Use of a controlled attenuation parameter for the diagnosis of non-alcoholic fatty liver disease
- Authors: Goncharov A.A.1, Sasunova A.N.1, Pilipenko V.I.1, Isakov V.A.1
-
Affiliations:
- Federal Research Center of Nutrition, Biotechnology and Food Safety
- Issue: Vol 95, No 8 (2023)
- Pages: 641-647
- Section: Original articles
- Submitted: 10.10.2023
- Accepted: 10.10.2023
- Published: 11.10.2023
- URL: https://ter-arkhiv.ru/0040-3660/article/view/607404
- DOI: https://doi.org/10.26442/00403660.2023.08.202348
- ID: 607404
Cite item
Full Text
Abstract
Aim. To evaluate the efficacy of vibration-controlled transient elastography (VCTE) with a controlled attenuation parameter (CAP) in a population of patients with non-alcoholic fatty liver disease (NAFLD)and to compare to US and different non-invasive indices.
Materials and methods. Single center NAFLD patients’ database of 2021–2023 years was retrospectively analysed. Data of VCTE evaluation with CAP (FibroScan 530® and FibroScan 630 Expert®) as well as liver US examination results and values of HSI, FLI, BAAT and NAFLD-LFS were extracted. AUROCs for all methods used were constructed and sensitivity and specificity analysis was performed.
Results. The data of 1081 patients were available for analysis (385 with steatosis, 274 with NASH, 422 without NAFLD as a control). Ultrasound examination in the diagnosis of liver steatosis compared to VCTE with CAP showed sensitivity and specificity of 94.6 and 63.7%, respectively. Diagnosis of liver steatosis using indices and scales showed sensitivity and specificity of HSI: 97.9 and 60.1% (AUROC 0.90), FLI: 92.5 and 85.3% (AUROC 0.93), BAAT: 76.6 and 73.5% (AUROC 0.82), NAFLD-LFS: 56.7 and 81.8% (AUROC 0.85).
Conclusion. The sensitivity of the US of the liver was consistent with previous studies, but the specificity was low. The HSI index had the best indicators of sensitivity and specificity in relation to the diagnosis of liver steatosis. Combination of liver US and HSI can be used in screening of liver steatosis, however, for the complete diagnosis better tools which can simultaneously evaluate liver steatosis and fibrosis should be used.
Full Text
Список сокращений
АЛТ – аланинаминотрансфераза
ИМТ – индекс массы тела
НАЖБП – неалкогольная жировая болезнь печени
НАСГ – неалкогольный стеатогепатит
ТГ – триглицериды
УЗИ – ультразвуковое исследование
CAP – контролируемый параметр затухания
LSM – эластичность печени
VCTE – транзиентная эластография с контролируемой вибрацией
Введение
Неалкогольная жировая болезнь печени (НАЖБП) является одной из наиболее распространенных болезней печени. НАЖБП характеризуется накоплением избыточного макро-везикулярного нейтрального жира (>5% гепатоцитов) при отсутствии другой причины: хронический вирусный гепатит, использование гепатотоксичных лекарственных средств, хроническое употребление алкоголя, аутоиммунный гепатит [1].
Метаанализ исследований, опубликованных в период с 1990 по 2015 г., показал, что глобальная распространенность НАЖБП составляла порядка 25% с различиями в распространенности по регионам мира [2]: страны Ближнего Востока и Южной Америки – 30%, страны Азии: 5–30%, в Европе – 29,8%, Южной и Северной Америке – 35,7 и 35,3% соответственно [3]. Также существует связь между годом публикации исследования и увеличением распространенности НАЖБП во всем мире (с 15% в 2005 г. до 25% в 2010 г.) [4].
НАЖБП, неалкогольный стеатогепатит (НАСГ) и фиброз печени связаны с избыточной смертностью от всех причин. Смертность при НАЖБП связана с сердечно-сосудистыми заболеваниями: инфарктом миокарда, ишемическим инсультом, гипертонией [4–6]. При НАЖБП повышен риск возникновения злокачественных опухолей, как печеночной, так и внепеченочной локализации [7].
В связи со сказанным диагностика НАЖБП является важной задачей. Существует множество подходов к диагностике стеатоза и фиброза печени, имеющих как недостатки, так и достоинства. «Золотым стандартом» признана биопсия печени, однако ограниченный объем биоптата, требования к забору и анализу материала, инвазивность и субъективность интерпретации результатов приводят к ограниченности использования в широкой клинической практике. Субъективностью также страдают ультразвуковые методы [8]. Магнитно-резонансная томография демонстрирует высокую чувствительность и специфичность [9], но дороговизна применения, высокие требования к ресурсам учреждения делают использование магнитно-резонансной томографии в рутинной клинической практике нерентабельным. В настоящее время часто используют индексы стеатоза и фиброза, основанные на простых показателях анализа крови. Однако ограничением этих методов является возможность ложноотрицательных результатов в популяции людей без метаболических факторов риска [8].
Соответственно, для эффективной диагностики стеатоза и фиброза требуется относительно дешевый, не требующий больших ресурсов и простой в использовании метод, который бы сочетал достоинства методов медицинской визуализации и серологических индексов.
Транзиентная эластография является общеизвестным, широко используемым и рекомендованным методом для диагностики фиброза печени при НАЖБП, вирусных гепатитах B и C [10–12]. Транзиентная эластография с контролируемой вибрацией (VCTE) – модификация транзиентной эластографии, в которой чувствительность УЗ-датчика контролируется через отслеживание распространения сдвиговой волны внутри печени. VCTE неинвазивен, быстр в выполнении, имеет высокую чувствительность и специфичность при диагностике фиброза печени. Однако наличие ожирения способно снизить достоверность результатов исследования за счет увеличения толщины подкожной жировой клетчатки, что требует использования специального XL-датчика [13, 14].
В 2010 г. в дополнение к VCTE предложена технология контролируемого параметра затухания (CAP) [15]. CAP – неинвазивный метод диагностики стеатоза печени, основанный на измерении УЗ-затухания. Значения AUROC CAP при диагностике легкого, умеренного и тяжелого стеатоза составили 0,96, 0,82 и 0,70 соответственно [16].
В соответствии с этим целью работы является изучение эффективности использования VCTE с CAP в популяции пациентов с НАЖБП.
Материалы и методы
В качестве материала исследования использованы данные обследования 1245 пациентов ФГБУН «ФИЦ питания, биотехнологии и безопасности пищи» в период с 2021 по 2023 г. Предварительно от всех участников получено письменное информированное согласие. Исследование одобрено комитетом по этике ФГБУН «ФИЦ питания, биотехнологии и безопасности пищи» (протокол этического комитета №6 от 08.09.2022), в соответствии с Хельсинкской декларацией Всемирной медицинской ассоциации (1964 г.) и ее последующими поправками.
В контрольную группу включены люди с CAP<248 дБ/м, эластичностью печени (LSM)<6,5 кПа, отсутствием хронических заболеваний печени. Простой стеатоз диагностирован на основании отсутствия заболеваний печени другой этиологии, CAP≥248 дБ/м, LSM <6,5 кПа. Стадии простого стеатоза по CAP определены: S1: 248–267; S2: 268–279; S3: ≥280. НАСГ диагностирован на основании отсутствия заболеваний печени другой этиологии, CAP≥248 дБ/м, LSM≥6,5 кПа и/или аланинаминотрансфераза (АЛТ) ≥40 при двух измерениях в течение 6 мес. Интерпретация данных LSM и CAP основана на данных E. Tsochatzis и соавт. [17] и Т. Karlas и соавт. [18] соответственно. Из анализа исключались люди с подтвержденными вирусными гепатитами B и C, аутоиммунным гепатитом, первичным билиарным холангитом, люди с результатами AUDIT выше 7 баллов для женщин, 8 для мужчин, люди с CAP<248 дБ/м и LSM>6,5 кПа (рис. 1).
Рис. 1. Алгоритм отбора пациентов в исследование.
Fig. 1. Algorithm of patient selection in the study.
VCTE с CAP (Fibroscan®, EchoSens, Paris) выполнялась пациентам натощак по стандартному протоколу, в соответствии с рекомендациями производителя при помощи двух эластографов: FibroScan 530® и FibroScan 630 Expert®. В зависимости от конституции пациента использовались датчики M или XL. LSM оценивалась по 10 удачным измерениям. Вариабельность LSM оценивалась по соотношению интерквартильного размаха (LSM IQR) и медианного показателя (LSM IQR/Median). Полученные результаты измерений не включались в анализ, если присутствовал по крайней мере один из следующих признаков: <10 удачных измерений, <60% удачных измерений, IQR/Median≥0,30.
Используемые индексы включали индексы стеатоза печени HSI и FLI, шкалу стеатоза печени (NAFLD liver fat score), BAAT. Индексы рассчитаны в соответствии с опубликованными алгоритмами. BAAT рассчитывается путем суммирования показателей индекса массы тела (ИМТ)≥28 (1 балл), возраст ≥50 лет (1 балл), АЛТ≥80 (1 балл) и триглицериды (ТГ)≥1,7 ммоль/л. Пороговые значения для контроля и НАЖБП составили <30 и >36 для HSI, <30 и >60 для FLI, <2 и >2 для BAAT, ≤-0,640 и >-0,640 для NAFLD-LFS [19, 20].
HSI=8×АЛТ/АСТ+ИМТ + сахарный диабет 2-го типа (да=2/нет=0)+ женщина (да=2/нет=0)
FLI=ey/(1+ey)×100, где y=0,953×ln (триглицериды, мг/дл)+0,139×ИМТ+0,718× ×ln(ГГТП)+0,053× объем талии (см)-15,745
NAFLD-LFS=-2,89+1,18×метаболический синдром (да=1/нет=0)+0,45×сахарный диабет 2-го типа (да=2/нет=0)+0,04×АСТ(U/l)-0,94×АСТ/АЛТ
Статистические методы: дескриптивная статистика описана в отношении пола, возраста, массы тела, ИМТ (табл. 1). Проверку данных на нормальность распределения проводили с использованием теста Шапиро–Уилка. Статистический анализ при стратификации по степени стеатоза по сравнению с контрольной группой для простого стеатоза (табл. 2) и НАСГ по сравнению с группой простого стеатоза (табл. 3) проводился с использованием рангового дисперсионного анализа Фридмана с определением коэффициента конкордации Кендалла. Различия считались достоверными при p<0,05. Статистические расчеты проводились при помощи Statistica 13.0 (StatSoft Inc., США). Для всех показателей рассчитаны средние значения и стандартные отклонения.
Таблица 1. Характеристики исследованной популяции (n=1081)
Table 1. Characteristics of the studied population (n=1081)
Характеристика | Контрольная группа (n=422) | Простой стеатоз (n=385) | НАСГ (n=274) |
Женщины/мужчины, абс. (%) | 294 (69,7)/128 (30,3) | 281 (72,7)/104 (27,3) | 194 (70,1)/80 (29,9) |
Возраст, лет | 49,7±15,8 | 54,0±13,0 | 54,6±12,5 |
Нарушения гликемии (нет/да), абс. (%) | 376 (89,1)/46 (10,9) | 308 (80,0)/77 (20,0) | 152 (55,5)/122 (45,5) |
Масса тела, кг | 72,6±17,7 | 96,9±101,1 | 105,3±71,9 |
ИМТ, кг/м2 | 26,5±10,5 | 36,3±36,8 | 44,0±42,6 |
Таблица 2. Характеристики популяции при стратификации по стадиям стеатоза при простом стеатозе печени в сравнении с контрольной группой (n=807)
Table 2. Population characteristics at the stomatosis stage stratification in simple liver steatosis compared to control group (n=807)
Показатель | Контрольная группа, M±m (n=422) | Простой стеатоз (n=385) | p | ||
1-я степень стеатоза, M±m (n=108) | 2-я степень стеатоза, M±m (n=51) | 3-я степень стеатоза, M±m (n=226) | |||
Возраст, лет | 49,7±15,8 | 56,0±14,4 | 52,7±11,6 | 53,3±12,5 | 0,006 |
Масса тела, кг | 72,6±17,7 | 86,2±16,4 | 87,3±19,9 | 90,2±24,1 | <0,001 |
ИМТ, кг/м2 | 26,5±10,5 | 31,1±5,6 | 32,0±5,0 | 33,7±6,4 | <0,001 |
Щелочная фосфатаза, ЕД/л | 64,5±21,5 | 67,6±19,4 | 67,4±21,9 | 68,8±22,0 | 0,2 |
ГГТП, ЕД/л | 28,7±32,4 | 37,2±35,6 | 44,1±51,8 | 39,0±39,9 | 0,3 |
Холестерин общий, ммоль/л | 5,3±1,3 | 5,3±1,3 | 5,5±1,3 | 5,5±1,3 | 0,04 |
ЛПНП, ммоль/л | 3,5±1,1 | 3,7±1,1 | 3,9±1,1 | 3,7±1,1 | 0,4 |
ТГ, ммоль/л | 1,0±0,6 | 1,3±0,6 | 1,3±0,5 | 1,5±0,7 | 0,001 |
АЛТ, ЕД/л | 24,2±21,0 | 23,8±16,1 | 33,7±23,5 | 33,9±24,0 | 0,006 |
АСТ, ЕД/л | 23,6±13,0 | 22,9±12,3 | 25,9±12,1 | 27,3±14,0 | 0,07 |
Глюкоза, ммоль/л | 5,1±0,7 | 5,4±1,1 | 5,3±0,7 | 5,7±1,4 | <0,001 |
HbA1с, % | 5,5±0,6 | 5,8±0,9 | 5,7±0,5 | 6,0±1,0 | 1,0 |
LSM, кПа | 4,4±1,0 | 4,7±0,8 | 4,7±1,0 | 4,9±0,9 | 0,002 |
CAP, дБ/м | 201,4±32,5 | 256,8±5,2 | 273,6±3,5 | 315,7±28,1 | <0,001 |
Примечание. Здесь и далее в табл. 3: ГГТП – γ-глутамилтранспептидаза, ЛПНП – липопротеины низкой плотности, АСТ – аспартатаминотрансфераза, HbA1с – гликированный гемоглобин. | |||||
Таблица 3. Характеристика популяции НАСГ, стратифицированной по стадиям стеатоза, в сравнении с группой простого стеатоза (n=659)
Table 3. Characterization of the population of non-alcoholic steatohepatitis by stages of steatosis, in comparison with the group of simple steatosis (n=659)
Показатель | Простой стеатоз, M±m (n=385) | НАСГ (n=274) | p | ||
1-я степень стеатоза – НАСГ, M±m (n=31) | 2-я степень стеатоза – НАСГ, M±m (n=22) | 3-я степень стеатоза – НАСГ, M±m (n=221) | |||
Возраст, лет | 53,3±12,5 | 55,4±13,5 | 55±13,4 | 54,5±12,3 | 0,3 |
Масса тела, кг | 90,2±23,2 | 89,5±32,9 | 93,2±17,7 | 103,8±34,5 | <0,001 |
ИМТ, кг/м2 | 34,9±19,0 | 35,4±9,5 | 34,5±6,2 | 39,7±8,7 | <0,001 |
Щелочная фосфатаза, ЕД/л | 68,8±22,0 | 67,3±18,7 | 84,4±42,2 | 71,2±23,9 | 0,8 |
ГГТП, ЕД/л | 39,0±40,0 | 41,8±35 | 52,1±62,7 | 49,9±63 | 0,08 |
Холестерин общий, ммоль/л | 5,5±1,3 | 5,9±1,6 | 5,5±1,2 | 5,2±1,3 | 0,2 |
ЛПНП, ммоль/л | 3,7±1,1 | 4±1,2 | 3,5±1,1 | 3,5±1,1 | 0,3 |
ТГ, ммоль/л | 1,5±0,7 | 1,5±0,8 | 1,6±1,0 | 1,7±1,0 | 0,6 |
АЛТ, ЕД/л | 33,9±24,0 | 30,6±20,0 | 39,8±37,1 | 43,3±34,7 | 0,1 |
АСТ, ЕД/л | 27,3±14,0 | 26±10,1 | 32,7±21,4 | 35,2±30,2 | 0,6 |
Глюкоза, ммоль/л | 5,7±1,4 | 5,8±2,0 | 5,9±2,1 | 6,2±1,8 | 0,03 |
HbA1с, % | 6,0±1,0 | 6,1±1,4 | 6,1±0,9 | 6,2±1,2 | 0,3 |
LSM, кПа | 4,9±0,9 | 13,4±13,4 | 13,1±14,6 | 11,5±8,4 | <0,001 |
CAP, дБ/м | 315,7±28,0 | 258,2±6,5 | 273±4,2 | 337,3±35,6 | <0,001 |
Результаты
Характеристика исследованной популяции
В табл. 1 приведены характеристики исследованной популяции со стратификацией показателей по стадиям стеатоза (см. табл. 2). Большинство пациентов – женщины (68,6%). Средний возраст, масса тела и ИМТ составили 52,5±14,5; 89,1±75,1; 34,1±32,9 соответственно. В популяции присутствовали 25 и 32 пациента с вирусными гепатитами B и C соответственно, 18 пациентов – с первичным билиарным холангитом, 24 пациента – с аутоиммунным гепатитом, 7 пациентов – с высокими баллами AUDIT.
При анализе данной популяции оказалось неожиданным то, что достаточно высокий процент пациентов с диагностированным по CAP стеатозом печени: от 80,0% при простом стеатозе и до 55,5% при НАСГ не имели нарушений гликемии (см. табл. 1).
В табл. 2 представлены антропометрические и биохимические характеристики контрольной группы и группы простого стеатоза, разделенной на 3 группы в соответствии со степенью стеатоза печени. Среди 385 пациентов с простым стеатозом у 108 (28%) выявлена 1-я степень стеатоза, у 51 (13%) – 2-я, у 226 (59%) – 3-я.
В табл. 3 представлены антропометрические и биохимические характеристики группы простого стеатоза и группы НАСГ, разделенной на 3 группы в соответствии со степенью стеатоза по данным CAP. Тем не менее оказалось, что степень стеатоза сама по себе не является предиктором НАСГ, так как средние значения САР в группе с простым стеатозом были достаточно высокими.
Сравнительная характеристика ультразвукового исследования печени и VCTE с CAP
В большинстве предыдущих исследований «золотым стандартом» диагностики стеатоза печени была биопсия с гистологической верификацией НАЖБП, в то время как в данном исследовании «золотым стандартом» является VCTE с CAP, поскольку в рутинной клинической практике проведение биопсии печени затруднено. Традиционно наличие или отсутствие стеатоза оценивается по ультразвуковому исследованию (УЗИ). В связи с этим мы сравнили эффективность выявления стеатоза с помощью УЗИ и VCTE с CAP.
Табл. 4 содержит данные по сравнению УЗИ печени и CAP при диагностике стеатоза печени. Показатели чувствительности УЗИ (94,6%) сопоставимы с предыдущими исследованиями [21, 22]. Однако показатели специфичности (63,7%) продемонстрировали резкое отличие, что говорит о том, что УЗИ показывает сниженную способность в верификации отсутствия стеатоза по сравнению с CAP и относительно высокое количество ложноположительных результатов.
Таблица 4. Сравнительная характеристика VCTE с CAP как «золотого стандарта» и УЗИ печени в качестве метода диагностики стеатоза печени (n=712)
Table 4. Comparative characteristic of VCTE with CAP and ultrasound of liver as a method of liver steatosis diagnosis (n=712)
CAP | УЗИ | ||
стеатоз | отсутствие стеатоза | всего | |
S1S2S3 | 404 | 22 | 426 |
S0 | 106 | 180 | 286 |
Всего | 510 | 202 | 712 |
Сравнительное исследование индексов стеатоза печени и VCTE с CAP
Альтернативным методом диагностики стеатоза печени являются индексы, которые включают в себя антропометрические показатели, показатели общего и биохимического анализов крови. В связи с этим нами предпринято сравнительное исследование эффективности выявления стеатоза при помощи HSI, FLI, BAAT, NAFLD-LFS и CAP.
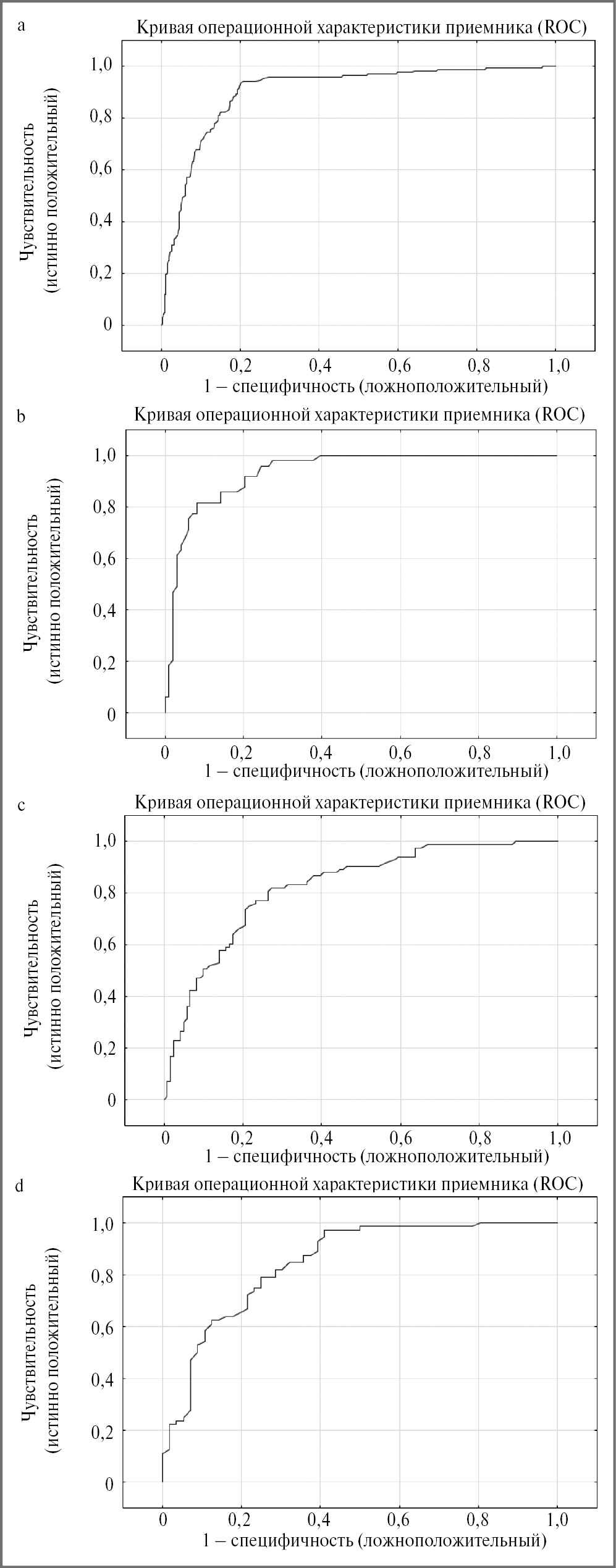
В табл. 5 приведены результаты анализа сравнительной эффективности индексов HSI, FLI и шкал BAAT, NAFLD-LFS при диагностике стеатоза печени в сравнении с CAP на общей популяции пациентов. Площадь под кривой ROC составила 0,90, 0,93, 0,82, 0,85 для HSI, FLI, BAAT, NAFLD-LFS соответственно (рис. 2).
Таблица 5. Характеристика индексов и шкал стеатоза печени как диагностических тестов по сравнению CAP в диагностике стеатоза печени
Table 5. Characteristic of liver steatosis indices and scales compared to controlled attenuation parameter in liver steatosis diagnosis
HSI (n=956) | FLI (n=209) | BAAT (n=232) | NAFLD-LFS (n=182) | |
S1S2S3 vs. S0 | ||||
Чувствительность, % | 97,9 | 92,5 | 76,6 | 56,7 |
Специфичность, % | 60,1 | 85,3 | 73,5 | 81,8 |
AUROC | 0,90 | 0,93 | 0,82 | 0,85 |
Рис. 2. Сравнение ROC-кривых индексов и шкал у пациентов со стеатозом печени по VCTE с CAP (а: HSI, b: FLI, шкалы: c: BAAT, d: NAFLD-LFS).
Fig. 2. Comparison of ROC-curves of indices and scales in patients with liver steatosis by VCTE with CAP (a: HSI, b: FLI, scales: c: BAAT, d: NAFLD-LFS).
Как видно из табл. 5 и рис. 2, наилучшими показателями чувствительности и специфичности в отношении диагностики стеатоза печени обладает FLI, а худшими – BAAT и NAFLD-LFS.
Обсуждение
Проведенное нами исследование является первым сравнительным изучением эффективности наиболее распространенных методов диагностики НАЖБП в российской популяции по сравнению с VCTE с САР на репрезентативной выборке пациентов. Анализ полученных нами результатов показал, что УЗИ обладает высокой чувствительностью относительно стеатоза печени, УЗИ не смогло обнаружить наличие стеатоза всего лишь у 5% тех, у кого стеатоз диагностирован с помощью САР (см. табл. 4), однако специфичность метода УЗИ была низкой: из тех, у кого по данным САР стеатоза печени не было, в 37% случаев УЗИ выявляло его признаки. Объяснением этому феномену служит визуальный характер оценки стеатоза при УЗИ. Врач определяет, насколько по цвету ткань печени отличается от референтных органов брюшной полости, образно говоря, специалист пытается отличить 50 оттенков серого и на этом основании выносит суждение, есть стеатоз печени или нет. На конечный результат оказывает влияние множество факторов: освещенность в кабинете УЗИ, опыт специалиста, качество монитора и т.п. При увеличении массы тела, особенно при ожирении, плотность других органов брюшной полости также изменяется, поскольку нейтральный жир может накапливаться во многих паренхиматозных органах, что может затруднять интерпретацию того, насколько ткань печени выглядит более «серой» по сравнению с ними. Таким образом, можно заключить, что использование УЗИ в качестве первичного метода выявления стеатоза печени оправдано, учитывая его простоту и широкую распространенность, однако, учитывая низкую специфичность, следует рекомендовать выполнить подтверждающее исследование альтернативным методом.
В последние годы таким альтернативным методом диагностики НАЖБП выступают различные индексы и шкалы, основанные на исследовании показателей крови [19]. Они получили широкое распространение ввиду своей простоты и доступности, так как в большинстве случаев в их основе лежат показатели, рутинно выполняющиеся при подозрении на заболевания печени или нарушения обмена веществ. Некоторые из них достаточно хорошо изучены, и их эффективность доказана в контролируемых исследованиях [19]. Существенным недостатком таких тестов, как и при использовании УЗИ, является то, что они не дают представление о степени стеатоза, что немаловажно для прогноза течения заболевания и назначения терапии, а только констатируют его наличие. Проведенный нами сравнительный анализ эффективности 4 наиболее известных тестов наличия стеатоза в сравнении с VCTE с САР показал, что наилучшим оказался индекс FLI с 7,4% ложноотрицательных и 14,6% ложноположительных значений. У остальных проанализированных тестов эти показатели были существенно хуже. Это позволяет рекомендовать его для использования в качестве дополнительного теста после исследования УЗИ в случае получения положительного результата. При этом он доступен, так как из биохимических исследований в нем используется только значение ТГ сыворотки крови.
Важным результатом нашего исследования оказалось отсутствие связи между выраженностью стеатоза и наличием стеатогепатита. Как видно из полученных данных, средние значения САР достоверно выше у больных со стеатозом печени, нежели в подгруппах пациентов с НАСГ. У значительной части из них выявлялся стеатоз 1 или 2-й степени. Это свидетельствует в пользу того, что в настоящее время просто констатации наличия стеатоза недостаточно ни для формулировки клинического диагноза, ни для выработки адекватной тактики лечения. Одновременное определение выраженности стеатоза и фиброза печени у больных НАСГ позволяет выделить именно ту подгруппу пациентов, у которой наиболее высоки риски как прогрессирования заболевания печени, так и смерти и инвалидизации от внепеченочных заболеваний [4–7]. В связи с этим представляется целесообразным использовать УЗИ печени в качестве скринингового метода, с подтверждением стеатоза печени альтернативным методом, а для определения клинической формы НАЖБП использовать VCTE с САР или иные методы медицинской визуализации. Данный подход сегодня рекомендован ведущими ассоциациями гепатологов [8].
Таким образом, VCTE с САР позволяет с высокой точностью одновременно определять степень стеатоза и фиброза печени, однако УЗИ, а также индексы и шкалы, основанные на показателях крови и антропометрии, имеют меньшую чувствительность и специфичность, что позволяет использовать их в комбинации для массового скрининга НАЖБП. Тем не менее для полного клинического диагноза НАЖБП необходима информация о выраженности стеатоза и фиброза печени, которая может быть получена при биопсии печени или при VCTE с САР.
Раскрытие интересов. Авторы декларируют отсутствие явных и потенциальных конфликтов интересов, связанных с публикацией настоящей статьи.
Disclosure of interest. The authors declare that they have no competing interests.
Вклад авторов. Авторы декларируют соответствие своего авторства международным критериям ICMJE. Все авторы в равной степени участвовали в подготовке публикации: разработка концепции статьи, получение и анализ фактических данных, написание и редактирование текста статьи, проверка и утверждение текста статьи.
Authors’ contribution. The authors declare the compliance of their authorship according to the international ICMJE criteria. All authors made a substantial contribution to the conception of the work, acquisition, analysis, interpretation of data for the work, drafting and revising the work, final approval of the version to be published and agree to be accountable for all aspects of the work.
Информированное согласие на публикацию. Пациенты подписали форму добровольного информированного согласия на публикацию медицинской информации.
Consent for publication. Written consent was obtained from the patients for publication of relevant medical information and all of accompanying images within the manuscript.
Соответствие принципам этики. Протокол исследования был одобрен локальным этическим комитетом ФГБУН «ФИЦ питания, биотехнологии и безопасности пищи» (№6 от 08.09.2022). Одобрение и процедуру проведения протокола получали по принципам Хельсинкской конвенции.
Ethics approval. The study was approved by the local ethics committee of Federal Research Center of Nutrition, Biotechnology and Food Safety (Protocol 6 of 08.09.2022). The approval and procedure for the protocol were obtained in accordance with the principles of the Helsinki Convention.
Источник финансирования. Эта работа была поддержана исследовательским фондом (грант Российского научного фонда №19-76-30014-П).
Funding source. The research was supported by the research fund (Grant of the Russian Scientific Fund 19-76-30014-П).
About the authors
Alexey A. Goncharov
Federal Research Center of Nutrition, Biotechnology and Food Safety
Author for correspondence.
Email: thisalexis@gmail.com
ORCID iD: 0000-0002-8099-8602
аспирант отд-ния гастроэнтерологии, гепатологии и диетотерапии
Russian Federation, MoscowArmida N. Sasunova
Federal Research Center of Nutrition, Biotechnology and Food Safety
Email: thisalexis@gmail.com
ORCID iD: 0000-0001-8896-5285
врач отд-ния гастроэнтерологии, гепатологии и диетотерапии
Russian Federation, MoscowVladimir I. Pilipenko
Federal Research Center of Nutrition, Biotechnology and Food Safety
Email: thisalexis@gmail.com
ORCID iD: 0000-0001-5632-1880
канд. мед. наук, науч. сотр. отд-ния гастроэнтерологии и гепатологии
Russian Federation, MoscowVasily A. Isakov
Federal Research Center of Nutrition, Biotechnology and Food Safety
Email: thisalexis@gmail.com
ORCID iD: 0000-0002-4417-8076
д-р мед. наук, проф., зав. отд-нием гастроэнтерологии, гепатологии и диетотерапии
Russian Federation, MoscowReferences
- Zoonosis ZM, Golabi P, Paik JM, et al. The global epidemiology of nonalcoholic fatty liver disease (NAFLD) and nonalcoholic steatohepatitis (NASH): a systematic review. Hepatology. 2023;77(4):1335-47. doi: 10.1097/HEP.0000000000000004
- Younossi ZM, Koenig AB, Abdelatif D, et al. Global epidemiology of nonalcoholic fatty liver disease-Meta-analytic assessment of prevalence, incidence, and outcomes. Hepatology. 2016;64(1):73-84. doi: 10.1002/hep.28431
- Le MH, Yeo YH, Li X, et al. 2019 Global NAFLD Prevalence: A Systematic Review and Meta-analysis. Clin Gastroenterol Hepatol. 2021;S1542-3565(21):01280-5. doi: 10.1016/j.cgh.2021.12.002
- Mitra S, De A, Chowdhury A. Epidemiology of non-alcoholic and alcoholic fatty liver diseases. Transl Gastroenterol Hepatol. 2020;5:16. doi: 10.21037/tgh.2019.09.08
- Ciardullo S, Grassi G, Mancia G, Perseghin G. Nonalcoholic fatty liver disease and risk of incident hypertension: a systematic review and meta-analysis. Eur J Gastroenterol Hepatol. 2022;34(4):365-71. doi: 10.1097/MEG.0000000000002299
- Alon L, Corica B, Raparelli V, et al. Risk of cardiovascular events in patients with non-alcoholic fatty liver disease: a systematic review and meta-analysis. Eur J Prev Cardiol. 2022;29(6):938-46. doi: 10.1093/eurjpc/zwab212
- Mantovani A, Petracca G, Beatrice G, et al. Non-alcoholic fatty liver disease and increased risk of incident extrahepatic cancers: a meta-analysis of observational cohort studies. Gut. 2022;71(4):778-88. doi: 10.1136/gutjnl-2021-324191
- European Association for the Study of the Liver (EASL); European Association for the Study of Diabetes (EASD); European Association for the Study of Obesity (EASO). EASL-EASD-EASO Clinical Practice Guidelines for the management of non-alcoholic fatty liver disease. Diabetologia. 2016;59(6):1121-40. doi: 10.1007/s00125-016-3902-y
- Nogami A, Yoneda M, Iwaki M, et al. Diagnostic comparison of vibration-controlled transient elastography and MRI techniques in overweight and obese patients with NAFLD. Sci Rep. 2022;12(1):21925. doi: 10.1038/s41598-022-25843-6
- Лазебник Л.Б., Голованова Е.В., Туркина С.В., и др. Неалкогольная жировая болезнь печени у взрослых: клиника, диагностика, лечение. Рекомендации для терапевтов, третья версия. Экспериментальная и клиническая гастроэнтерология. 2021;185(1):4-52 [Lazebnik LB, Golovanova EV, Turkina SV, et al. Non-alcoholic fatty liver disease in adults: clinic, diagnostics, treatment. Guidelines for therapists, third version. Experimental and Clinical Gastroenterology. 2021;1(1):4-52 (in Russian)]. doi: 10.31146/1682-8658-ecg-185-1-4-52
- Ивашкин В.Т., Маевская М.В., Павлов Ч.С., и др. Клинические рекомендации Российского общества по изучению печени и Российской гастроэнтерологической ассоциации по лечению осложнений цирроза печени. Российский журнал гастроэнтерологии, гепатологии, колопроктологии. 2016;26(4):71-102 [Ivashkin VT, Mayevskaya MV, Pavlov ChS, et al. Treatment of liver cirrhosis complications: Clinical guidelines of the Russian Scientific Liver Society and Russian gastroenterological association. Rossiiskii zhurnal gastroenterolpgii, gepatologii, koloproktologii. 2016;26(4):71-102 (in Russian)]. doi: 10.22416/1382-4376-2016-26-4-71-102
- Клинические рекомендации от 2021 г. «Хронический вирусный гепатит С». Режим доступа: https://medi.ru/klinicheskie-rekomendatsii/khronicheskij-virusnyj-gepatit-s-khvgs-u-vzroslykh_14028. Ссылка активна на 17.05.2023 [Clinical guidelines from 2021 “Chronic viral hepatitis C”. Available at: https://medi.ru/klinicheskie-rekomendatsii/khronicheskij-virusnyj-gepatit-s-khvgs-u-vzroslykh_14028. Accessed: 17.05.2023 (in Russian)].
- Jiang W, Huang S, Teng H, et al. Diagnostic accuracy of point shear wave elastography and transient elastography for staging hepatic fibrosis in patients with non-alcoholic fatty liver disease: a meta-analysis. BMJ Open. 2018;8(8):e021787. doi: 10.1136/bmjopen-2018-021787
- Zhang X, Wong GL, Wong VW. Application of transient elastography in nonalcoholic fatty liver disease. Clin Mol Hepatol. 2020;26(2):128-41. doi: 10.3350/cmh.2019.0001n
- Sasso M, Beaugrand M, de Ledinghen V, et al. Controlled attenuation parameter (CAP): a novel VCTE™ guided ultrasonic attenuation measurement for the evaluation of hepatic steatosis: preliminary study and validation in a cohort of patients with chronic liver disease from various causes. Ultrasound Med Biol. 2010;36(11):1825-35. doi: 10.1016/j.ultrasmedbio.2010.07.005
- Pu K, Wang Y, Bai S, et al. Diagnostic accuracy of controlled attenuation parameter (CAP) as a non-invasive test for steatosis in suspected non-alcoholic fatty liver disease: a systematic review and meta-analysis. BMC Gastroenterol. 2019;19(1):51. doi: 10.1186/s12876-019-0961-9
- Tsochatzis EA, Gurusamy KS, Ntaoula S, et al. Elastography for the diagnosis of severity of fibrosis in chronic liver disease: a meta-analysis of diagnostic accuracy. J Hepatol. 2011;54(4):650-9. doi: 10.1016/j.jhep.2010.07.033
- Karlas T, Petroff D, Sasso M, et al. Individual patient data meta-analysis of controlled attenuation parameter (CAP) technology for assessing steatosis. J Hepatol. 2017;66(5):1022-30. doi: 10.1016/j.jhep.2016.12.022
- Contreras D, González-Rocha A, Clark P, et al. Diagnostic accuracy of blood biomarkers and non-invasive scores for the diagnosis of NAFLD and NASH: Systematic review and meta-analysis. Ann Hepatol. 2023;28(1):100873. doi: 10.1016/j.aohep.2022.100873
- Fedchuk L, Nascimbeni F, Pais R, et al. Performance and limitations of steatosis biomarkers in patients with nonalcoholic fatty liver disease. Aliment Pharmacol Ther. 2014;40(10):1209-22. doi: 10.1111/apt.12963
- Hernaez R, Lazo M, Bonekamp S, et al. Diagnostic accuracy and reliability of ultrasonography for the detection of fatty liver: a meta-analysis. Hepatology. 2011;54(3):1082-90. doi: 10.1002/hep.24452
- Leivas G, Maraschin CK, Blume CA, et al. Accuracy of ultrasound diagnosis of nonalcoholic fatty liver disease in patients with classes II and III obesity: A pathological image study. Obes Res Clin Pract. 2021;15(5):461-5. doi: 10.1016/j.orcp.2021.09.002
Supplementary files





