Акку-Чек Информ II отклоняются от результатов анализатора не более чем на ±15% в диапазоне CGL≥5,55 ммоль/л. Таким образом, 98 (98,98%) из 99 результатов Акку-Чек Информ II находятся в допустимом диапазоне, что дает основание говорить о соответствии аналитической точности Акку-Чек Информ II требованиям ISO 15197.
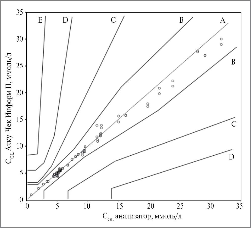
Соответствие Акку-Чек Информ II второму требованию ISO 15197 оценили по номограмме CEG (рис. 5).
Рис. 5. Оценка соответствия клинической точности глюкометра Акку-Чек Информ II требованиям ISO 15197. Пунктир: линия идеальных совпадений результатов Акку-Чек Информ II и анализатора. Сплошные линии: границы зон риска. Абсцисса: CGL, измеренные анализатором, ммоль/л. Ордината: CGL, измеренные Акку-Чек Информ II, ммоль/л.
Fig. 5. Assessment of the Accu-Chek Inform II glucose meter clinical accuracy compliance with the ISO 15197. The dotted line is a line of the perfect match between the results of the Accu-Chek Inform II glucose meter and the analyzer. Solid lines are the boundaries of the risk zones. The X-axis is CGL measured by the analyzer, mmol/L. The Y-axis is CGL measured by the Accu-Chek Inform II glucose meter, mmol/L.
Девяносто девять (100%) из 99 результатов измерений CGL, выполненных с помощью Акку-Чек Информ II, находятся в зоне A, что дает основание говорить о соответствии клинической точности Акку-Чек Информ II требованиям ISO 15197.
Клиническую точность Акку-Чек Информ II дополнительно оценили с помощью номограммы SEG (рис. 6).
На номограмме SEG все результаты измерений CGL, выполненных с помощью Акку-Чек Информ II, находятся в зоне отсутствия риска, что дает основание говорить о высокой клинической точности и безопасности Акку-Чек Информ II.
Результаты оценки соответствия Акку-Чек Информ II требованиям POCT12-A3
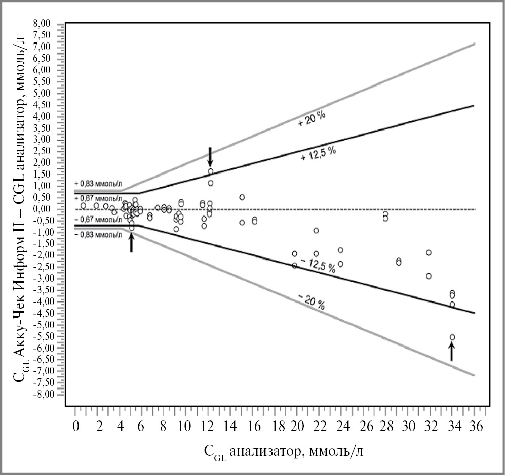
Соответствие Акку-Чек Информ II требованиям POCT12-A3 оценивали по диаграмме Блэнда–Алтмана (рис. 7).
Рис. 7. Оценка соответствия аналитической точности глюкометра Акку-Чек Информ II требованиям POCT12-A3. Пунктир: линия идеальных совпадений результатов Акку-Чек Информ II и анализатора. Черные линии: границы диапазона допустимых отклонений согласно первому требованию РОСТ12-А3. Серые линии: границы диапазона допустимых отклонений согласно второму требованию РОСТ12-А3. Стрелки: результаты, выходящие за пределы допустимых диапазонов. Абсцисса: CGL, измеренные анализатором, ммоль/л; ордината: разность между CGL, измеренными Акку-Чек Информ II и анализатором, ммоль/л.
Fig 7. Assessment of the Accu-Chek Inform II analytical accuracy compliance with the POCT12-A3. The dotted line is a line of the perfect match between the results of the Accu-Chek Inform II glucose meter and the analyzer. Black lines are the limits of the range of permissible deviations according to the POCT12-A3 first requirement. Grey lines are the limits of the range of permissible deviations according to the POCT12-A3 second requirement. The arrows indicate out-of-range results. The X-axis is CGL measured by the analyzer, mmol/L; the Y-axis is the difference between CGL measured by the Accu-Chek Inform II glucose meter and the analyzer, mmol/L.
За пределами диапазона отклонений, регламентируемого первым требованием POCT12-A3 (±12,5% или ±0,67 ммоль/л), находятся 3 (3,03%) из 99 результатов Акку-Чек Информ II, т.е. 96,97% результатов находятся в допустимых пределах. При этом 99 (100%) из 99 результатов Акку-Чек Информ II находятся в пределах диапазона, регламентируемого вторым требованием POCT12-A3 (±20% или ±0,83 ммоль/л). Это дает основание говорить о соответствии аналитической точности Акку-Чек Информ II требованиям POCT12-A3.
Результаты оценки линейности
Линейность результатов измерений CGL, выполненных с помощью Акку-Чек Информ II, оценили методом регрессионного анализа (рис. 8).
Рис. 8. Оценка линейности глюкометра Акку-Чек Информ II. Сплошная линия: кривая регрессии. Пунктир: линия идеальных совпадений результатов Акку-Чек Информ II и анализатора. В верхней части рисунка записано уравнение регрессии, где r – коэффициент корреляции, КС – коэффициент сдвига, КН – коэффициент наклона. Абсцисса: CGL, измеренные анализатором, ммоль/л; ордината: CGL, измеренные Акку-Чек Информ II, ммоль/л.
Fig. 8. Assessment of the linearity of the Accu-Chek Inform II glucose meter. The solid line is a regression curve. The dotted line is a line of the perfect match between the results of the Accu-Chek Inform II and the analyzer. In the top of the figure, the regression equation is written, where r – correlation coefficient; КС – shift factor; КН – slope coefficient. The X-axis is CGL measured by the analyzer, mmol/L; the Y-axis is CGL measured by the Accu-Chek Inform II, mmol/L.
Коэффициент корреляции r=1, что свидетельствует о высокой линейности Акку-Чек Информ II при измерениях CGL в диапазоне от 0,7 до 34 ммоль/л. Коэффициент наклона, равный 0,901, говорит о том, что Акку-Чек Информ II имеет небольшую отрицательную систематическую погрешность, т.е. результаты Акку-Чек Информ II постоянно слегка отклоняются в меньшую сторону от результатов референтного анализатора. Эта погрешность равна коэффициенту сдвига и составляет в среднем 0,575 ммоль/л.
Результаты оценки воспроизводимости
Среднее арифметическое CV составило 1,38% (95% доверительный интервал – ДИ 0,95–1,81%), медиана CV составила 1,13% (95% ДИ 0,49–1,55%). Таким образом, Акку-Чек Информ II обладает хорошей воспроизводимостью.
Результаты оценки MARD
Среднее арифметическое MARD составило 4,89% (95% ДИ 3,98–5,8%), медиана MARD составила 3,76% (95% ДИ 2,94–4,24%). Таким образом, Акку-Чек Информ II имеет приемлемую MARD.
Обсуждение
Испытание глюкометра Акку-Чек Информ II проводилось по инициативе врачей РДКБ – филиала ФГАОУ ВО «РНИМУ им. Н.И. Пирогова», финансировалось из бюджета больницы и, соответственно, являлось независимым пострегистрационным испытанием. Установили, что Акку-Чек Информ II обладает высокой аналитической и клинической точностью, высокой линейностью, хорошей воспроизводимостью и приемлемой MARD и соответствует требованиям ISO 15197 и POCT12-A3 в части аналитической и клинической точности.
На основании результатов испытания врачи и руководство РДКБ – филиала ФГАОУ ВО «РНИМУ им. Н.И. Пирогова» – окончательно решили заменить обычные глюкометры на госпитальные глюкометры Акку-Чек Информ II и использовать их для ИМЛ в приемном отделении и в отделениях терапевтического и хирургического профиля. Кроме того, результаты испытания позволяют рекомендовать госпитальный глюкометр Акку-Чек Информ II для выполнения ИМЛ в ЛПУ, в том числе в детских больницах.
Конфликт интересов. Все авторы не являются сотрудниками или консультантами компании Roche Diagnostics, не оказывали и не оказывают этой компании какие-либо оплачиваемые услуги.
Conflict of interest. All authors are not employees or consultants of Roche Diagnostics and have not received any compensation from Roche Diagnostics.
Вклад авторов. Авторы декларируют соответствие своего авторства международным критериям ICMJE. Все авторы в равной степени участвовали в подготовке публикации: разработка концепции статьи, получение и анализ фактических данных, написание и редактирование текста статьи, проверка и утверждение текста статьи.
Authors’ contribution. The authors declare the compliance of their authorship according to the international ICMJE criteria. All authors made a substantial contribution to the conception of the work, acquisition, analysis, interpretation of data for the work, drafting and revising the work, final approval of the version to be published and agree to be accountable for all aspects of the work.
Информированное согласие на публикацию. Пациенты подписали форму добровольного информированного согласия на публикацию медицинской информации.
Consent for publication. Written consent was obtained from the patients for publication of relevant medical information and all of accompanying images within the manuscript.
Соответствие принципам этики. Протокол исследования был одобрен локальным этическим комитетом РДКБ – филиала ФГАОУ ВО «РНИМУ им. Н.И. Пирогова» (протокол №3 от 23.11.2021). Одобрение и процедуру проведения протокола получали по принципам Хельсинкской декларации.
Ethics approval. The study was approved by the local ethics committee of Russian Children’s Clinical Hospital – Branch of Pirogov Russian National Research Medical University (protocol №3 dated 23.11.2021). The approval and procedure for the protocol were obtained in accordance with the principles of the Helsinki Convention.
Измерения глюкозы по месту лечения: пострегистрационное испытание госпитального глюкометра Акку-Чек Информ II. ПРИЛОЖЕНИЕ
About the authors
Elena E. Petryaykina
Russian Children’s Clinical Hospital – Branch of Pirogov Russian National Research Medical University
Email: alvaltim@gmail.com
ORCID iD: 0000-0002-8520-2378
дир.
Russian Federation, MoscowNikolay A. Mayanskiy
Russian Children’s Clinical Hospital – Branch of Pirogov Russian National Research Medical University
Email: alvaltim@gmail.com
ORCID iD: 0000-0001-8077-5313
рук. Центра лабораторной диагностики
Russian Federation, MoscowElena S. Demina
Russian Children’s Clinical Hospital – Branch of Pirogov Russian National Research Medical University
Email: alvaltim@gmail.com
ORCID iD: 0000-0002-4396-1245
зав. эндокринологическим отд-нием
Russian Federation, MoscowIrina V. Karamysheva
Russian Children’s Clinical Hospital – Branch of Pirogov Russian National Research Medical University
Email: alvaltim@gmail.com
врач клинической лабораторной диагностики Центра лабораторной диагностики
Russian Federation, MoscowKseniya A. Gorst
Russian Children’s Clinical Hospital – Branch of Pirogov Russian National Research Medical University
Email: alvaltim@gmail.com
ORCID iD: 0000-0002-5986-4976
врач клинической лабораторной диагностики Центра лабораторной диагностики
Russian Federation, MoscowAlexei V. Timofeev
Russian Children’s Clinical Hospital – Branch of Pirogov Russian National Research Medical University
Author for correspondence.
Email: alvaltim@gmail.com
ORCID iD: 0000-0002-6861-9630
врач клинической лабораторной диагностики Центра лабораторной диагностики
Russian Federation, MoscowReferences
- Бессонов И.С., Кузнецов В.А., Потолинская Ю.В., и др. Влияние гипергликемии на результаты чрескожных коронарных вмешательств у больных острым инфарктом миокарда с подъемом сегмента ST. Терапевтический архив. 2017;89(9):25-9 [Bessonov IS, Kuznetsov VA, Potolinskaya YuV, et al. Impact of hyperglycemia on the results of percutaneous coronary interventions in patients with acute ST-segment elevation myocardial infarction. Terapevticheskii Arkhiv (Ter. Arkh.). 2017;89(9):25-9 (in Russian)]. doi: 10.17116/terarkh201789925-29
- Rosinha PMO, Inácio IMR, de Moura Teixeira SM, et al. Hyperglycemia in hospitalized patients of a tertiary care hospital: prevalence and treatment in two cross-sectional evaluations (2011–2020). Arch Endocrinol Metab. 2022;66(2):214-21. doi: 10.20945/2359-3997000000452
- Cruz P, Blackburn MC, Tobin GS. A Systematic Approach for the Prevention and Reduction of Hypoglycemia in Hospitalized Patients. Curr Diab Rep. 2017;17(11):117. doi: 10.1007/s11892-017-0934-8
- International Organization for Standardization. ISO 15197:2013 In vitro diagnostic test systems requirements for blood-GLucose monitoring systems for self-testing in managing diabetes mellitus. Available at: https://www.iso.org/standard/54976.html#:~:text=ISO%2015197 %3A2013%20 specifies %20requirements,performance%20by%20the%20intended%20users/ Accessed: 29.11.2023.
- ГОСТ Р ИСО 15197-2015. Национальный стандарт Российской Федерации «Тест-системы для диагностики in vitro. Требования к системам мониторинга глюкозы в крови для самоконтроля при лечении сахарного диабета». Федеральное агентство по техническому регулированию и метрологии. М.: Стандартинформ, 2015. Режим доступа: https://docs.cntd.ru/document/1200120137. Ссылка активна на 29.11.2023 [GOST R ISO 15197-2015. Natsional'nyi standart Rossiiskoi Federatsii “Test-sistemy dlia diagnostiki in vitro. Trebovaniia k sistemam monitoringa gliukozy v krovi dlia samokontrolia pri lechenii sakharnogo diabeta”. Federal'noe agentstvo po tekhnicheskomu regulirovaniiu i metrologii. Moscow: Standartinform, 2015. Available at: https://docs.cntd.ru/document/1200120137. Accessed: 29.11.2023 (in Russian)].
- Bland JM, Altman DG. Statistical methods for assessing agreement between two methods of clinical measurement. Lancet. 1986;1(8476):307-10.
- Clarke WL, Cox D, Gonder-Frederick LA, et al. Evaluating clinical accuracy of systems for self-monitoring of blood GLucose. Diabetes Care. 1987;10(5):622-8. doi: 10.2337/diacare.10.5.622
- Parkes JL, Slatin SL, Pardo S, Ginsberg BH. A new consensus error grid to evaluate the clinical significance of inaccuracies in the measurement of blood glucose. Diabetes Care. 2000;23(8):1143-8. doi: 10.2337/diacare.23.8.1143
- Kovatchev BP, Wakeman CA, Breton MD, et al. Computing the surveillance error grid analysis: procedure and examples. J Diabetes Sci Technol. 2014;8(4):673-84. doi: 10.1177/1932296814539590
- Blood glucose Monitoring System Surveillance Program. Available at: https://www.diabetestechnology.org/seg.shtml. Accessed: 29.11.2023.
- CLSI. Point-of-Care Blood Glucose Testing in Acute and Chronic Care Facilities; Approved Guideline – Third Edition. CLSI document POCT12-A3. Wayne, PA, Clinical and Laboratory Standards Institute. 2013. Available at: https://clsi.org/standards/products/point-of-care-testing/documents/poct12. Accessed: 29.11.2023.
- Freckmann G, Mende J, Pleus S, et al. Mean Absolute Relative Difference of Blood GLucose Monitoring Systems and Relationship to ISO 15197. J Diabetes Sci Technol. 2022;16(5):1089-95. doi: 10.1177/19322968211001402
- Тимофеев А.В., Хайбулина Э.Т., Мамонов Р.А., Горст К.А. Проверка аналитических характеристик трех моделей глюкометров. Клиническая лабораторная диагностика. 2016;21(1):39-45 [Timofeev AV, Khaibulina ET, Mamonov RA, Gorst KA. Proverka analiticheskikh kharakteristik trekh modelei gliukometrov. Klinicheskaia laboratornaia diagnostika. 2016;21(1):39-45 (in Russian)].
- Mitsios JV, Ashby LA, Haverstick DM, et al. Analytic evaluation of a new glucose meter system in 15 different critical care settings. J Diabetes Sci Technol. 2013;7(5):1282-7. doi: 10.1177/193229681300700518
- Nichols JH, Brandler ES, Fantz CR, et al. A Multicenter Evaluation of a Point-of-Care Blood Glucose Meter System in Critically Ill Patients. J Appl Lab Med. 2021;6(4):820-33. doi: 10.1093/jalm/jfab005
- WMA Declaration of Helsinki – Ethical Principles for Medical Research Involving Human Subjects. Adopted by the 18th WMA General Assembly, Helsinki, Finland, June 1964 and amended by the 64th WMA General Assembly, Fortaleza, Brazil, October 2013. Available at: https://www.wma.net/policies-post/wma-declaration-of-helsinki-ethical-principles-for-medical-research-involving-human-subjects. Accessed: 29.11.2023.
- Федеральный закон Российской Федерации №323-ФЗ от 21 ноября 2011 г. «Об основах охраны здоровья граждан в Российской Федерации». Режим доступа: http://publication.pravo.gov.ru/Document/View/0001201111220007. Ссылка активна на 29.11.2023 [Federal law of the Russian Federation 323-FZ of 21 November 2011. “Basic principles of health care in the Russian Federation”. Available at: http://publication.pravo.gov.ru/Document/View/0001201111220007. Accessed: 29.11.2023 (in Russian)].
- MedCalc® Statistical Software version 22.016. MedCalc Software Ltd, Ostend, Belgium. Available at: https://www.medcalc.org. Accessed: 29.11.2023.
Supplementary files
