Comparative efficacy of a combination of undenatured type II collagen, Boswellic acids, methylsulfonylmethane, vitamins C and D3 and a combination of chondroitin sulfate and glucosamine hydrochloride in the treatment of primary osteoarthritis of the knee joint
- Authors: Mazurov V.I.1,2, Belyaeva I.B.1, Trofimov E.A.1, Itskovich I.E.1, Burulev A.L.1
-
Affiliations:
- Mechnikov North-Western State Medical University
- Clinical Rheumatology Hospital 25
- Issue: Vol 95, No 12 (2023)
- Pages: 1141-1150
- Section: Original articles
- Submitted: 31.01.2024
- Accepted: 31.01.2024
- Published:
- URL: https://ter-arkhiv.ru/0040-3660/article/view/626340
- DOI: https://doi.org/10.26442/00403660.2023.12.202540
- ID: 626340
Cite item
Full Text
Abstract
Aim. To evaluate the efficacy of Artneo (AN) in comparison with a combination of glucosamine hydrochloride and chondroitin sulfate (GC) in patients with osteoarthritis (OA) of the knee joint (KJ).
Materials and methods. 70 patients with stages I–III of primary knee OA were randomized into 2 groups. Participants in the 1st (n=35) took AN 1 caps/day, in the 2nd (n=35) GC according to the standard regimen. After 7, 30, 90, 180 days, the Lequesne index (severity of OA), pain when moving according to VAS, WOMAC score were assessed, after 1, 3, 6 months – quality of life SF-36 and morning stiffness, after 6 months – MRI with T2 mapping, laboratory safety indicators.
Results. Over the course of 6 months of use, an improvement in the WOMAC index and a decrease in pain were observed without intergroup differences, and a greater decrease in stiffness in the AN group. After 3 months, the severity of OA decreased from moderate to mild in the AN group and was significantly lower compared to the GC group; quality of life (physical component of SF-36) was higher in the AN group. After 6 months, there was an improvement in cartilage ultrastructure (T2 relaxation time) in both groups and a more pronounced reduction of the synovitis area (MRI) in the AN group (2.95 and 1.37 times in the AN and GC group, respectively). There were no clinically significant adverse reactions observed in both groups.
Conclusion. The use of AN in patients with stage I–III primary knee OA was not inferior in efficacy to the combination of GC. Further studies with greater statistical power (sample size) and follow-up period are warranted including in real clinical practice.
Full Text
Список сокращений
АГ – артериальная гипертензия
АН – Артнео
ВАШ – Визуальная аналоговая шкала
ГХ – комбинация глюкозамина гидрохлорида и хондроитина сульфата
ДИ – доверительный интервал
ИМТ – индекс массы тела
КС – коленный сустав
МРТ – магнитно-резонансная томография
НК-II – неденатурированный (нативный) коллаген II типа
НПВП – нестероидные противовоспалительные препараты
ОА – остеоартрит
СД – сахарный диабет
SYSADOAs – Symptomatic Slow-acting Drugs for Osteoarthritis
WOMAC – Western Ontario and McMaster Universities Osteoarthritis
Введение
Остеоартрит (ОА) – одна из лидирующих патологий опорно-двигательного аппарата [1], распространенность которой среди взрослого населения составляет около 13% [2, 3]. Согласно официальным данным, в России насчитывается более 4 млн больных ОА, при этом истинное число может достигать 15 млн [4]. ОА характеризуется высокой коморбидностью [5, 6] и наиболее часто сочетается с артериальной гипертензией (АГ), атеросклерозом, ишемической болезнью сердца, ожирением, сахарным диабетом (СД), заболеваниями желудочно-кишечного тракта и хронической обструктивной болезнью легких [7]. Проблема курации коморбидного пациента с ОА до сих пор является сложной задачей и требует индивидуального подхода [8–10].
Применение нестероидных противовоспалительных препаратов (НПВП), глюкокортикостероидов и трамадола ограничено при коморбидности. В клинических рекомендациях особое значение придается нефармакологическим методам и SYSADOAs (Symptomatic Slow-acting Drugs for Osteoarthritis) [8, 11–13]. Неденатурированный коллаген II типа (НК-II, или UC-II), полученный из хряща куриной грудины, является новым методом лечения, который реализуется через механизм оральной иммунной толерантности и может предотвратить воспаление и деградацию суставов [14]. В исследованиях, проведенных на животных и человеке, выявлен положительный эффект от использования НК-II, заключающийся в предотвращении повреждения хряща и остановке развития патологического процесса. В рамках сравнительных двойных слепых клинических исследований НК-II оказывал более выраженные эффекты по сравнению с препаратами SYSADOAs [15, 16].
В статье представлены результаты открытого проспективного рандомизированного исследования эффективности и безопасности фиксированной комбинации Артнео® (АН), которая содержит НК-II из хряща куриной грудины (UC-II 40 мг), босвеллиевые кислоты (32,5 мг), метилсульфонилметан (300 мг), витамины С (80 мг) и D3 (10 мкг), в сравнении с комбинацией хондроитина сульфата (500 мг) и глюкозамина гидрохлорида – ГХ (500 мг) у больных ОА коленного сустава (КС) I–III стадии. Исследование получило одобрение этического комитета, зарегистрировано в реестре клинических исследований (NCT06032442, www.clinicaltrials.gov) и проведено на базе ООО «Медико-санитарная часть №157» г. Санкт-Петербурга с марта 2022 по июль 2023 г.
Цель исследования – оценить эффективность и безопасность АН в сравнении с комбинацией ГХ в терапии больных ОА с поражением КС I–III стадии.
Материалы и методы
В исследовании приняли участие 70 пациентов обоего пола в возрасте 40–75 лет с первичным ОА КС I–III стадии согласно критериям Kellgren–Lawrence [7], умеренной болью по Визуальной аналоговой шкале (ВАШ) при ходьбе (45–74 мм) и средней тяжестью гонартроза по индексу Лекена (5–7 баллов). В исследование не включали пациентов с системными заболеваниями соединительной ткани, фибромиалгией и иными синдромами хронической боли, подагрой (в анамнезе). Перед участием все больные подписали форму добровольного информированного согласия и отказались от приема анальгетиков и НПВП. Разрешалось применение по требованию препарата «спасения» – парацетамола (до 1,5 г/сут), однако при условии его отмены за 48 ч перед оценкой боли.
Участников распределили на группы с применением конвертов и метода блоковой рандомизации. Основная (n=35) группа получала АН по 1 капсуле 1 раз в день вечером. В группе сравнения (n=35) назначали ГХ (глюкозамина гидрохлорид 500 мг + хондроитина сульфат 500 мг) – Артра® – в первые 3 нед по 1 таблетке 2 раза в сутки, в последующие 21 нед – по 1 таблетке 1 раз в сутки согласно инструкции. Длительность приема АН и ГХ составила 6 мес.
Исследование включало 9 визитов. На визите скрининга (день «-7») получали информированное согласие, отменяли анальгетики и НПВП (отмывочный период, дни «-7» – «0»). Исходные значения показателей эффективности оценивали на визите рандомизации (день 1), а их динамику наблюдали в последующие 7 (дни 7, 30, 60, 90, 120, 150 и 180).
Оценка эффективности. В дни 1, 7, 30, 90 и 180 оценивали индекс WOMAC, представленный 24 вопросами касательно ОА, сгруппированными в 3 подшкалы: боль WOMAC-A (до 20 баллов), скованность WOMAC-B (до 8 баллов), функциональность WOMAC-C (до 68 баллов) [17]. Суммарную оценку в 0–14 баллов интерпретировали как «отлично», 15–28 – «хорошо», 29–38 – «удовлетворительно», >38 – «неудовлетворительно». Тяжесть гонартроза оценивали по шкале Лекена. Максимальный суммарный индекс составил 24 балла, минимальное клинически значимое снижение >2,75 [18]. Тяжесть заболевания оценивали как слабую при значении индекса 1–4 балла, среднюю – при 5–7, выраженную – при 8–10, значительно выраженную – при 11–13, резко выраженную – от 13. Боль в целевом КС (боль в движении – при его старте и ходьбе по кабинету) оценивали по шкале ВАШ (0–100 мм) [19]. Для измерения истинной боли предполагался полный отказ от приема в любой дозе препарата «спасения» – парацетамола, а также от процедур, направленных на снижение боли в КС за 48 ч до измерения.
В дни 1, 7, 30, 90 и 180 измеряли окружность КС, спустя 1, 3 и 6 мес – продолжительность утренней скованности и качество жизни по опроснику SF-36 [19, 20], который включает 8 подшкал (36 вопросов), группируемых в виде физического и психологического компонентов здоровья.
Через 6 мес оценивали эффективность терапии с использованием интегральной шкалы оценки результатов лечения IMOS («полное выздоровление», «значительное улучшение», «незначительное, до умеренного, улучшение», «без изменений», «ухудшение») [21]. Проведенное лечение оценивали и пациенты («отлично», «хорошо», «удовлетворительно» или «неэффективно»).
Лучевые методы. В начале и по окончании 6 мес лечения проводили магнитно-резонансную томографию (МРТ) целевого КС (GE Signa Pioneer 3,0 тесла, импульсные последовательности: 3D Sag PD FS Cube, 3D Sag MERGE water excited, 3D Sag MENSA, 3D Sag T1 Cube, 3D Sag T2/PD FS Cube, Ax DWI FOCUS b 50-800, Sag T2 frFSE FS, T2 MAP AX.T2 MAP SAG). Измерение параметров производили на программном обеспечении GE HealthCare. Оценивали толщину синовиальной оболочки, отек костного мозга, размеры остеофитов. Площадь синовита измеряли на аксиальных изображениях в супрапателлярной сумке на уровне верхнего края надколенника. Время T2-релаксации определяли, выделяя в хряще 3 гистологических слоя, на каждый из которых устанавливали ROI диаметром 3 мм. Цветовое Т2-картирование хряща проводили в аксиальной и сагиттальной плоскостях с использованием приложения ReadyView.
Методы статистической обработки. Данные представлены в виде средних значений со среднеквадратичным отклонением (M±SD). Межгрупповые сравнения качественных признаков проводили с помощью критерия χ-квадрат. Гипотезу о нормальном распределении значений количественных признаков проверяли с помощью критерия Шапиро–Уилка. В случае нормальности распределения данные сравнивали с помощью t-критерия Стьюдента. В случае шкальных признаков (WOMAC, индекс Лекена, боль по ВАШ, IMOS) и признаков с ненормальным распределением для определения достоверности межгрупповых различий использовали тест Манна–Уитни, а для оценки динамики показателей – критерий Уилкоксона. Различия величин оценивали как значимые при p<0,05.
Результаты
Группы были сопоставимы по полу, индексу массы тела (ИМТ), коморбидным состояниям и рентгенологической стадии ОА (p>0,05). Средний возраст составил 55±9 и 60±9 лет в группах АН и ГХ соответственно. Преобладали лица женского пола в возрасте 55–60 лет с I–II стадиями ОА. Наиболее частыми коморбидными состояниями являлись гипертоническая болезнь, избыточная масса тела, ожирение 1-й степени, хронический гастрит, СД 2-го типа (табл. 1).
Таблица 1. Основные характеристики и коморбидные состояния исследуемой популяции
Table 1. Main characteristics and comorbid conditions of the study population
Параметр | АН, n=35* | ГХ, n=35* | p-value** |
Пол, абс. (%): | >0,9 | ||
женский | 29 (83) | 29 (83) | |
мужской | 6 (17) | 6 (17) | |
Возраст, лет | 55±9 | 60±9 | 0,013 |
Вес, кг | 76±14 | 77±14 | 0,8 |
Рост, м | 1,66±0,10 | 1,68±0,08 | 0,3 |
ИМТ, кг/м2 | 27,6±4,1 | 27,2±4,2 | 0,7 |
Рентгенологическая стадия ОА, абс. (%): | 0,057 | ||
I | 16 (46) | 8 (23) | |
II | 18 (51) | 22 (63) | |
III | 1 (3) | 5 (14) | |
Коморбидность, абс. (%): | |||
гипертоническая болезнь | 17 (49) | 20 (57) | 0,6 |
избыточная масса тела | 18 (51) | 16 (46) | 0,8 |
ожирение 1-й степени | 9 (26) | 9 (26) | >0,9 |
СД 2-го типа | 4 (11) | 3 (9) | >0,9 |
хронический гастрит | 5 (14) | 5 (14) | >0,9 |
ишемическая болезнь сердца | 0 | 2 (6) | 0,5 |
*Среднее ± стандартное отклонение, **критерий χ-квадрат, t-критерий Стьюдента. | |||
Заметная положительная динамика по индексу Лекена (p<0,05 при сравнении с исходным уровнем) отмечалась к 30-му дню в группе АН, к 180-му – в группе ГХ (рис. 1). На 3-й месяц лечения тяжесть течения ОА в группе АН была значительно ниже, чем в группе ГХ (p<0,05). Через 6 мес статистически значимое снижение индекса Лекена (p<0,05) наблюдалось в обеих группах, а клинически значимое снижение (не менее 2,75 балла [18]) – в группе АН.
Рис. 1. Альгофункциональный индекс Лекена: a – абсолютные значения; b – изменения от исходного значения, %.
Fig. 1. Lequesne algofunctional index: a – absolute values; b – changes from the initial value, %.
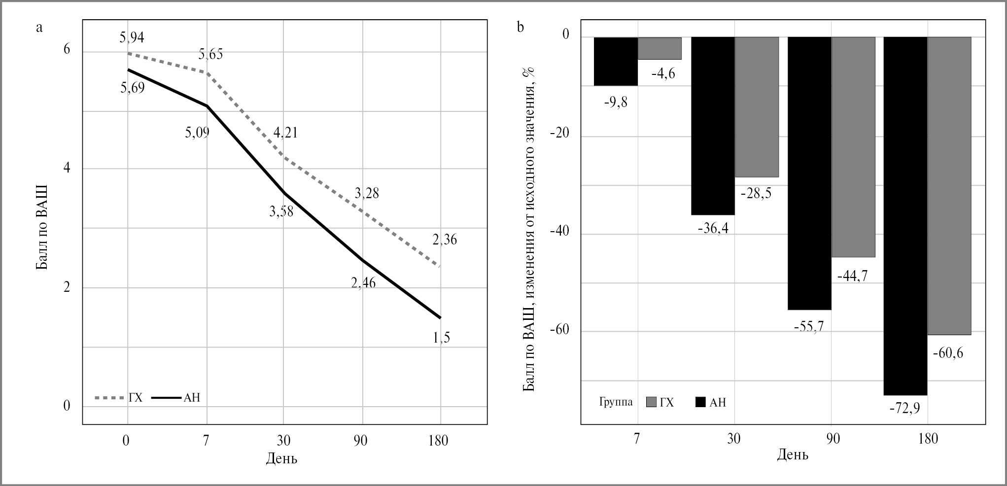
Показатели боли при ходьбе по ВАШ демонстрировали положительную динамику. Статистически (p<0,05) и клинически (>1,37 см [19]) значимое снижение средних значений относительно исходных отмечено с 30-го дня в обеих группах (на 2,11 и 1,73 балла в группах АН и ГХ соответственно). К моменту завершения наблюдения за пациентами отмечали значимое снижение боли в целевом КС (при движении) по ВАШ без достоверных различий по группам (рис. 2).
Рис. 2. ВАШ боли при ходьбе: a – абсолютные значения; b – изменения от исходного значения, %.
Fig. 2. VAS pain when walking: a – absolute values; b – changes from the initial value, %.
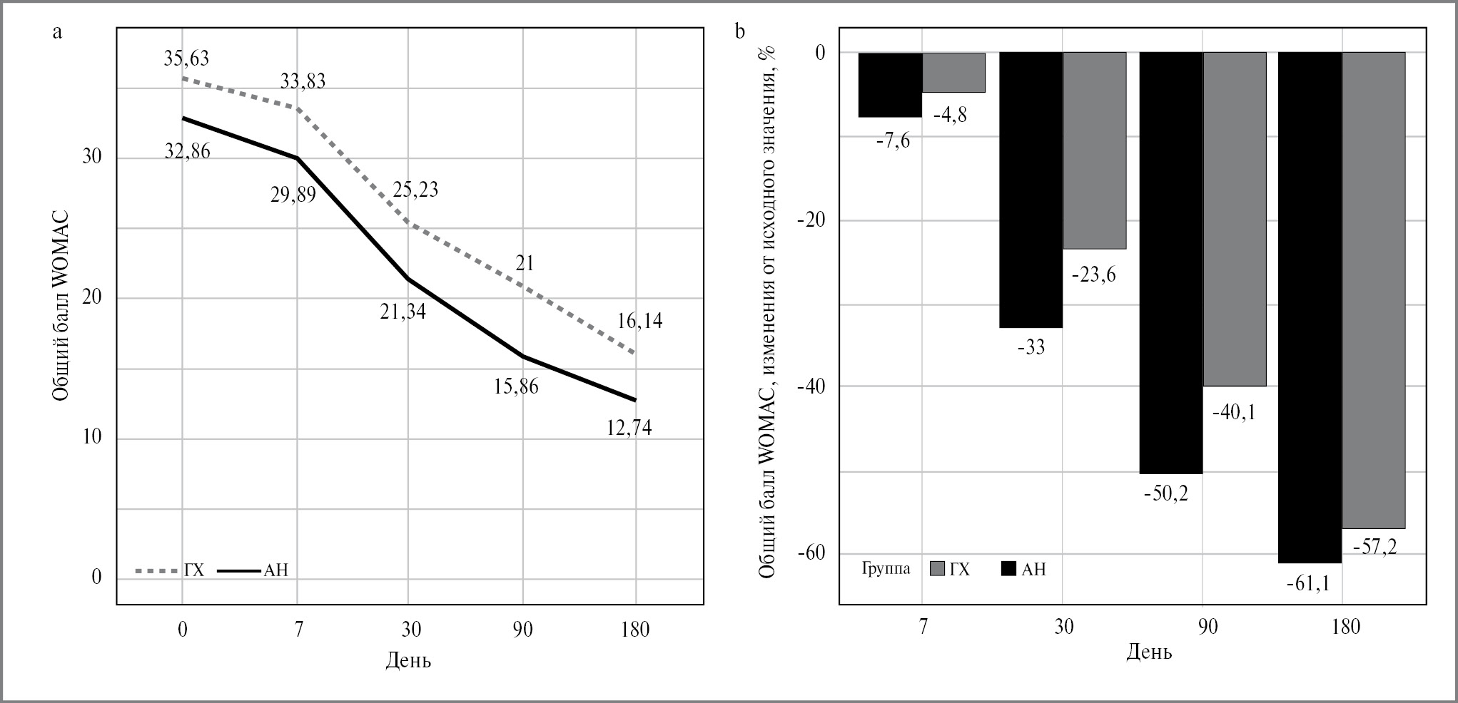
Значимое снижение индекса WOMAC (p<0,05) определялось c 30-го дня в обеих группах, положительная динамика сохранялась в течение 6 мес без достоверных межгрупповых различий (рис. 3).
Рис. 3. Индекс WOMAC: a – абсолютные значения; b – изменения от исходного значения, %.
Fig. 3. WOMAC score: a – absolute values; b – changes from the initial value, %.
В каждой группе к моменту завершения наблюдения отмечена достоверная динамика снижения средних значений длины окружности целевого КС по отношению к исходным значениям (p<0,05): с 406,97 см (95% доверительный интервал – ДИ 391,31–422,64) до 403,91 (95% ДИ 388,41–419,42) и с 415,17 (95% ДИ 401,01–429,33) до 414,23 (95% ДИ 400,18–428,28) в группах АН и ГХ соответственно.
В группе АН наблюдалась более выраженная динамика снижения продолжительности утренней скованности по сравнению с группой ГХ через 1, 3 и 6 мес лечения (p<0,05); рис. 4.
Рис. 4. Утренняя скованность: a – абсолютные значения; b – изменения от исходного значения, мин.
Fig. 4. Morning stiffness: a – absolute values; b – changes from the initial value, min.
Качество жизни, определяемое по значениям физического компонента SF-36, оказалось достоверно (p<0,05) выше в группе АН: с 37,83 (95% ДИ 35,34–40,33) до 46,03 (43,66–48,41) и с 36,33 (33,54–39,13) до 42,37 (39,94–44,81) в группах АН и ГХ соответственно (p<0,05) с сохранением положительной динамики (p<0,05) через 6 мес в обеих группах.
При анализе субшкал опросника SF-36 оценивали размер эффекта, проводя расчеты коэффициента конкордации W Кендалла (рис. 5). По субшкалам SF-36 большой размер эффекта (>0,6) получен в группе АН по показателю «Телесная боль» (0,608). Умеренный размер эффекта в группе АН отмечен по физическому компоненту здоровья и субшкалам «Ролевое функционирование», «Физическое функционирование» и «Социальное функционирование». В группе ГХ умеренный размер эффекта отмечен по физическому компоненту здоровья и субшкале «Телесная боль».
Рис. 5. Качество жизни SF-36 с расчетом размера эффекта (коэффициента конкордации W Кендалла).
Fig. 5. SF-36 quality of life with calculation of the effect size (Kendall’s W concordance coefficient).
При субъективной оценке эффективности терапии (шкала IMOS) значительное улучшение, по мнению врачей, отмечено у 83% пациентов из группы АН, у 60% – из группы ГХ. Достоверных различий по оценкам удовлетворенности терапией, по мнению пациентов, не выявлено (рис. 6).
Рис. 6. Оценка врачом (a) и пациентом (b) эффективности терапии по окончании 6 мес лечения.
Fig. 6. Assessment by the doctor (a) and the patient (b) of the effecacy of therapy at the end of 6 months of treatment.
Более выраженное уменьшение среднего значения площади синовита (рис. 7) наблюдали в группе АН (снижение в 2,95 и 1,37 раза в группах АН и ГХ соответственно). В обеих группах положительная динамика отмечалась более чем у 1/2 пациентов. В группе обследуемых, принимавших ГХ, у 21 (60%) пациента отмечена положительная динамика, у 5 (14,3%) – отрицательная, у 9 (25,7%) – без динамики. В группе АН у 18 (53%) обследуемых отмечена положительная динамика, у 3 (9%) – отрицательная, у 13 (38%) – без динамики. Не у всех обследуемых до начала лечения выявлены признаки синовита. В случае его отсутствия по окончании исследования таких пациентов относили к категории «без динамики».
Рис. 7. Площадь синовита по данным МРТ.
Fig. 7. Area of synovitis after 6 months according to MRI.
На рис. 8 представлен репрезентативный случай из исследования с уменьшением площади синовита на фоне терапии АН более чем в 5 раз.
Рис. 8. Площадь синовита у пациентки В. на фоне терапии АН через 6 мес: a – визит 2, площадь синовита – 8,1 см2; b – визит 9, площадь синовита – 1,5 см2.
Fig. 8. Area of synovitis in patient V. during Artneo therapy after 6 months: a – visit 2, area of synovitis 8.1 cm2; b – visit 9, area of synovitis 1.5 cm2.
В обеих группах к концу исследования определялось значимое снижение (p<0,05) времени Т2-релаксации хряща, свидетельствующее об улучшении биохимической ультраструктуры через 6 мес лечения (табл. 2). Значимых межгрупповых различий по данному показателю не выявлено (р>0,05). Динамика размера остеофитов (мм), площади отека костного мозга (см2) и кистовидной перестройки (см2) на фоне терапии АН или ГХ представлена в табл. 2.
Таблица 2. Размеры остеофитов (мм), площадь отека костного мозга (см2) и площадь кистовидной перестройки (см2)
Table 2. Dimensions of osteophytes (mm), area of bone marrow edema (cm2) and area of cystic reconstruction (cm2)
АН | АН | АН | ГХ | ГХ | ГХ | |
Параметр | день 0, n=33* | день 180, n=33* | p-value** | день 0, n=35* | день 180, n=35* | p-value** |
Время Т2-релаксации, мс | 34,3±3,4 | 32,9±3,1 | 0,002 | 34,3±3,1 | 33,1±3,6 | 0,001 |
Площадь кистовидной перестройки, см² | 0,07±0,24 | 0,07±0,24 | 0,25±0,46 | 0,25±0,46 | ||
Площадь отека костного мозга, см² | 0,13±0,48 | 0,15±0,53 | 0,8 | 0,41±0,86 | 0,33±1,36 | 0,8 |
Размеры остеофитов, мм | ||||||
Верхний полюс надколенника | 1,67±1,11 | 1,67±1,11 | 2,94±2,54 | 2,94±2,54 | ||
Нижний полюс надколенника | 1,09±1,38 | 1,09±1,38 | 1,63±2,22 | 1,63±2,22 | ||
Боковой полюс | ||||||
медиального мыщелка бедра | 0,97±2,05 | 0,97±2,05 | 2,06±2,90 | 2,06±2,90 | ||
латерального мыщелка бедра | 0,55±1,23 | 0,55±1,23 | 1,51±2,17 | 1,51±2,17 | ||
медиального мыщелка большеберцовой кости | 0,55±1,44 | 0,55±1,44 | 1,77±2,89 | 1,77±2,89 | ||
латерального мыщелка большеберцовой кости | 0,52±1,37 | 0,52±1,37 | 1,03±1,74 | 1,03±1,74 | ||
Примечание. Здесь и далее в табл. 3–5: *cреднее ± стандартное отклонение, **t-критерий Стьюдента для связных выборок. | ||||||
В обеих группах продемонстрированы хорошая переносимость и высокая безопасность терапии (табл. 3–5). Клинически значимых нежелательных явлений, связанных с приемом АН или ГХ, не зарегистрировано.
Таблица 3. Жизненно важные показатели исходно и через 6 мес
Table 3. Vital signs at baseline and after 6 months
АН | АН | АН | ГХ | ГХ | ГХ | |
Параметр | день 0, n=35* | день 180, n=35* | p-value** | день 0, n=35* | день 180, n=35* | p-value** |
Систолическое давление, мм рт. ст. | 120±7 | 119±5 | 0,2 | 121±7 | 122±6 | 0,7 |
Диастолическое давление, мм рт. ст. | 77,1±4,8 | 76,9±4,2 | 0,7 | 78,2±5,0 | 77,8±4,2 | 0,5 |
Частота сердечных сокращений, уд/мин | 68,6±4,9 | 66,5±4,4 | 0,008 | 69,0±5,7 | 69,5±5,6 | 0,6 |
Частота дыхания, движ/мин | 15,83±1,84 | 15,43±2,20 | 0,13 | 15,09±2,13 | 15,26±2,28 | 0,6 |
t, ºC | 36,52±0,11 | 36,55±0,10 | 0,10 | 36,52±0,13 | 36,58±0,10 | 0,031 |
Таблица 4. Клинический анализ крови исходно и через 6 мес
Table 4. Clinical blood test at baseline and after 6 months
АН | АН | АН | ГХ | ГХ | ГХ | |
Параметр | день 0, n=35* | день 180, n=35* | p-value** | день 0, n=35* | день 180, n=35* | p-value** |
Гемоглобин, г/л | 137±12 | 138±10 | 0,9 | 136±9 | 137±10 | 0,5 |
Гематокрит, % | 42,0±3,5 | 42,0±2,9 | >0,9 | 41,43±2,65 | 41,68±3,12 | 0,5 |
Эритроциты, 1012/л | 4,56±0,38 | 4,57±0,35 | 0,8 | 4,53±0,34 | 4,62±0,36 | 0,046 |
Тромбоциты, 109/л | 245±49 | 245±54 | >0,9 | 266±67 | 254±55 | 0,2 |
Лейкоциты, 109/л | 5,86±1,55 | 6,00±1,24 | 0,5 | 5,92±1,26 | 6,20±1,22 | 0,2 |
Нейтрофилы, % | 57±9 | 55±8 | 0,3 | 56±8 | 54±12 | 0,3 |
Нейтрофилы, 109/л | 3,37±1,17 | 3,33±0,90 | 0,8 | 3,37±0,98 | 3,36±1,01 | >0,9 |
Лимфоциты, % | 33±8 | 35±7 | 0,3 | 34±8 | 35±9 | 0,6 |
Лимфоциты, 109/л | 1,91±0,57 | 2,09±0,57 | 0,048 | 1,99±0,58 | 2,14±0,75 | 0,11 |
Моноциты, % | 7,10±1,78 | 6,78±1,55 | 0,3 | 6,65±1,04 | 7,93± 5,29 | 0,14 |
Моноциты, 109/л | 0,41±0,13 | 0,40±0,11 | 0,5 | 0,39±0,11 | 0,43±0,14 | 0,089 |
Эозинофилы, % | 2,25±1,38 | 2,68±1,88 | 0,15 | 2,53±1,97 | 2,44±1,50 | 0,7 |
Эозинофилы, 109/л | 0,13±0,09 | 0,16±0,10 | 0,062 | 0,15±0,10 | 0,16±0,11 | 0,5 |
Базофилы, % | 0,46±0,32 | 1,78±8,39 | 0,4 | 0,36±0,19 | 0,37±0,21 | 0,8 |
Базофилы, 109/л | 0,027±0,023 | 0,104±0,489 | 0,4 | 0,021±0,011 | 0,021±0,013 | 0,7 |
Скорость оседания эритроцитов, мм/ч | 14,5±6,9 | 13,7±5,4 | 0,4 | 17,1±6,5 | 15,1±5,5 | 0,089 |
Таблица 5. Биохимический анализ крови исходно и через 6 мес
Table 5. Biochemical blood test at baseline and after 6 months
АН | АН | АН | ГХ | ГХ | ГХ | |
Параметр | день 0, n=35* | день 180, n=35* | p-value** | день 0, n=35* | день 180, n=35* | p-value** |
Глюкоза, ммоль/л | 5,40±0,51 | 5,47±0,56 | 0,5 | 5,56±0,49 | 5,50±0,45 | 0,5 |
АЛТ, Ед/л | 24±11 | 22±8 | 0,3 | 22±11 | 22±10 | 0,7 |
АСТ, Ед/л | 22±6 | 23±7 | 0,4 | 21±7 | 25±8 | 0,002 |
ГГТ, Ед/л | 24±12 | 24±11 | 0,8 | 24±13 | 24±11 | >0,9 |
Билирубин общий, мкмоль/л | 10,7±4,8 | 11,4±4,0 | 0,13 | 11,9±6,0 | 11,7±4,9 | 0,8 |
Креатинин, мкмоль/л | 81±17 | 84±13 | 0,3 | 82±17 | 82±17 | >0,9 |
СКФ, мл/мин/1,73 м² | 90±27 | 86±20 | 0,2 | 83±23 | 82±20 | 0,7 |
Мочевая кислота, мкмоль/л | 253±84 | 227±68 | 0,009 | 246±66 | 259±75 | 0,3 |
Ревматоидный фактор | 14±8 | 14±7 | >0,9 | 15±10 | 18±10 | 0,2 |
ЩФ, Ед/л | 147±61 | 169±58 | 0,025 | 150±53 | 179±52 | <0,001 |
Примечание. АЛТ – аланинаминотрансфераза, АСТ – аспартатаминотрансфераза, ГГТ – γ-глутамилтрансфераза, СКФ – скорость клубочковой фильтрации, ЩФ – щелочная фосфатаза | ||||||
В дополнительном обезболивании с использованием препарата «спасения» нуждались лишь 3 (9%) пациента в каждой группе. Отмечена тенденция к большей максимальной (1000 и 500 мг) и большей средней (667 и 500 мг) совокупным дозам парацетамола в группе ГХ.
Случаев выбывания пациентов из исследования, в частности вследствие необходимости назначения НПВП и иных обезболивающих лекарственных препаратов (за исключением приема в установленных протоколом дозах препарата «спасения» – парацетамола) либо увеличения разрешенной по протоколу дозы (1500 мг в день) парацетамола, не зарегистрировано.
Обсуждение
В ходе проведенного исследования установлено, что эффективность и безопасность АН у коморбидных больных ОА с I–III стадиями гонартроза не уступает ГХ. Отмечены снижение выраженности болевого синдрома (по ВАШ боли при движении), уменьшение продолжительности утренней скованности, снижение тяжести течения ОА по альгофункциональному индексу Лекена, улучшение состояния пациентов согласно опроснику WOMAC. Приведенные изменения являлись значимыми начиная с 30-го дня терапии, с более выраженной по сравнению с ГХ положительной динамикой к 6-му месяцу терапии, что согласуется с результатами ранее проведенных исследований.
В трех метаанализах [22–24] сделаны выводы о значительном влиянии экстракта Boswellia serrata на боль и функцию у пациентов с ОА. В двойных слепых рандомизированных исследованиях J. Lugo и соавт. (2016 г.) [15], D. Crowley и соавт. (2009 г.) [16] отмечены преимущества куриного НК-II (40 мг/сут) в отношении боли и функции сустава по сравнению с комбинацией ГХ у пациентов с ОА. В недавнем метаанализе [25] показано влияние НК-II на боль, скованность и функцию КС, в другом же [24] сообщалось об умеренном эффекте НК-II в отношении боли и функции КС при ОА (боль: SMD -0,67, 95% ДИ -1,01–-0,33; функция: SMD -0,55, 95% ДИ -0,94–-0,17). В недавнем исследовании D. Sadigursky и соавт. (2022 г.) [26] НК-II изучен у пожилых пациентов (60–80 лет) с ОА, осложненным различными проявлениями метаболического синдрома. Ввиду сложности выбора симптом-модифицирующей терапии для коморбидных пациентов с ограничениями к назначению или прямыми противопоказаниями для назначения НПВП (СД, неконтролируемая АГ, хроническая болезнь почек) возможность применения у них исследуемой комбинации имеет важное практическое значение.
К ограничениям исследования можно отнести объем и гетерогенность выборки, длительность периода терапии, наблюдение, лимитированное 6 мес. В связи с этим целесообразно проведение дальнейших исследований с большей статистической мощностью (размером выборки) и более длительным периодом наблюдения, в том числе в рамках рутинной клинической практики.
Нами впервые получено подтверждение эффективности оригинальной комбинации пяти компонентов в рамках сравнительного исследования. Научной новизной работы является оценка эффективности путем проведения МРТ КС с Т2-картированием хряща в динамике полугодового наблюдения. По итогам МРТ-исследования у большей части пациентов к завершающему визиту определялось снижение площади выпота и/или улучшение ультраструктуры хряща. Данные о наличии более выраженной динамики уменьшения площади синовита в группе АН через 6 мес терапии свидетельствуют о значимом противовоспалительном эффекте АН, обусловленном комплексом входящих в исследуемую комбинацию компонентов НК-II, метилсульфонилметана и экстракта Boswellia serratа. Исследование подтвердило возможность применения АН у пациентов с синовитом при метаболическом и воспалительном фенотипах ОА.
Представляют интерес результаты оценки качества жизни пациентов по шкале SF-36, согласно которым к концу лечения в группе АН получен большой размер эффекта по субшкале «Телесная боль». Указанные данные согласуются с оценкой терапии врачом по шкале IMOS, которая свидетельствовала о достоверно лучшем эффекте в группе АН по сравнению с группой ГХ.
Большую прикладную значимость для врачей, подбирающих более подходящую терапию для пациентов с недостаточной комплаентностью, могут представлять данные о том, что тяжесть течения гонартроза в группе АН снижалась со средней до слабой менее чем через 3 мес, в группе ГХ – через 6 мес.
Заключение
Таким образом, сравнимый, а по ряду показателей и более выраженный клинический эффект АН против ГХ и отсутствие клинически значимых нежелательных явлений и отклонений лабораторных показателей на фоне применения АН свидетельствуют об эффективности, хорошей переносимости и безопасности АН, в том числе у коморбидных пациентов с АГ, СД и метаболическим синдромом. Соответственно, АН может быть рекомендован к применению в комплексной терапии ОА, в том числе у пациентов в условиях ограниченности использования НПВП.
Раскрытие интересов. Авторы декларируют отсутствие явных и потенциальных конфликтов интересов, связанных с публикацией настоящей статьи.
Disclosure of interest. The authors declare that they have no competing interests.
Вклад авторов. Авторы декларируют соответствие своего авторства международным критериям ICMJE. Все авторы в равной степени участвовали в подготовке публикации: разработка концепции статьи, получение и анализ фактических данных, написание и редактирование текста статьи, проверка и утверждение текста статьи.
Authors’ contribution. The authors declare the compliance of their authorship according to the international ICMJE criteria. All authors made a substantial contribution to the conception of the work, acquisition, analysis, interpretation of data for the work, drafting and revising the work, final approval of the version to be published and agree to be accountable for all aspects of the work.
Источник финансирования. Авторы декларируют отсутствие внешнего финансирования для проведения исследования и публикации статьи.
Funding source. The authors declare that there is no external funding for the exploration and analysis work.
Информированное согласие на публикацию. Пациенты подписали форму добровольного информированного согласия на публикацию медицинской информации.
Consent for publication. Written consent was obtained from the patients for publication of relevant medical information and all of accompanying images within the manuscript.
Соответствие принципам этики. Протокол исследования был одобрен независимым комитетом по этике (NCT06032442, www.ClinicalTrials.gov) при ООО «Арте Мед Ассистанс» (протокол №267 от 22.12.2021). Одобрение и процедуру проведения протокола получали по принципам Хельсинкской конвенции.
Ethics approval. The study was approved by the independent ethics committee (NCT06032442, www.ClinicalTrials.gov) by LLC “Arte Med Assistance” (№267 from 22.12.2021). The approval and procedure for the protocol were obtained in accordance with the principles of the Helsinki Convention.
Благодарности. Авторы выражают благодарность сотрудникам ООО «Медико-санитарная часть №157» г. Санкт-Петербурга.
Appreciation. The authors express their gratitude to the staff of LLC “Medical and Sanitary Unit No. 157”, Saint Petersburg.
About the authors
Vadim I. Mazurov
Mechnikov North-Western State Medical University; Clinical Rheumatology Hospital 25
Email: belib@mail.ru
ORCID iD: 0000-0002-0797-2051
SPIN-code: 6823-5482
Scopus Author ID: 16936315400
акад. РАН, д-р мед. наук, проф., гл. науч. консультант, дир. Научно-исследовательского института ревматологии, зав. каф. терапии, ревматологии, экспертизы временной нетрудоспособности и качества медицинской помощи им. Э.Э. Эйхвальда ФГБОУ ВО «СЗГМУ им. И.И. Мечникова», рук. Центра аутоиммунных заболеваний СПб ГБУЗ «КРБ №25»
Russian Federation, Saint Petersburg; Saint PetersburgIrina B. Belyaeva
Mechnikov North-Western State Medical University
Author for correspondence.
Email: belib@mail.ru
ORCID iD: 0000-0002-7981-6349
SPIN-code: 3136-9062
д-р мед. наук, доц., проф. каф. терапии, ревматологии, экспертизы временной нетрудоспособности и качества медицинской помощи им. Э.Э. Эйхвальда
Russian Federation, Saint PetersburgEvgeniy A. Trofimov
Mechnikov North-Western State Medical University
Email: belib@mail.ru
ORCID iD: 0000-0003-3236-4485
SPIN-code: 4358-1663
Scopus Author ID: 57082588900
д-р мед. наук, проф. каф. терапии и ревматологии им. Э.Э. Эйхвальда
Russian Federation, Saint PetersburgIrina E. Itskovich
Mechnikov North-Western State Medical University
Email: belib@mail.ru
ORCID iD: 0000-0001-8352-3955
д-р мед. наук, зав. каф. лучевой диагностики и лучевой терапии
Russian Federation, Saint PetersburgArtem L. Burulev
Mechnikov North-Western State Medical University
Email: belib@mail.ru
ORCID iD: 0009-0007-5401-5047
канд. мед. наук, доц. каф. лучевой диагностики и лучевой терапии
Russian Federation, Saint PetersburgReferences
- Мазуров В.И., Трофимова А.С., Трофимов Е.А. Факторы риска и некоторые аспекты патогенеза остеоартрита. Вестник СЗГМУ им. И.И. Мечникова. 2016;2(8):116-24 [Mazurov VI, Trofimova AS, Trofimov EA. Risk factors and some aspects of the osteoarthritis pathogenesis. Herald of the Northwestern State Medical University named after I.I. Mechnikov. 2016;2(8):116-24 (in Russian)].
- Балабанова Р.М., Эрдес Ш.Ф. Распространенность ревматических заболеваний в России в 2012–2013 гг. Научно-практическая ревматология. 2015;53(2):120-4 [Balabanova RM, Erdes SF. The incidence and prevalence of rheumatic diseases in Russia in 2012–2013. Rheumatology Science and Practice. 2015;53(2):120-4 (in Russian)]. doi: 10.14412/1995-4484-2015-120-124
- Олюнин Ю.А, Никишина Н.Ю. Остеоартрит: ключевые звенья патогенеза и современные средства патогенетической терапии. Современная ревматология. 2017;3:121-8 [Olyunin YuA, Nikishina NYu. Osteoarthritis: Key elements in its pathogenesis and current agents for pathogenetic therapy. Sovremennaya Revmatologiya = Modern Rheumatology Journal. 2007;11:121-8 (in Russian)]. doi: 10.14412/1996-7012-2017-3-121-128
- Алексеева Л.И. Новые представления о патогенезе остеоартрита, роль метаболических нарушений. Ожирение и метаболизм. 2019;16(2):75-2 [Alekseeva LI. New ideas about the pathogenesis of osteoarthritis, the role of metabolic disorders. Obesity and Metabolism. 2019;16(2):75-82 (in Russian)]. doi: 10.14341/omet10274
- Шостак Н.А., Правдюк Н.Г., Клименко А.А., и др. Остеоартрит и ассоциированная патология – клинико-патогенетические взаимосвязи. РМЖ. Медицинское обозрение. 2019;3(11(II)):44-7 [Shostak NA, Pravdyuk NG, Klimenko AA, et al. Osteoarthritis and associated pathology-clinical and pathogenetic relationships. RMJ. Medical Review. 2019;3(11(II)):44-7 (in Russian)].
- Стребкова Е.А., Алексеева Л.И. Остеоартроз и метаболический синдром. Фарматека. 2015;17:15-9 [Strebkova EA, Alekseeva LI. Osteoarthrosis and metabolic syndrome. Farmateka. 2015;17:15-9 (in Russian)].
- Лила А.М., Алексеева Л.И., Телышев К.А. Современные подходы к фенотипированию остеоартрита. Современная ревматология. 2019;13(2):4-8 [Lila AM, Alekseeva LI, Telyshev KA. Current approaches to osteoarthritis phenotyping. Sovremennaya Revmatologiya = Modern Rheumatology Journal. 2019;13(2):4-8 (in Russian)]. doi: 10.14412/1996-7012-2019-2-4-8
- Лила А.М., Алексеева Л.И., Таскина Е.А. Современные подходы к терапии остеоартрита с учетом обновленных международных рекомендаций. РМЖ. Медицинское обозрение. 2019;11(II):48-52 [Lila AM, Alekseeva LI, Taskina EA. Modern approaches to osteoarthritis therapy taking into account updated international guidelines. RMJ. Medical Review. 2019;11(II):48-52 (in Russian)].
- Алексеева Л.И. Обновление клинических рекомендаций по лечению больных остеоартритом 2019 г. РМЖ. 2019;4:2-6 [Alekseeva LI. Сlinical guidelines update on the treatment of patients with osteoarthritis in 2019. RMJ. 2019;4:2-6 (in Russian)].
- Мазуров В.И., Беляева И.Б., Трофимов Е.А. Анализ терапевтических преимуществ медленнодействующих симптоматических средств при остеоартрите: акцент на структурно-модифицирующем действии. Современная ревматология. 2021;15(6):117-23 [Belyaeva IB, Mazurov VI, Trofimov EA. Analysis of the therapeutic benefits of symptomatic slow acting drugs in osteoarthritis: emphasis on structural-modifying action. Sovremennaya Revmatologiya = Modern Rheumatology Journal. 2021;15(6):117-23 (in Russian)]. doi: 10.14412/1996-7012-2021-6-117-123
- Беляева И.Б., Мазуров В.И. Безопасная симптом-модифицирующая терапия остеоартрита у коморбидных пациентов с высоким кардиоваскулярным риском. Эффективная фармакотерапия. 2022;18(38):24-31 [Belyayeva IB, Mazurov VI. Safe symptom-modifying therapy of osteoarthritis in comorbid patients with high cardiovascular risk. Effective Pharmacotherapy. 2022;18(38):24-31 (in Russian)]. doi: 10.33978/2307-3586-2022-18-38-24-30
- Беляева И.Б., Мазуров В.И., Саранцева Л.Е. Рациональная фармакотерапия коморбидных пациентов с заболеваниями опорно-двигательного аппарата в условиях пандемии COVID-19. Эффективная фармакотерапия. 2021;17(21):40-6 [Belyayeva IB, Mazurov VI, Sarantseva LYe. Rational pharmacotherapy of comorbid patients with musculoskeletal system diseases in the conditions of COVID-19 pandemic. Effective Pharmacotherapy. 2021;17(21):40-6 (in Russian)]. doi: 10.33978/2307-3586-2021-17-21-40-46
- Жугрова Е.С., Беляева И.Б., Самигуллина Р.Р. Взгляд на остеоартрит с позиций доказательной медицины и собственного опыта. РМЖ. 2023;7(3):167-73 [Zhugrova ES, Belyaeva IB, Samigullina RR. Insights in osteoarthritis from the perspectives of evidence-based medicine and authors' own experience. RMJ. 2023;7(3):167-73 (in Russian)]. doi: 10.32364/2587-6821-2023-7-3-167-173
- Rakesh M, Niranjan RR, Varsha N. Multimodal Anti-Inflammatory Approach to Osteoarthritis Management – Review of T Cell Immunomodulation with Undenatured (Native) Collagen Type II and LOX Inhibition with Boswellia. Nov Tech Arthritis Bone Res. 2019;3(4):555618. doi: 10.19080/NTAB.2019.03.555618.
- Lugo JP, Saiyed ZM, Lane NE. Efficacy and tolerability of an undenatured type II collagen supplement in modulating knee osteoarthritis symptoms: a multicenter randomized, double-blind, placebo-controlled study. Nutr J. 2016;15:14. doi: 10.1186/s12937-016-0130-8
- Crowley DC, Lau FC, Sharma P, et al. Safety and efficacy of undenatured type II collagen in the treatment of osteoarthritis of the knee: a clinical trial. Int J Med Sci. 2009;6(6):312-21. doi: 10.7150/ijms.6.312
- McConnell S, Kolopack P, Davis AM. The Western Ontario and McMaster Universities Osteoarthritis Index (WOMAC): a review of its utility and measurement properties. Arthritis Rheum. 2001;45(5):453-61. doi: 10.1002/1529-0131(200110)45:5<453::aid-art365>3.0.co;2-w
- Salehi R, Valizadeh L, Negahban H, et al. The Western Ontario and McMaster Universities Osteoarthritis, Lequesne Algofunctional index, Arthritis Impact Measurement Scale-short form, and Visual Analogue Scale in patients with knee osteoarthritis: responsiveness and minimal clinically important differences. Disabil Rehabil. 2023;45(13):2185-91. doi: 10.1080/09638288.2022.2084776
- Hawker GA, Mian S, Kendzerska T, French M. Measures of Adult Pain: Visual Analog Scale for Pain (VAS Pain), Numeric Rating Scale for Pain (NRS Pain), McGill Pain Questionnaire (MPQ), Short-Form McGill Pain Questionnaire (SF-MPQ), Chronic Pain Grade Scale (CPGS), Short Form-36 Bodily Pain Scale (SF-36 BPS), and Measure of Intermittent and Constant Osteoarthritis Pain (ICOAP). Arthritis Care Res (Hoboken). 2011;63(Suppl. 11):S240-52. doi: 10.1002/acr.20543
- Алексенко Е.Ю., Говорин А.В., Цвингер С.М. Качество жизни у больных остеоартрозом. Бюллетень СО РАМН. 2009;6(140):15-8 [Aleksenko EJu, Govorin AV, Cvinger SM. Kachestvo zhizni u bol'nykh osteoartrozom. Bjulleten' SO RAMN. 2009;6(140):15-8 (in Russian)].
- Алексеева Л.И., Таскина Е.А., Кашеварова Н.Г. Остеоартрит: эпидемиология, классификация, факторы риска и прогрессирования, клиника, диагностика, лечение. Современная ревматология. 2019;13(2):9-21 [Alekseeva LI, Taskina EA, Kashevarova NG. Osteoarthritis: epidemiology, classification, risk factors, and progression, clinical presentation, diagnosis, and treatment. Modern Rheumatology Journal. 2019;13:9-21 (in Russian)]. doi: 10.14412/1996-7012-2019-2-9-21
- Cameron M, Chrubasik S. Oral herbal therapies for treating osteoarthritis. Cochrane Database Syst Rev. 2014;5:CD002947. doi: 10.1002/14651858.CD002947.pub2
- Yu G, Xiang W, Zhang T, et al. Effectiveness of Boswellia and Boswellia extract for osteoarthritis patients: a systematic review and meta-analysis. BMC Complement Med Ther. 2020;20(1):225. doi: 10.1186/s12906-020-02985-6
- Liu X, Machado GC, Eyles JP, et al. Dietary supplements for treating osteoarthritis: a systematic review and meta-analysis. Br J Sports Med. 2018;52(3):167-75. doi: 10.1136/bjsports-2016-097333
- Sadigursky D, Sanches MM, Garcia NM, et al. Effectiveness of the use of non hydrolysed type II collagen in the treatment of osteoarthritis: a systematic review and meta-analysis. Brazilian Journal of Health Review. 2023;6(1):1649-60. doi: 10.34119/bjhrv6n1-131
- Sadigursky D, Magnavita VFS, De Sá CKC, et al. Undenatured collagen type II for the treatment of osteoarthritis of the knee. Acta Ortop Bras. 2022;30(2):e240572. doi: 10.1590/1413-785220223002240572
Supplementary files











