Risk factors for the early development of septic shock in patients with severe COVID-19
- Authors: Glybochko P.V.1, Fomin V.V.1, Moiseev S.V.1, Avdeev S.N.1, Yavorovskiy A.G.1, Brovko M.Y.1, Umbetova K.T.1, Aliev V.A.1, Bulanova E.L.1, Bondarenko I.B.2, Volkova O.S.1, Gaynitdinova V.V.1, Gneusheva T.Y.1, Dubrovin K.V.1, Kapustina V.A.1, Kraeva V.V.1, Merzhoeva Z.M.1, Nuralieva G.S.1, Nogtev P.V.1, Panasyuk V.V.1, Politov M.E.1, Popov A.M.1, Popova E.N.1, Raspopina N.A.1, Royuk V.V.1, Sorokin Y.D.1, Trushenko N.V.1, Khalikova E.Y.1, Tsareva N.A.1, Chikina S.Y.1, Chichkova N.V.1, Akulkina L.A.1, Bulanov N.M.1, Ermolova L.A.1, Zykova A.S.1, Kitbalyan A.A.1, Moiseev A.S.1, Potapov P.P.1, Tao E.A.1, Sholomova V.I.1, Shchepalina A.A.1, Yakovleva A.A.1
-
Affiliations:
- Sechenov First Moscow State Medical University (Sechenov University)
- Sechenov First Moscow State Medical University(SechenovUniversity)
- Issue: Vol 92, No 11 (2020)
- Pages: 17-23
- Section: Original articles
- Submitted: 25.12.2020
- Accepted: 25.12.2020
- Published: 15.11.2020
- URL: https://ter-arkhiv.ru/0040-3660/article/view/56915
- DOI: https://doi.org/10.26442/00403660.2020.11.000780
- ID: 56915
Cite item
Full Text
Abstract
Aim. In a retrospective study, we evaluated factors associated with the early development of septic shock in patients with severe COVID-19.
Materials and methods. We collected medical records of the intensive care unit patients submitted by the local COVID-19 hospitals across Russia to the Federal Center for the Critical Care at the Sechenov First Moscow State Medical University (Sechenov University). Septic shock in crticially ill patients requiring mechanical ventilation was defined as a need in vasopressors to maintain blood pressure.
Results. We studied 1078 patients with severe COVID-19 who were admitted to the intensive care units for respiratory support. There were 611 males and 467 females. The mean age was 61.0±13.7 years. Five hundred twenty five medical records (48.7%) were received from the Moscow hospitals, 159 (14.7%) from the Moscow region, and 394 (36.5%) from the hospitals located in 58 regions of the Russian Federation. In 613 (56.9%) patients, diagnosis of SARS-CoV-2 infection was confirmed by PCR, and in the other cases it was established on the basis of the clinical picture and the results of the chest CT scan. Septic shock developed in 214 (19.9%) of 1078 patients. In the logistic regression model, the risk of septic shock in patients older than 50 years was higher than in patients of a younger age (OR 2.34; 95% CI 1.53–3.67; p<0.0001). In patients with more severe SARS-CoV-2 infection, there was an increase in the prevalence of cardiovascular diseases, including coronary heart disease and atrial fibrillation, type 2 diabetes and malignant tumors. The risk of septic shock in patients with three or more concomitant diseases was higher than in patients without any concomitant chronic diseases (OR 1.76; 95% CI 1.76–2.70).
Conclusion. The risk of septic shock in patients with acute respiratory distress syndrome induced by SARS-CoV-2 is higher in patients older than 50 years with concomitant diseases, although a severe course of the disease is also possible in younger patients without any concomitant disorders.
Full Text
АГ – артериальная гипертония
АПФ – ангиотензинпревращающий фермент
ДИ – доверительный интервал
ИБС – ишемическая болезнь сердца
ИВЛ – искусственная вентиляция легких
ИЛ – интерлейкин
КТ – компьютерная томограмма
НВЛ – неинвазивная вентиляция легких
ОРДС – острый респираторный дистресс-синдром
ОРИТ – отделение реанимации и интенсивной терапии
ОШ – отношение шансов
СД – сахарный диабет
ФП – фибрилляция предсердий
ХОБЛ – хроническая обструктивная болезнь легких
К июню 2020 г. число случаев инфекции, вызванной новым коронавирусом (SARS-CoV-2 – severe acute respiratory syndrome coronavirus 2), в мире превысило 6 млн человек, в России – 400 тыс. Истинное же число инфицированных по крайней мере в 1,5–2 раза превышает указанные показатели, учитывая возможность бессимптомного или малосимптомного течения новой коронавирусной инфекции (COVID-19), ограниченную надежность любых используемых тестов и вариабельную частоту тестирования населения в разных странах мира.
По данным анализа более 70 тыс. случаев SARS-CoV-2- инфекции, зарегистрированных в Ухани, где началась пандемия COVID-19, почти у каждого 5-го инфицированного наблюдалось тяжелое или крайне тяжелое заболевание, характеризовавшееся развитием острой дыхательной недостаточности, требовавшей респираторной поддержки, в том числе искусственной вентиляции легких (ИВЛ) [1]. Причиной острого респираторного дистресс-синдрома (ОРДС) при COVID-19 считают цитопатическое вирусное поражение легочной паренхимы и «цитокиновый шторм», который характеризуется выбросом различных провоспалительных цитокинов, таких как интерлейкин (ИЛ)-1β, ИЛ-6 и ИЛ-18 [2–4]. Помимо быстрого ухудшения функции легких основные признаки синдрома выброса цитокинов включают в себя нарастание концентраций С-реактивного белка, которые нередко превышают 200–300 мг/л, и уровня ферритина, а также цитопении, коагулопатию, в частности увеличение содержания D-димера [4].
Результаты клинических исследований, которые проводились в Китае, а позднее в других странах, охваченных пандемией COVID-19, показали, что риск более тяжелого течения SARS-CoV-2-пневмонии выше у пациентов старшего возраста, особенно страдающих различными сопутствующими заболеваниями, прежде всего сердечно-сосудистыми [5–7]. Сходные данные получены и в нашем ретроспективном исследовании на основании анализа более 1 тыс. пациентов с SARS-CoV-2-пневмонией, которым потребовались респираторная поддержка и госпитализация в отделение реанимации и интенсивной терапии (ОРИТ) лечебных учреждений Российской Федерации [8]. Более 90% этих пациентов в возрасте старше 40 лет, а у 70% имелись различные сопутствующие заболевания, в том числе артериальная гипертония (АГ), ишемическая болезнь сердца (ИБС), фибрилляция предсердий (ФП), инсульт в анамнезе и др.
У значительной части больных с тяжелым течением COVID-19 наблюдается картина сепсиса и септического шока. Например, D. Ren и соавт. выявили признаки сепсиса у 33% из 150 госпитализированных больных с SARS-CoV-2-инфекцией [9]. Необходимо отметить, что понятие «сепсис» у многих врачей ассоциируется с тяжелой бактериальной инфекцией, сопровождающейся стойкой высокой лихорадкой, увеличением лабораторных маркеров воспаления, бактериемией и плохо поддающейся лечению антибиотиками. В соответствии с новым определением, принятым в 2016 г. на международной конференции Sepsis-3, сепсис – это угрожающая жизни полиорганная недостаточность, вызванная нарушением ответа хозяина на инфекцию [10]. Для оценки полиорганной недостаточности используется шкала SOFA (Sepsis-related sequential organ failure assessment), основанная на анализе 6 показателей (индекс оксигенации, количество тромбоцитов, артериальная гипотония и необходимость в инотропной поддержке, шкала комы Глазго, креатинин и билирубин). На наличие септического шока у пациентов с сепсисом указывают необходимость в вазопрессорной поддержке (при условии адекватной инфузионной терапии) и сывороточный уровень лактата выше 2 ммоль/л. Причиной сепсиса могут быть не только бактерии, но и вирусы, причем роль последних в этиологии этого состояния недооценивается [11]. У больных с COVID-19 именно вирус, а не вторичные бактериальные инфекции является ведущей причиной развития сепсиса и септического шока [12]. В пользу этого свидетельствуют отрицательные результаты бактериологического исследования крови и выделений из нижних дыхательных путей более чем у 75% больных сепсисом, развившимся на фоне SARS-CoV-2-инфекции [13].
Цель ретроспективного исследования – анализ факторов, ассоциировавшихся с развитием септического шока у больных SARS-CoV-2-пневмонией, госпитализированных в ОРИТ для респираторной поддержки.
Материалы и методы
Ретроспективное исследование выполнено в Федеральном дистанционном консультативном центре анестезиологии и реаниматологии для взрослых, созданном по приказу Минздрава России от 16.03.2020 №171 на базе ФГАОУ ВО «Первый МГМУ им. И.М. Сеченова» (Сеченовский Университет) для консультаций больных с COVID-19, госпитализированных в ОРИТ лечебных учреждений РФ. Консультативная помощь оказывается круглосуточно сотрудниками университета, в том числе пульмонологами, реаниматологами, инфекционистами и терапевтами. В центр по Интернету направляются заявки на консультации, в которых указываются название лечебного учреждения, демографические, клинические и лабораторные данные пациента, результаты дополнительных исследований, длительность респираторной поддержки, назначенное лечение.
В ретроспективное исследование включали всех пациентов, проконсультированных до 1 мая 2020 г. Диагноз коронавирусной инфекции, вызванной SARS-CoV-2, подтверждали с помощью полимеразной цепной реакции. Если результаты вирусологического исследования на момент консультации являлись отрицательными, сомнительными или отсутствовали, то критериями диагноза служили клинические признаки острой респираторной инфекции, осложнившейся острой дыхательной недостаточностью (снижение SpО2<92% и необходимость в респираторной поддержке), в сочетании с характерными данными компьютерной томографии органов грудной клетки при отсутствии других этиологических факторов [9]. Учитывали также данные эпидемиологического анамнеза, хотя при распространении эпидемии любого инфекционного заболевания их значение на определенном этапе снижается.
Степень выраженности изменений на компьютерных томограммах (КТ) легких определяли с учетом распространенности и характера поражения: КТ-1 (зоны «матового стекла» с вовлечением ≤25% паренхимы легких); КТ-2 (зоны «матового стекла» с поражением 25–50% паренхимы легких); КТ-3 (зоны «матового стекла» и консолидации с поражением 50–75% паренхимы легких); КТ-4 (зоны «матового стекла» и консолидации в сочетании с ретикулярными изменениями с поражением ≥75% паренхимы легких).
Информация, необходимая для расчета индекса SOFA и определения тяжести ОРДС, содержалась не во всех заявках на консультацию, поэтому состояние пациентов оценивали на основании уровня респираторной поддержки: высокопоточная кислородотерапия, неинвазивная вентиляция легких (НВЛ), ИВЛ без признаков септического шока, ИВЛ в сочетании с септическим шоком (полиорганная недостаточность и необходимость в вазопрессорной поддержке).
На основании диагнозов, указанных в заявках на консультацию, анализировали следующие сопутствующие заболевания: АГ, ИБС, инсульт, ФП, ожирение, сахарный диабет (СД), бронхиальную астму, хроническую обструктивную болезнь легких (ХОБЛ), ревматические аутоиммунные заболевания, злокачественные опухоли, диагностированные в течение последних 5 лет, гемобластозы, ВИЧ-инфекцию. Критерием наличия ИБС считали имеющийся в анамнезе острый инфаркт миокарда и/или вмешательства на коронарных артериях (стентирование или аортокоронарное шунтирование). Хроническую сердечную недостаточность не учитывали в связи с высокой вероятностью гипердиагностики этого состояния.
Статистический анализ
Для статистического анализа использовали программу IBM SPSS Statistics 22 (IBM Corporation, США). Данные для количественных показателей приведены в виде среднего арифметического и стандартного отклонения (при нормальном распределении данных) или в виде медианы и межквартильного размаха (при отклонении распределения от нормального). Медианы количественных показателей сравнивали с помощью U-критерия Манна–Уитни или критерия Краскела–Уоллиса, а качественные переменные – с помощью критерия χ2 Пирсона или точного критерия Фишера. Расчет отношения шансов (ОШ) для факторов, ассоциированных с развитием септического шока, проводили с помощью логистической регрессионной модели. Для оценки влияния возраста на развитие септического шока использовали категориальную переменную возраста. При оценке влияния сопутствующих заболеваний выполняли коррекцию исходной регрессионной модели по возрасту. Различия считали достоверными при величине p<0,05. Все результаты приведены с двусторонним уровнем значимости.
Результаты
В исследование включены 1078 пациентов, 611 (56,7%) мужчин и 467 (43,3%) женщин. Средний возраст пациентов составил 61,0±13,7 года. Женщины достоверно старше мужчин (медианы возраста 64 и 58 лет соответственно; р<0,0001); 525 (48,7%) заявок на консультацию поступили из стационаров Москвы, 159 (14,7%) – Московской области, 394 (36,5%) – лечебных учреждений в 58 регионах РФ. У 613 (56,9%) больных диагноз SARS-CoV-2-инфекции подтвержден с помощью полимеразной цепной реакции, а в остальных случаях установлен на основании клинической картины и результатов компьютерной томографии органов грудной клетки.
У всех больных, включенных в исследование, имелись признаки ОРДС в виде острой дыхательной недостаточности, развившейся на фоне респираторной вирусной инфекции и требовавшей респираторной поддержки, в сочетании с типичными для COVID-19 двусторонними распространенными изменениями на КТ легких, которые соответствовали стадиям КТ-3 или КТ-4. Медиана срока от появления первых симптомов до развития острой дыхательной недостаточности составила 9 (7; 12) дней.
В зависимости от уровня респираторной поддержки и необходимости во введении вазопрессорных препаратов пациенты распределены на 4 группы: высокопоточная кислородотерапия, НВЛ, ИВЛ без признаков шока, ИВЛ в сочетании с признаками шока (см. таблицу). Наиболее многочисленную группу составили пациенты, находившиеся на ИВЛ, но не требовавшие введения вазопрессорных препаратов (58,8% от общего числа больных). Во всех этих группах доля мужчин превышала долю женщин, однако достоверные различия между группами по половому составу отсутствовали. В то же время пациенты с септическим шоком старше больных остальных групп. Более того, в логистической регрессионной модели риск развития септического шока у пациентов старше 50 лет выше, чем у больных более молодого возраста (ОШ 2,366; 95% доверительный интервал – ДИ 1,526–3,667; р<0,0001), и достигал максимума у пациентов старше 70 лет (рис. 1).
Рис. 1. ОШ, рассчитанное в логистической регрессионной модели для возраста пациентов как фактора, ассоциированного с развитием септического шока (опорная категория – пациенты моложе 50 лет).
Демографическая характеристика и частота сопутствующих заболеваний у пациентов, разделенных на группы в зависимости от уровня респираторной поддержки | |||||
Параметры | Все (n=1078) | Оксигенотерапия (n=164) | НВЛ (n=66) | ИВЛ (без шока) (n=634) | Шок (n=214) |
Возраст, лет; Me (IQR) | 61,0 (52,0; 70,0) | 57,5β (49,0; 66,8) | 61,0 (52,0; 71,0) | 60,0 (51,0, 69,0) | 65,0 (56,8; 74,0) |
Мужчины, n (%) | 611 (56,7) | 82 (50,0) | 34 (51,5) | 378 (59,6) | 117 (54,7) |
Сердечно-сосудистые заболевания, n (%) | 667 (61,9) | 93* (56,7) | 34 (51,5) | 395 (62,3) | 145 (67,9) |
АГ, n (%) | 611 (56,7) | 91 (55,5) | 32 (48,5) | 359 (56,6) | 129 (60,3) |
ИБС, n (%) | 176 (16,3) | 17§ (10,4) | 5 (7,6) | 104 (16,4) | 50 (23,4) |
Инсульт, n (%) | 76 (7,1) | 13 (7,9) | 1 (1,5) | 48 (7,6) | 14 (6,5) |
ФП, n (%) | 100 (9,3) | 8¶ (4,9) | 5 (7,6) | 50 (7,9) | 37 (17,3) |
СД 2-го типа, n (%) | 276 (25,6) | 29* (17,7) | 14 (21,2) | 167 (26,3) | 66 (30,8) |
Ожирение, n (%) | 265 (24,6) | 33 (20,1) | 11 (16,7) | 172 (21,1) | 49 (22,9) |
Бронхиальная астма, n (%) | 23 (2,1) | 2 (1,2) | 4 (6,1) | 13 (2,1) | 4 (1,9) |
ХОБЛ, n (%) | 51 (4,7) | 4 (2,4) | 5 (7,6) | 33 (5,2) | 9 (4,2) |
Солидные опухоли, n (%) | 37 (3,4) | 2† (1,2) | 1 (1,5) | 19 (3,0) | 15 (7,0) |
Гемобластозы, n (%) | 11 (1,0) | 2 (1,2) | 2 (3,0) | 3 (0,5) | 4 (1,9) |
Ревматические заболевания, n (%) | 14 (1,3) | 1 (0,6) | 0 | 9 (1,4) | 4 (1,9) |
ВИЧ-инфекция, n (%) | 5 (0,5) | 2 (1,2) | 0 | 3 (0,5) | 0 |
¶р<0,0001; §р<0,001, †р<0,01, *р<0,05 (критерий χ2 Пирсона для многомерных таблиц частот); βдля возраста р<0,0001 (критерий Краскела–Уоллиса). | |||||
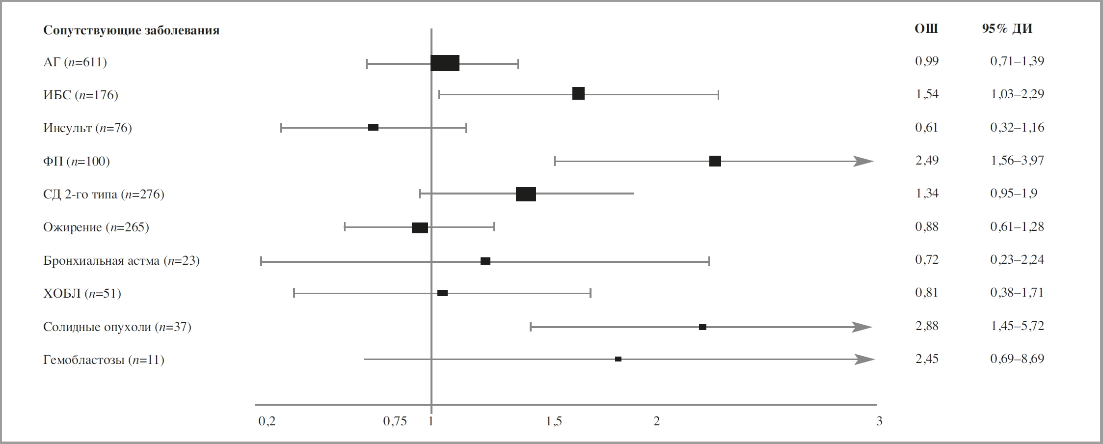
Во всех группах пациентов, как и в выборке в целом, основными сопутствующими заболеваниями являлись сердечно-сосудистые болезни, прежде всего АГ и ИБС, а также СД 2-го типа и ожирение, в то время как частота хронических заболеваний дыхательных путей, солидных опухолей и гемобластозов, ревматических аутоиммунных заболеваний (системная красная волчанка, ревматоидный артрит, системная склеродермия и др.) и ВИЧ-инфекции низкая (см. таблицу). У больных с более тяжелым течением заболевания отмечено увеличение частоты сердечно-сосудистых заболеваний в целом, ИБС, ФП, СД и солидных опухолей, в то время как другие сопутствующие заболевания встречались с одинаковой частотой в четырех группах. По данным многофакторного анализа, заболеваниями, ассоциированными с развитием септического шока, являлись ИБС, ФП и солидные опухоли (рис. 2), однако после внесения поправки на возраст в исходную модель статистическую значимость сохранили только ФП (ОШ 2,204; 95% ДИ 1,374–3,535; р=0,001) и солидные опухоли (ОШ 2,460; 95% ДИ 1,230–4,922; р=0,011).
Рис. 2. ОШ, рассчитанное в логистической регрессионной модели для факторов, ассоциированных с развитием септического шока.
У 275 (25,5%) пациентов не выявлены сопутствующие заболевания, у 295 (27,4%) – имелось по крайней мере одно заболевание, 255 (23,7%) – 2, 253 (23,5%) – 3 и более. У пациентов без сопутствующих заболеваний адекватную оксигенацию крови поддерживали с помощью высокопоточной назальной оксигенотерапии чаще, чем в других группах. По данным логистического регрессионного анализа, риск развития септического шока у пациентов с 3 и более сопутствующими заболеваниями выше, чем у пациентов без сопутствующих заболеваний (ОШ 1,76; 95% ДИ 1,17–2,70); рис. 3.
Рис. 3. ОШ, рассчитанное в логистической регрессионной модели для количества сопутствующих заболеваний как факторов, ассоциированных с развитием септического шока (опорная категория – пациенты без сопутствующих заболеваний).
Обсуждение
Результаты ретроспективного исследования показали, что пожилой возраст и сопутствующие заболевания у больных SARS-CoV-2-пневмонией являются основными факторами, ассоциированными с развитием септического шока. У большинства обследованных пациентов во всех четырех группах, выделенных с учетом уровня респираторной поддержки (оксигенотерапия, НВЛ, ИВЛ без признаков шока, септический шок), имелись сердечно-сосудистые заболевания, СД 2-го типа и/или ожирение, которые считают основными факторами, предрасполагающими к развитию ОРДС у больных с COVID-19 [6]. По данным многофакторного анализа, в нашем исследовании среди перечисленных заболеваний только ИБС (инфаркт миокарда и/или вмешательства на коронарных артериях в анамнезе) и ФП ассоциировались с достоверным увеличением риска развития септического шока у больных ОРДС, вызванным SARS-CoV-2. Полученные данные, конечно, не исключают неблагоприятное значение других сопутствующих заболеваний, прежде всего ожирения и СД 2-го типа при COVID-19, так как мы не оценивали риск развития ОРДС по сравнению с контрольной группой пациентов, у которых отсутствовали признаки острой дыхательной недостаточности. Неблагоприятное влияние ожирения (особенно выраженного) и СД 2-го типа на течение SARS-CoV-2-инфекции ранее показано в клинических исследованиях, проводимых в других странах [15]. Например, В США СД среди 7162 пациентов с COVID-19 выявлен у 6, 24 и 32% больных, получавших амбулаторное лечение, госпитализированных в стационар или ОРИТ соответственно [16]. В другом исследовании частота СД у госпитализированных больных с COVID-19 почти в 6 раз превышала таковую у пациентов с легким течением заболевания (31,8 и 5,4% соответственно) [17]. В исследовании, проведенном в Нью-Йорке у 3615 пациентов с SARS-CoV-2-инфекцией, ожирение и тяжелое ожирение у больных в возрасте до 60 лет ассоциировались с увеличением риска госпитализации в ОРИТ в 1,8 и 3,6 раза соответственно (р=0,006 и p<0,001) [18]. В российской когорте больных с COVID-19, получавших респираторную поддержку, АГ не ассоциировалась с повышенным риском развития септического шока, а частота ее соответствовала таковой в общей популяции у людей сопоставимого возраста и пола [19]. Соответственно, роль АГ как возможного предиктора неблагоприятного течения SARS-CoV-2-инфекции не стоит преувеличивать.
Потенциальная связь между сердечно-сосудистыми заболеваниями и риском развития или более тяжелого течения COVID-19 может опосредоваться ренин-ангиотензиновой системой, один из компонентов которой – ангиотензинпревращающий фермент (АПФ)-2 – является рецептором SARS-CoV-2 на поверхности альвеолоцитов и клеток других тканей [20]. Проникновение вируса в клетки обеспечивает также трансмембранная сериновая протеаза 2 (TMPSSR2), которая расщепляет белок S (spike) вируса и инициирует процесс слияния (fusion). Высказано предположение, что ингибиторы АПФ и блокаторы рецепторов ангиотензина II могут вызвать компенсаторное увеличение экспрессии АПФ-2 в клетках и ухудшить течение COVID-19, хотя данных, подтверждающих эту гипотезу, как и оснований отказываться от приема указанных препаратов во время пандемии, нет [21].
В нашем исследовании частота ревматических аутоиммунных заболеваний среди пациентов с ОРДС, вызванным SARS-CoV-2, составила 1,3% и не превышала таковую в общей популяции. У большинства больных с ревматическими заболеваниями имелись сопутствующие заболевания, которые могли привести к более тяжелому течению COVID-19 [22]. Нельзя исключить, что подавление воспалительного ответа под действием различных противоревматических препаратов может препятствовать развитию синдрома выброса цитокинов у пациентов с COVID-19 [23]. В настоящее время опубликованы результаты первых неконтролируемых исследований, демонстрирующих возможную эффективность ингибиторов ИЛ-6 (тоцилизумаба, сарилумаба) и ингибитора JAK-киназ (барицитиниба) в лечении тяжелой SARS-CoV-2-пневмонии [24, 25], а Россия стала одной из немногих стран мира, в которых применение указанных препаратов при тяжелом течении COVID-19 прописано в официальных рекомендациях Минздрава России [26]. Мы не анализировали частоту применения подобных препаратов в российских лечебных учреждениях. Однако в госпитале на 2 тыс. коек для пациентов с COVID-19, созданном на базе клиник ФГАОУ ВО «Первый МГМУ им. И.М. Сеченова» (Сеченовский Университет), за 1 мес тоцилизумаб использован у 85 пациентов, сарилумаб – у 10 и тофацитиниб – у 28. Широкое применение противоревматических препаратов, прежде всего гидроксихлорохина/хлорохина для лечения COVID-19 создает проблемы для пациентов с ревматическими заболеваниями, в частности с системной красной волчанкой, которые не всегда могут получить необходимое им лечение [27]. При этом эффективность аминохинолиновых производных при COVID-19 остается недоказанной и вызывает сомнения, особенно после публикации негативных результатов крупных (хотя и нерандомизированных) исследований [28].
Еще одним фактором, ассоциированным с развитием септического шока в нашем исследовании, стали солидные опухоли, хотя частота их, как и гемобластозов, являлась низкой (3,4 и 1,0% соответственно) [29]. Частота бронхиальной астмы и ХОБЛ, которые могут предрасполагать к развитию ОРДС и его более тяжелому течению, также оказалась низкой, особенно по сравнению с сердечно-сосудистыми заболеваниями, ожирением и СД, и существенно не различалась между группами [30]. Следует отметить, что результаты метаанализа нескольких исследований, проведенных в Китае, показали, что ХОБЛ является независимым фактором риска более тяжелого течения COVID-19 [6].
Ограничения исследования
Наше исследование имеет некоторые ограничения. У пациентов с SARS-CoV-2-пневмонией нередко наблюдается быстрое прогрессирование заболевания, поэтому нельзя исключить, что у части больных, получавших высокопоточную назальную оксигенотерапию или НВЛ, позднее также мог развиться септический шок. Соответственно, частота септического шока в исследованной когорте могла быть заниженной, так как заявки на консультацию поступали в разные сроки после госпитализации в ОРИТ. Большинство заявок получено в первые дни после поступления в ОРИТ, что позволило нам оценить частоту раннего развития септического шока у больных SARS-CoV-2-пневмонией. Тяжесть состояния пациентов в части случаев могла препятствовать адекватному сбору анамнеза. Чтобы повысить надежность информации о сопутствующих заболеваниях, мы не учитывали диагнозы сердечной недостаточности, а также ИБС при отсутствии указаний на инфаркт миокарда и/или вмешательства на коронарных артериях ввиду высокой вероятности гипердиагностики указанных состояний. Основным достоинством нашей работы является обследование большого числа пациентов с тяжелой SARS-CoV-2-пневмонией, которые находились на лечении не в одном центре, а в различных лечебных учреждениях РФ.
Заключение
Риск развития септического шока при COVID-19 выше у пациентов старше 50 лет, страдающих несколькими сопутствующими заболеваниями, хотя крайне тяжелое течение заболевания возможно и у более молодых людей без какой-либо сопутствующей патологии.
Авторы заявляют об отсутствии конфликта интересов.
About the authors
P. V. Glybochko
Sechenov First Moscow State Medical University (Sechenov University)
Email: Avt420034@yahoo.com
ORCID iD: 0000-0002-5541-2251
акад. РАН, д.м.н., проф., ректор.
Russian Federation, MoscowV. V. Fomin
Sechenov First Moscow State Medical University (Sechenov University)
Email: avt420034@yahoo.com
ORCID iD: 0000-0002-2682-4417
чл.-кор. РАН, д.м.н., проф., проректор по клинической работе и дополнительному профессиональному образованию
Russian Federation, MoscowS. V. Moiseev
Sechenov First Moscow State Medical University (Sechenov University)
Email: avt420034@yahoo.com
ORCID iD: 0000-0002-7232-4640
д.м.н., проф., зав. каф. внутренних, профессиональных болезней и ревматологии
Russian Federation, MoscowS. N. Avdeev
Sechenov First Moscow State Medical University (Sechenov University)
Author for correspondence.
Email: avt420034@yahoo.com
ORCID iD: 0000-0002-5999-2150
чл.-кор. РАН, д.м.н., проф., зав. каф. пульмонологии, гл. внештат. специалист-пульмонолог Минздрава России
Russian Federation, MoscowA. G. Yavorovskiy
Sechenov First Moscow State Medical University (Sechenov University)
Email: avt420034@yahoo.com
ORCID iD: 0000-0001-5103-0304
д.м.н., ст. науч. сотр. по специальности «Анестезиология и реаниматология», зав. каф. анестезиологии и реаниматологии
Russian Federation, MoscowM. Yu. Brovko
Sechenov First Moscow State Medical University (Sechenov University)
Email: avt420034@yahoo.com
ORCID iD: 0000-0003-0023-2701
к.м.н., зам. глав. врача по медицинской части УКБ №3
Russian Federation, MoscowK. T. Umbetova
Sechenov First Moscow State Medical University (Sechenov University)
Email: avt420034@yahoo.com
ORCID iD: 0000-0003-0902-9267
д.м.н., проф., каф. инфекционных болезней
Russian Federation, MoscowV. A. Aliev
Sechenov First Moscow State Medical University (Sechenov University)
Email: avt420034@yahoo.com
ORCID iD: 0000-0002-2089-7076
к.м.н., ассистент каф. анестезиологии и реаниматологии
Russian Federation, MoscowE. L. Bulanova
Sechenov First Moscow State Medical University (Sechenov University)
Email: avt420034@yahoo.com
ORCID iD: 0000-0001-5043-6994
к.м.н., доц. каф. анестезиологии и реаниматологии
Russian Federation, MoscowI. B. Bondarenko
Sechenov First Moscow State Medical University(SechenovUniversity)
Email: avt420034@yahoo.com
ORCID iD: 0000-0002-5536-9388
к.м.н., ассистент каф. внутренних, профессиональных болезней и ревматологии
Russian Federation, MoscowO. S. Volkova
Sechenov First Moscow State Medical University (Sechenov University)
Email: avt420034@yahoo.com
ORCID iD: 0000-0002-4568-1298
к.м.н., дир. Клинического центра
Russian Federation, MoscowV. V. Gaynitdinova
Sechenov First Moscow State Medical University (Sechenov University)
Email: avt420034@yahoo.com
ORCID iD: 0000-0001-9928-926X
д.м.н., проф. каф. пульмонологии
Russian Federation, MoscowT. Yu. Gneusheva
Sechenov First Moscow State Medical University (Sechenov University)
Email: avt420034@yahoo.com
ORCID iD: 0000-0002-7232-4640
к.м.н., ассистент каф. пульмонологии
Russian Federation, MoscowK. V. Dubrovin
Sechenov First Moscow State Medical University (Sechenov University)
Email: avt420034@yahoo.com
ORCID iD: 0000-0002-4677-0508
к.м.н., ассистент каф. анестезиологии и реаниматологии
Russian Federation, MoscowV. A. Kapustina
Sechenov First Moscow State Medical University (Sechenov University)
Email: avt420034@yahoo.com
ORCID iD: 0000-0001-6512-1629
к.м.н., доц. каф. факультетской терапии №1
Russian Federation, MoscowV. V. Kraeva
Sechenov First Moscow State Medical University (Sechenov University)
Email: avt420034@yahoo.com
ORCID iD: 0000-0003-2141-6411
к.м.н., ассистент каф. внутренних, профессиональных болезней и ревматологии
Russian Federation, MoscowZ. M. Merzhoeva
Sechenov First Moscow State Medical University (Sechenov University)
Email: avt420034@yahoo.com
ORCID iD: 0000-0002-3174-5000
к.м.н., ассистент каф. пульмонологии
Russian Federation, MoscowG. S. Nuralieva
Sechenov First Moscow State Medical University (Sechenov University)
Email: avt420034@yahoo.com
ORCID iD: 0000-0002-4726-4906
к.м.н., доц. каф. пульмонологии
Russian Federation, MoscowP. V. Nogtev
Sechenov First Moscow State Medical University (Sechenov University)
Email: avt420034@yahoo.com
ORCID iD: 0000-0002-5553-0880
к.м.н., ассистент каф. анестезиологии и реаниматологии
Russian Federation, MoscowV. V. Panasyuk
Sechenov First Moscow State Medical University (Sechenov University)
Email: avt420034@yahoo.com
ORCID iD: 0000-0002-7232-4640
к.м.н., глав. врач УКБ №3, засл. врач РФ
Russian Federation, MoscowM. E. Politov
Sechenov First Moscow State Medical University (Sechenov University)
Email: avt420034@yahoo.com
ORCID iD: 0000-0003-0623-4927
к.м.н., доц. каф. анестезиологии и реаниматологии
Russian Federation, MoscowA. M. Popov
Sechenov First Moscow State Medical University (Sechenov University)
Email: avt420034@yahoo.com
ORCID iD: 0000-0001-6739-249X
к.м.н., ассистент каф. анестезиологии и реаниматологии
Russian Federation, MoscowE. N. Popova
Sechenov First Moscow State Medical University (Sechenov University)
Email: avt420034@yahoo.com
ORCID iD: 0000-0001-5164-4621
д.м.н., каф. внутренних, профессиональных болезней и ревматологии
Russian Federation, MoscowN. A. Raspopina
Sechenov First Moscow State Medical University (Sechenov University)
Email: avt420034@yahoo.com
ORCID iD: 0000-0002-6546-6536
д.м.н., проф. каф. пульмонологии
Russian Federation, MoscowV. V. Royuk
Sechenov First Moscow State Medical University (Sechenov University)
Email: avt420034@yahoo.com
ORCID iD: 0000-0002-4966-3767
к.м.н., глав. врач УКБ №1, ассистент каф. общественного здоровья и здравоохранения им. Н.А. Семашко
Russian Federation, MoscowYu. D. Sorokin
Sechenov First Moscow State Medical University (Sechenov University)
Email: avt420034@yahoo.com
ORCID iD: 0000-0002-0926-4833
зав. отд-нием реанимации №1 УКБ №3
Russian Federation, MoscowN. V. Trushenko
Sechenov First Moscow State Medical University (Sechenov University)
Email: avt420034@yahoo.com
ORCID iD: 0000-0002-7232-4640
к.м.н., ассистент каф. пульмонологии
Russian Federation, MoscowE. Yu. Khalikova
Sechenov First Moscow State Medical University (Sechenov University)
Email: avt420034@yahoo.com
ORCID iD: 0000-0002-6931-1494
к.м.н., доц. каф. анестезиологии и реаниматологии
Russian Federation, MoscowN. A. Tsareva
Sechenov First Moscow State Medical University (Sechenov University)
Email: avt420034@yahoo.com
ORCID iD: 0000-0002-5448-9222
к.м.н., доц. каф. пульмонологии
Russian Federation, MoscowS. Yu. Chikina
Sechenov First Moscow State Medical University (Sechenov University)
Email: avt420034@yahoo.com
ORCID iD: 0000-0002-5536-9388
к.м.н., ассистент каф. пульмонологии
Russian Federation, MoscowN. V. Chichkova
Sechenov First Moscow State Medical University (Sechenov University)
Email: avt420034@yahoo.com
ORCID iD: 0000-0002-6962-3260
д.м.н., проф. каф. факультетской терапии №1
Russian Federation, MoscowL. A. Akulkina
Sechenov First Moscow State Medical University (Sechenov University)
Email: avt420034@yahoo.com
ORCID iD: 0000-0002-4307-8882
ассистент каф. внутренних, профессиональных болезней и ревматологии
Russian Federation, MoscowN. M. Bulanov
Sechenov First Moscow State Medical University (Sechenov University)
Email: avt420034@yahoo.com
ORCID iD: 0000-0002-3989-2590
к.м.н., ассистент каф. внутренних, профессиональных болезней и ревматологии
Russian Federation, MoscowL. A. Ermolova
Sechenov First Moscow State Medical University (Sechenov University)
Email: avt420034@yahoo.com
ORCID iD: 0000-0002-0488-0469
врач-стажер УКБ №3
Russian Federation, MoscowA. S. Zykova
Sechenov First Moscow State Medical University (Sechenov University)
Email: avt420034@yahoo.com
ORCID iD: 0000-0002-7674-8643
к.м.н., науч. сотр., научно-исследовательский отд. здоровьесберегающих технологий
Russian Federation, MoscowA. A. Kitbalyan
Sechenov First Moscow State Medical University (Sechenov University)
Email: avt420034@yahoo.com
ORCID iD: 0000-0003-0546-988X
врач-стажер УКБ №3
Russian Federation, MoscowA. S. Moiseev
Sechenov First Moscow State Medical University (Sechenov University)
Email: avt420034@yahoo.com
ORCID iD: 0000-0003-4390-4467
врач-стажер УКБ №3
Russian Federation, MoscowP. P. Potapov
Sechenov First Moscow State Medical University (Sechenov University)
Email: avt420034@yahoo.com
ORCID iD: 0000-0003-4366-2832
врач-стажер УКБ №3
Russian Federation, MoscowE. A. Tao
Sechenov First Moscow State Medical University (Sechenov University)
Email: avt420034@yahoo.com
ORCID iD: 0000-0002-0621-7054
науч. сотр. научно-исследовательского отд. здоровьесберегающих технологий
Russian Federation, MoscowV. I. Sholomova
Sechenov First Moscow State Medical University (Sechenov University)
Email: avt420034@yahoo.com
ORCID iD: 0000-0002-8785-7968
к.м.н., ассистент каф.
Russian Federation, MoscowA. A. Shchepalina
Sechenov First Moscow State Medical University (Sechenov University)
Email: avt420034@yahoo.com
ORCID iD: 0000-0002-1826-0519
врач-стажер УКБ №3
Russian Federation, MoscowA. A. Yakovleva
Sechenov First Moscow State Medical University (Sechenov University)
Email: avt420034@yahoo.com
ORCID iD: 0000-0001-7295-4821
врач-стажер УКБ №3
Russian Federation, MoscowReferences
- Wu Z, McGoogan JM. Characteristics of and important lessons from the Coronavirus Disease 2019 (COVID-19) outbreak in China: summary of a report of 72 314 cases from the Chinese Center for Disease Control and Prevention. JAMA. 2020. doi: 10.1001/jama.2020.2648
- Henderson LA, Canna SW, Schulert GS, et al. On the alert for cytokine storm: immunopathology in COVID-19. Arthritis Rheumatol. 2020. doi: 10.1002/art.41285
- Насонов Е.Л. Коронавирусная болезнь 2019 (COVID-19): размышления ревматолога. Научно-практическая ревматология. 2020;58(2):123-32 [Nasonov EL. Coronavirus disease 2019 (COVID-19): A rheumatologist’s thoughts. Rheumatology Science and Practice. 2020;58(2):123-32 (In Russ.)]. doi: 10.14412/1995-4484-2020-123-132
- Mehta P, McAuley DF, Brown M, et al. COVID-19: consider cytokine storm syndromes and immunosuppression. Lancet. 2020;395(10229):1033-4. doi: 10.1016/s0140-6736(20)30628-0
- Wang D, Hu B, Hu C, et al. Clinical сharacteristics of 138 hospitalized patients with 2019 novel Coronavirus–infected pneumonia in Wuhan, China. JAMA. 2020;323(11):1061-9. doi: 10.1001/jama.2020.1585
- Wu C, Chen X, Cai Y, et al. Risk factors associated with acute respiratory distress syndrome and death in patients with Coronavirus Disease 2019 pneumonia in Wuhan, China. JAMA Int Med. 2020;58(4):713-4. doi: 10.1016/j.jemermed.2020.04.007
- Lazzerini M, Putoto G. COVID-19 in Italy: momentous decisions and many uncertainties. Lancet Glob Health. 2020;8(5):e641-2.
- Глыбочко П.В., Фомин В.В., Авдеев С.Н. и др. Клиническая характеристика 1007 больных тяжелой SARS-CoV-2 пневмонией, нуждавшихся в респираторной поддержке. Клин. фармакология и терапия. 2020;29(2):21-9 [Glybochko PV, Fomin VV, Avdeev SN, et al. Clinical characteristics of 1007 intensive care unit patients with SARS-CoV-2 pneumonia. Klinicheskaya farmakologiya i terapiya = Clin Pharmacol Ther. 2020;29(2):21-9 (In Russ.)]. doi: 10.32756/0869-5490-2020-2-21-29
- Ren D, Ren R, Yao R-I, et al. Clinical features and development of sepsis in patients infected with SARS-CoV-2: a retrospective analysis of 150 cases outside Wuhan, China. Intensive Care Med. 2020;46:1630-3. doi: 10.1007/s00134-020-06084-5
- Singer M, Deutschman CS, Seymour CW, et al. The Third International Consensus Definitions for Sepsis and Septic Shock (Sepsis-3). JAMA. 2016;315(8):801-10. doi: 10.1001/jama.2016.0287
- Lin GL, McGinley JP, Drysdale SB, Pollard AJ. Epidemiology and immune pathogenesis of viral sepsis. Front Immunol. 2018;9:2147. doi: 10.3389/fimmu.2018.02147
- Li H, Liu L, Zhang D, et al. SARS-CoV-2 and viral sepsis: observations and hypotheses. Lancet. 2020;395(10235):1517-20. doi: 10.1016/S0140-6736(20)30920-X
- Zhou F, Yu T, Du R, et al. Clinical course and risk factors for mortality of adult inpatients with COVID-19 in Wuhan, China: a retrospective cohort study. Lancet. 2020;395:1054-62. doi: 10.1016/S0140-6736(20)30566-3
- Salehi S, Abedi A, Balakrishnan S, Gholamrezanezhad A. Coronavirus disease 2019 (COVID-19): a systematic review of imaging findings in 919 Patients. AJR Am J Roentgenol. 2020; p. 1-7. doi: 10.2214/AJR.20.23034
- Drucker DJ. Coronavirus infections and type 2 diabetes – shared pathways with therapeutic implications. Endocr Rev. 2020;41(3). pii: bnaa011. doi: 10.1210/endrev/bnaa011
- Team CC-R. Preliminary estimates of the prevalence of selected underlying health conditions among patients with Coronavirus Disease 2019 – United States, February 12-March 28, 2020. MMWR Morb Mortal Wkly Rep. 2020;69(13):382-6. doi: 10.15585/mmwr.mm6913e2
- Petrilli CM, Jones SA, Yang J, et al. Factors associated with hospitalization and critical illness among 4,103 patients with COVID-19 disease in New York City. BMJ. 2020;369:m1966. doi: 10.1136/bmj.m1966
- Lighter J, Phillips M, Hochman S, et al. Obesity in patients younger than 60 years is a risk factor for Covid-19 hospital admission. Clin Infect Dis. 2020. pii: ciaa415. doi: 1093/cid/ciaa415
- Муромцева Г.А., Концевая А.В., Константинов В.В. и др. Распространенность факторов риска неинфекционных заболеваний в российской популяции в 2012-2013 гг. Результаты исследования ЭССЕ-РФ. Кардиоваскулярная терапия и профилактика. 2014;13(6):4-11 [Muromtseva GA, Kontsevaya AV, Konstantinov VV, et al. The prevalence of non-infectious diseases risk factors in Russian population in 2012-2013 years. Cardiovascular Therapy and Prevention. 2014;13(6):4-11 (In Russ.)].
- Pillay TS. Gene of the month: the 2019-nCoV/SARS-CoV-2 novel coronavirus spike protein. J Clin Pathol. 2020. doi: 10.1136/jclinpath-2020-206658
- Vaduganathan M, Vardeny O, Michel T, et al. Renin-angiotensin-aldosterone system inhibitors in patients with Covid-19. N Engl J Med. 2020;82:1653-9. doi: 10.1056/nejmc2013707
- Moiseev S, Avdeev S, Brovko M, et al. Rheumatic diseases in intensive care unit patients with COVID-19. Ann Rheum Dis. 2020. doi: 10.1136/annrheumdis-2020-217676
- Lu C, Li S, Liu Y. Role of immunosuppressive therapy in rheumatic diseases concurrent with covid-19. Ann Rheum Dis. 2020. doi: 10.1136/annrheumdis-2020-217460
- Toniati P, Piva S, Cattalini M, et al; Brescia International Research and Training HUB (BIRTH). Tocilizumab for the treatment of severe COVID-19 pneumonia with hyperinflammatory syndrome and acute respiratory failure: A single center study of 100 patients in Brescia, Italy. Autoimmun Rev. 2020;19(7):102568. doi: 10.1016/j.autrev.2020.102568
- Cantini F, Niccoli L, Matarrese D, et al. Baricitinib therapy in COVID-19: A pilot study on safety and clinical impact. J Infect. 2020;S0163-4453(20)30228-0. doi: 10.1016/j.jinf.2020.04.017
- Временные методические рекомендации. Профилактика, диагностика и лечение новой коронавирусной инфекции (COVID-19). Версия 6 от 28.04.2020. https://static1.rosminzdrav.ru/system/attachments/attaches/000/050/116/original/28042020_%D0%9CR_COVID-19_v6.pdf
- Moiseev S, Avdeev S, Brovko M, et al. Is there a future for hydroxychloroquine/chloroquine in prevention of SARS-CoV-2 infection (COVID-19)? Ann Rheum Dis. 2020. pii: annrheumdis-2020-217570. doi: 10.1136/annrheumdis-2020-217570
- Geleris J, Sun Y, Platt J, et al. Obesrvational study of hydroxychloroquine in hospitalized patients with COVID-19. NEJM. 2020. doi: 10.1056/ NEJMoa2012410
- Moiseev S, Avdeev S, Brovko M, et al. Cancer in intensive care unit patients with COVID-19. J Infection. 2020. doi: 10.1016/j.jinf.2020.05.053
- Avdeev S, Moiseev S, Brovko M, et al. Low prevalence of bronchial asthma and chronic obstructive lung disease among intensive care unit patients with COVID-19. Allergy. 2020. doi: 10.1111/all.14420
Supplementary files








