Трансплантация фекальной микробиоты при реакции «трансплантат против хозяина» у детей и взрослых: методы, клинические эффекты, безопасность
- Авторы: Голощапов О.В.1, Чухловин А.Б.1, Бакин Е.А.1, Станевич О.В.1, Клементьева Р.В.1, Щербаков А.А.1, Швецов А.Н.1, Суворова М.А.2, Бондаренко С.Н.1, Кучер М.А.1, Кулагин А.Д.1, Зубаровская Л.С.1, Моисеев И.С.1
-
Учреждения:
- Научно-исследовательский институт детской онкологии, гематологии и трансплантологии им. Р.М. Горбачевой, ФГБОУ ВО «Первый Санкт-Петербургский государственный медицинский университет им. акад. И.П. Павлова» Минздрава России
- ООО «Эксплана»
- Выпуск: Том 92, № 7 (2020)
- Страницы: 43-54
- Раздел: Оригинальные статьи
- Статья получена: 25.08.2020
- Статья опубликована: 01.09.2020
- URL: https://ter-arkhiv.ru/0040-3660/article/view/43122
- DOI: https://doi.org/10.26442/00403660.2020.07.000773
- ID: 43122
Цитировать
Полный текст
Аннотация
Цель. Оценка клинической эффективности, спектра побочных эффектов и динамики микрофлоры после трансплантации фекальной микробиоты (ТФМ) у пациентов с кишечной формой реакции «трансплантат против хозяина» (РТПХ).
Материалы и методы. Проспективное одноцентровое сравнительное исследование в НИИ детской онкологии, гематологии и трансплантологии им. Р.М. Горбачевой включало 27 пациентов с кишечной формой РТПХ после трансплантации аллогенных гемопоэтических стволовых клеток. ТФМ выполнена 19 пациентам, плацебо получали 8 человек. По оценочным шкалам изучены клинические эффекты и безопасность ТФМ у пациентов. Изменения состава фекальной микробиоты оценивали методом мультиплексной полимеразной цепной реакции.
Результаты. После ТФМ по сравнению с группой плацебо выявлены статистически значимо более высокие средние значения общей бактериальной массы (р=0,00088), Bifidobacterium spp. (р=0,021), Escherichia coli (р=0,049) и Bacteroides fragilis gr. (р=0,000043). При этом изменения в бактериальной массе наблюдались у пациентов с клиническим ответом (р=0,0057), а бактериальная масса у пациентов без полного ответа сопоставима с группой плацебо (р=0,31). Частичный ответ по тяжести РТПХ достигался быстрее в группе ТФМ, чем в группе плацебо (медиана 4 дня против 48 дней; р=0,014). Полный ответ наблюдался у 8 (42%), 14 (74%) и 16 (84%) больных через 30, 60 и 90 дней в группе ТФМ соответственно против 0%, 1 (13%) и 4 (50%) в группе принимавших плацебо. Частота и выраженность нежелательных явлений после ТФМ сопоставима с группой плацебо.
Заключение. ТФМ у пациентов с резистентными формами кишечной РТПХ сопровождается позитивной динамикой клинических проявлений наряду с восстановлением кишечной микробиоты по ряду маркерных бактерий. Метод мультиплексной полимеразной цепной реакции можно использовать для оценки приживления фекального трансплантата. ТФМ пациентам с резистентной формой кишечной РТПХ не сопровождается жизнеугрожающими побочными эффектами. Однако требуются дополнительные исследования для уточнения клинической эффективности ТФМ.
Полный текст
алло-ТГСК – аллогенная трансплантация гемопоэтических стволовых клеток
ВАШ – визуальная аналоговая шкала
ГКС – глюкокортикостероидные гормоны
ЖКТ – желудочно-кишечный тракт
КФМ – капсулы с фекальной микробиотой
НИЗ – назоинтестинальный зонд
НО – нет ответа
ОБМ – общая бактериальная масса
ПО – полный ответ
ПЦР – полимеразная цепная реакция
РТПХ – реакция «трансплантат против хозяина»
ТГСК – трансплантация гемопоэтических стволовых клеток
ТФМ – трансплантация фекальной микробиоты
УПМ – условно-патогенные микроорганизмы
ФГДС – фиброгастродуоденоскопия
ФКС – фиброколоноскопия
ФМ – фекальная микробиота
ФТ – фекальный трансплантат
ЧО – частичный ответ
CTCAE (Common Terminology Criteria for Adverse Events) – шкала общих терминологических критериев неблагоприятных событий
Введение
Совокупность микроорганизмов (микробиота) кишечника является существенной и необходимой частью общей микробной популяции организма человека, насчитывающей более 500 видов микроорганизмов общей массой 2–3 кг. Многие из них (главным образом анаэробные бактерии) синтезируют метаболически активные соединения, необходимые для пищевого баланса организма [1, 2]. За последнее десятилетие проведены обширные исследования состава кишечной микробиоты и коррекции ее состава путем диеты и назначения бактерий-пробиотиков при ряде заболеваний, где показано наличие кишечного дисбиоза [3]. Тем не менее рандомизированные исследования не показали преимуществ назначения пробиотических микроорганизмов у пациентов в критическом состоянии, что требует поиска альтернативных подходов к коррекции микробиоты [4]. Микробные и вирусные антигены кишечной микробиоты проникают в регионарные кровеносные сосуды и лимфоузлы, вызывая реакции врожденного (неспецифического) иммунитета, а также адаптивный В- и Т-клеточный иммунный ответ, т.е. являются ключевым фактором нормального созревания и функционирования иммунной системы, особенно в детском возрасте [5].
Многие кишечные патогены можно выявлять классическими бактериологическими методами, например, Escherichia coli, Streptococcus, Enterococcus и др. Однако более полная оценка состава кишечной микробиоты может быть проведена с применением молекулярно-биологических методик – геноспецифической полимеразной цепной реакции (ПЦР), а также с помощью секвенирования следующего поколения (NGS) 16S рибосомальной ДНК, позволяющего оценить всю совокупность кишечного микробиома [6, 7]. Из этих данных можно определить качественные и количественные изменения состава кишечной микробиоты. Среди множества клинических ситуаций с нарушением состава и функции кишечной микробиоты особого внимания заслуживают больные онкологического профиля после интенсивной цитостатической терапии и в раннем периоде после трансплантации гемопоэтических стволовых клеток (ТГСК) с тяжелыми иммунологическими осложнениями в виде стероид-рефрактерной реакции «трансплантат против хозяина» (РТПХ) [8]. У этих пациентов отмечается крайне неблагоприятный прогноз из-за сочетания выраженного иммунодефицита и рецидивирующих антибиотикорезистных инфекций. На фоне клеточного иммунодефицита после интенсивной химиотерапии и антибактериальной терапии происходят снижение биологического разнообразия анаэробных бактерий кишечника (Clostridia и др.), появление кишечных патогенов и их токсичных метаболитов в кровотоке [8]. Прямое и опосредованное действие цитостатической терапии (через активацию системы цитокинов) в совокупности приводит к сужению биоразнообразия микробиоты, развитию системного воспалительного ответа организма, что модифицирует и утяжеляет состояние пациентов, в том числе при РТПХ, тяжелой септицемии, являясь причиной более высокой ранней летальности [9]. Таким образом, восстановление биоразнообразия и реколонизация кишечного микробиома являются важной задачей профилактики и лечения жизнеугрожающих осложнений у иммунокомпрометированных пациентов. Трансплантация фекальной микробиоты (ТФМ) рассматривается в качестве одного из приемлемых методов реколонизации кишечника. Она впервые выполнена в 1958 г. при тяжелой кишечной инфекции, ассоциированной с Clostridium difficile [10]. В России первое сообщение о ТФМ у взрослых опубликовано в 2016 г. [11], у детей – в 2017 г. [12]. По настоящее время в России опубликованы лишь единичные случаи ТФМ [11–16].
В связи с этим мы провели первое одноцентровое исследование ТФМ в России, которое позволило отработать протоколы ТФМ у взрослых и детей после аллогенной трансплантации гемопоэтических стволовых клеток (алло-ТГСК), оценить ее эффективность и безопасность по клиническим и лабораторным критериям.
Цель исследования – оценка клинической эффективности ТФМ у пациентов с кишечной стероид-резистентной формой РТПХ после алло-ТГСК, определение безопасности и спектра побочных эффектов ТФМ, оценка состава фекальной микробиоты (ФМ) после интенсивной цитостатической, антибактериальной терапии и алло-ТГСК, а также процессов реколонизации кишечной микробиоты после ТФМ у иммунокомпрометированных больных.
Материалы и методы
В период с 2017 по 2020 г. в НИИ детской онкологии, гематологии и трансплантологии им. Р.М. Горбачевой выполнено одноцентровое проспективное исследование «Лечение детей и взрослых с воспалительными и инфекционными поражениями пищеварительного тракта после аллогенной трансплантации гемопоэтических стволовых клеток путем пересадки нормальной фекальной микробиоты человека» (разрешение локального этического комитета ФГБОУ ВО «Первый СПбГМУ им. акад. И.П. Павлова» от 30.01.2017 №192). Все исследуемые пациенты или их родители подписывали соответствующее информированное согласие. В исследование планировали включить 30 пациентов (20 в группу ТФМ и 10 в группу плацебо), однако 3 пациента прервали свое участие в эксперименте на ранних сроках после ТФМ/плацебо и исключены из анализа. В результате в анализ включены 27 пациентов в возрасте от 1 до 52 лет (медиана 25 лет).
Критерий включения в исследование – стероид-рефрактерная острая или хроническая РТПХ (overlap-синдром) с поражением кишечника и неудачей по крайней мере 2 предшествующих линий терапии. Критериев исключения из исследования нет, учитывая тяжесть патологии. Для подтверждения диагноза РТПХ кишечника во всех случаях выполнялась биопсия слизистой оболочки толстой кишки с последующим гистологическим исследованием. В основную группу включены 19 пациентов, в контрольную – 8 (табл. 1). Все пациенты, которым выполнена алло-ТГСК, находились в ремиссии основного заболевания.
Таблица 1. Клиническая характеристика пациентов | ||
Параметр | Группа ТФМ | Группа плацебо |
Всего пациентов, n (%) | 19 (100) | 8 (100) |
Возраст, лет, медиана (диапазон) | 22,4 (3–49) | 26,7 (1–52) |
Пол, м/ж, n (%) | 10/9 (53/47) | 3/5 (38/62) |
Диагноз, n (%) | ||
Острый лимфобластный лейкоз | 5 (26) | 4 (50) |
Острый миелоидный лейкоз | 5 (26) | 1 (13) |
Миелодиспластический синдром | 3 (16) | 1 (13) |
Неходжкинская лимфома | 1 (5) | 1 (13) |
Лимфома Ходжкина | 1 (5) | 0 (0) |
Множественная миелома | 1 (5) | 0 (0) |
Хронический миелолейкоз | 1 (5) | 1 (13) |
Наследственные заболевания | 2 (10) | 0 (0) |
Режим кондиционирования, n (%) | ||
Флударабин + бусульфан | 11 (58) | 7 (88) |
Флударабин + мелфалан | 4 (21) | 0 (0) |
Флударабин + бендамустин | 3 (16) | 0 (0) |
Флударабин + циклофосфамид | 1 (5) | 1 (13) |
Вид ТГСК, n (%) | ||
Аллогенная неродственная | 11 (58) | 1 (13) |
Аллогенная родственная | 0 (0) | 1 (13) |
Гаплоидентичная | 8 (42) | 6 (74) |
Профилактика РТПХ, n (%) | ||
Циклофосфамид + такролимус + микофенолата мофетил | 11 (58) | 4 (50) |
Циклофосфамид + такролимус + сиролимус | 2 (10) | 3 (37) |
Бендамустин + такролимус + микофенолата мофетил | 3 (15) | 0 (0) |
Циклофосфамид + такролимус + иммуноглобулин антитимоцитарный | 2 (10) | 1 (13) |
Т-деплеция | 1 (5) | 0 (0) |
Терапия РТПХ на момент ТФМ, n (%) | ||
ГКС + руксолитиниб | 6 (32) | 5 (63) |
ГКС + сиролимус | 2 (10) | 0 (0) |
ГКС + руксолитиниб + сиролимус | 9 (47) | 3 (37) |
ГКС + руксолитиниб + этанерцепт + экстракорпоральный фотоферез + мезенхимальные стволовые клетки | 2 (10) | 0 (0) |
РТПХ кишечника, n (%) | ||
Острая | 15 (79) | 8 (100) |
Хроническая (overlap-синдром) | 4 (21) | 0 (0) |
Тяжесть РТПХ кишечника, n (%) | ||
1–2-я степень | 9 (47) | 3 (38) |
3–4-я степень | 10 (53) | 5 (62) |
Примечание. ГКС – глюкокортикостероидные гормоны. | ||
Пациентам основной группы (группа ТФМ) проведена пересадка ФМ человека от здоровых доноров. Пациентам контрольной группы вместо фекального трансплантата (ФТ) во время диагностической гастроскопии вводили 5 мл 0,9% раствора NaCl или больные принимали замороженные капсулы-плацебо с 0,9% раствором NaCl. Антибактериальную профилактику, необходимую по протоколу для иммунокомпрометированных больных, исключали за 3 дня до и во время ТФМ/плацебо. Системную антибактериальную терапию в связи с локальной инфекцией или сепсисом до и на момент ТФМ получали 7 (37%) пациентов, после процедуры – 18 (95%), до и после плацебо – 7 (88%). Пациенты с доказанным вирусным (вирус герпеса 6-го типа и/или вирус Эпштейна–Барр) поражением кишечника в группе ТФМ – 11 (58%) и 8 (100%) в группе плацебо, получали терапию ганцикловиром в дозировке 10 мг/кг в сутки.
Медиана срока после алло-ТГСК до введения ФТ или плацебо составила 110 (37–909) и 56 (34–120) дней соответственно. Длительность диареи до ТФМ и плацебо достигала 44 (7–803) и 23 (13–34) сут соответственно. У 11 (58%) пациентов в основной группе и у 5 (63%) контрольной группы регистрировали кишечное кровотечение со снижением содержания гемоглобина и ежедневными трансфузиями эритроцитсодержащих сред. При сочетании кишечной формы РТПХ с инфекцией, ассоциированной с C. difficile, пациентам основной группы выполняли только ТФМ, пациентам контрольной группы планировали курс ванкомицина в течение 10 дней. Пациенты проходили клинический и лабораторный контроль в следующие дни исследования: до ТФМ/плацебо, Д+3, Д+8, Д+16, Д+30, Д+45, Д+60, Д+75, Д+90, Д+120 после ТФМ/плацебо. За день 0 принимали последний день введения ФТ или плацебо.
Лабораторные исследования
Пациентам выполнялся мониторинг клинического анализа крови, лейкоцитарной формулы, рутинных биохимических исследований крови, маркеров воспаления (прокальцитонин, С-реактивный белок). Количественные и качественные изменения общей бактериальной массы (ОБМ) и бактериального состава микроорганизмов ФМ оценивали методом ПЦР в режиме реального времени с помощью тест-системы «Колонофлор-16» (ООО «Альфалаб», Санкт-Петербург, Россия) согласно инструкции производителя. Токсины А и В C. difficile определяли в иммунохроматографическом тесте (Vedalab, Франция). Наличие вирусов группы герпеса в клетках слизистых оболочек и лейкоцитах крови тестировали методом ПЦР ДНК («Синтол», Россия).
Клиническая оценка
Клиническую оценку пациентов на протяжении всего периода наблюдения до Д+120 проводили по стандартным шкалам: тяжести острой РТПХ и хронической РТПХ (overlap-синдром) [17]; клинического ответа у пациентов с РТПХ на терапию [18]; Бристольская шкала оценки характера стула [19].
Пациенты или их родители вели дневник, где ежедневно оценивали жалобы и выраженность симптомов. Динамику клинических симптомов оценивали согласно шкале общих терминологических критериев неблагоприятных событий CTCAE (Common Terminology Criteria for Adverse Events) Version 5.0 [20]: анорексия (1–5 баллов), тошнота (1–3 балла), кровотечение из нижних отделов желудочно-кишечного тракта – ЖКТ (1–5 баллов). Болевой синдром (боли в животе) оценивали по 10-балльной визуальной аналоговой шкале (ВАШ) [21, 22]. Регистрировали кратность, объем диареи и рвоты в сутки. Характер стула оценивали по Бристольской шкале от 1 до 7 баллов. В дни исследования: до ТФМ/плацебо, Д+3, Д+8, Д+16, Д+30, Д+45, Д+60, Д+75, Д+90, Д+120 использовали среднее значение всех показателей начиная с первого дня после предыдущей точки до исследуемого дня включительно.
Для корректной интерпретации результатов все пациенты после ТФМ поделены на 2 подгруппы – основная группа с полным ответом (ПО) – ТФМ-ПО и с частичным (ЧО) или без ответа (ТФМ-ЧО/НО). За полный клинический ответ принято 2 критерия: полный ответ по РТПХ кишечника (объем стула менее 10 мл/кг в сутки, отсутствие болевого синдрома, пареза кишечника и крови в стуле) и характер стула по Бристольской шкале 4 балла и ниже. За ЧО принимали ПО по РТПХ кишечника и характер стула по Бристольской шкале более 4 баллов. Отсутствие клинического эффекта определяли по отсутствию ПО по кишечной РТПХ (объем стула более 10 мл/кг в сутки).
Регистрация побочных эффектов на ТФМ. Побочные эффекты регистрировали начиная с первого дня ТФМ/плацебо и в течение 8 сут после последнего приема/введения трансплантата/плацебо. Инфекционные осложнения регистрировали до Д+120. Использовалась шкала общих терминологических критериев неблагоприятных событий CTCAE Version 5.0 [20].
Условия проведения исследования
В стационарных условиях ТФМ проведена 14 (74%) пациентам основной группы [из них 9 (64%) в условиях отделения реанимации], и 6 (75%) больным выполнено введение плацебо. Амбулаторно ТФМ получили 5 (26%) пациентов, у 2 (25%) вводили плацебо.
Протокол производства капсул с ФМ (КФМ). Стул донора собирали непосредственно в специализированной лаборатории. При помощи индивидуального блендера стул гомогенизировался с добавлением 10% глицерола и 50% стерильного сахарного сиропа. Материал на льду расфасовывался в твердые желатиновые капсулы Coni-Snap® Size 0 аппаратом ProFiller 1100. Капсулы расфасовывались в индивидуальные стерильные контейнеры с присвоенным им бар-кодом и помещались в морозильную камеру при температуре -80ºС не позднее чем через 1 мин после расфасовки. Общая масса 30 капсул составляла 22 г (курсовая доза на одну ТФМ).
Протокол введения ФТ инструментальными методами. Фиброколоноскопию (ФКС) или фиброгастродуоденоскопию (ФГДС)+ФКС и установку назоинтестинального зонда выполняли в условиях седации (пропофол 2 мг/кг). ФТ вводили через рабочий канал эндоскопа в просвет двенадцатиперстной кишки. При выполнении ФКС трансплантат вводили в слепую кишку. Введение ФТ методом ФГДС+ФКС проведено у 3 (16%) пациентов.
Протокол введения ФТ через назоинтестинальный зонд (НИЗ). НИЗ вводили с помощью гастроскопа по методу Сельдингера или устанавливали зонд под визуальным контролем гастроскопа. Терминальный конец зонда вводили за связку Трейца. Выбор метода введения ФТ зависел от тяжести состояния, возраста и комплаентности пациента. ТФМ и введение плацебо посредством НИЗ проведены у 3 (16%) и 4 (50%) больных соответственно.
Протокол хранения и транспортировки ФТ. Медиана срока хранения замороженного трансплантата (КФМ и нативный трансплантат) при температуре -80ºС составил 19 (2–104) сут. Транспортировка осуществлялась в термоконтейнере с термоиндикатором. Нативный ФТ хранился при температуре 22ºС. Срок хранения нативного ФТ составлял не более 6 ч от момента донации.
Протокол приема КФМ. Утром за 2 ч до приема капсул допускался легкий завтрак. Пациенты принимали желатиновые капсулы с замороженной ФМ, запивая небольшим количеством воды. ТФМ посредством приема капсул проведена у 13 (68%) пациентов основной группы, и капсулы-плацебо получили 4 (50%) больных контрольной группы.
Выбор объема, дозы и кратности вводимого ФТ
Объем вводимого трансплантата зависел от возраста и массы тела пациента. Медиана разовой дозы для введения нативного трансплантата через верхние отделы ЖКТ составила 2,2 (0,8–4,8) мл/кг, в нижние отделы ЖКТ – 5,9 (3,0–9,0) мл/кг. Количество введений нативного ФТ посредством ФГДС+ФКС – 2 (2–3), посредством НИЗ – 3 (2–5). Во всех случаях применения нативного материала трансплантат вводили через день. Курсовая доза ФТ в капсулах составила 0,41 (0,29–1,67) г/кг (30 капсул на курс в независимости от возраста и массы тела пациента). Количество эпизодов приема КФМ варьировало от 2 до 10, медиана – 3,6. Пациенты принимали ежедневно по 10 (3–15) капсул в сутки. Протокол создания нативного ФТ, алгоритм обследования доноров и пациентов представлены нами ранее [12].
Доноры ФМ. Донорами ФМ являлись 9 здоровых добровольцев (мужчины – 4, женщины – 5), подписавшие информированное согласие. Диета доноров без особенностей, так называемая европейская [23]. Донорами проведено 10 донаций кала в условиях лаборатории. В 4 (21%) случаях донацию ФТ осуществляли родственные доноры ГСК (мать – 1, отец – 2, брат – 1). Неродственная ТФМ проведена 15 (79%) пациентам.
Статистическая обработка данных
Все клинические и лабораторные данные, полученные при обследовании пациентов, проанализированы с использованием библиотек статистической обработки информации языка R 3.6.2 в среде Rstudio 1.2.5033. Описательные характеристики включали пропорции, медианы, диапазоны значений. Количественные данные сравнивались методами непараметрической статистики: сравнение 2 групп производилось методом Манна–Уитни–Уилкоксона, 3 групп – методом Краскела–Уоллиса. Анализ времени достижения состояния (ПО/ЧО) осуществлялся методом Каплана–Мейера с применением пакета Survival [24]. Для межгруппового сравнения использован логранговый критерий. События смерти, имевшие место в ходе исследования, являлись конкурирующими рисками для событий ПО/ЧО. Однако в силу их немногочисленности (1 случай в группе ТФМ, 3 случая в группе плацебо), асимптотический тест Грея в данном случае неприменим, и моменты смерти учитывались как точки цензурирования. В силу ограниченного размера группы плацебо выбран порог значимости p=0,1. По результатам анализа оценивались минимальные/максимальные и медианные значения времени ответа. Визуализация производилась средствами пакетов ggplot2 [25] и ggpubr [26].
Результаты
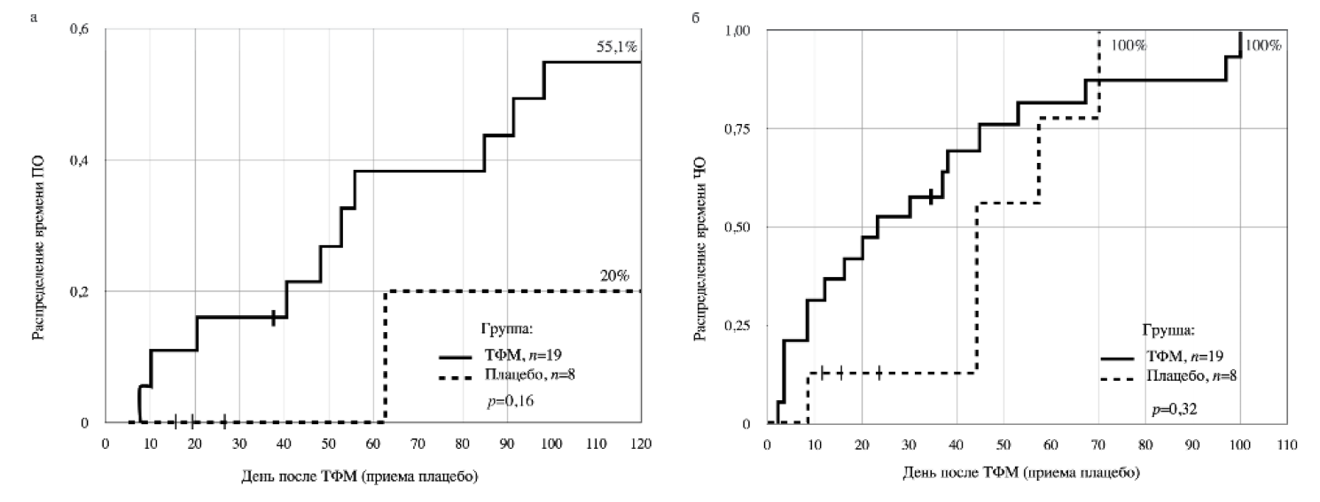
Время наблюдения за пациентами после ТФМ/плацебо составило 495 (34–1356) и 437 (11–587) дней соответственно. В целом по всей группе больных без учета Бристольской шкалы как минимум ЧО на терапию РТПХ через 120 дней достигнут у 23 (85%) больных, в том числе у 18 (95%) и 5 (63%) в группах ТФМ и плацебо соответственно (р=0,0646). ПО получен у 16 (84%) больных после ТФМ и у 5 (63%) больных в группе плацебо (p=0,3191). Без достижения ответа на терапию умерли 1 (5%) и 3 (38%) в группе ТМФ и плацебо соответственно.
Имелась отчетливая тенденция к более быстрому достижению ответа на терапию в группе ТФМ (рис. 1). Медиана времени достижения ЧО и ПО после ТФМ составила 3 (1–45) и 34 (3–90) дня против 9 (2–56) и 75 (6–91) дней в контрольной. В группе ТФМ полный клинический ответ к Д+30 диагностировали у 8 (42%) больных, к Д+60 – у 14 (74%), к Д+90 и Д+120 – у 16 (84%). В группе плацебо к Д+30 ни у одного пациента не диагностирован полный клинический ответ, к Д+60 – только у 1 (13%) больного, Д+90 – у 4 (50%) и Д+120 – у 5 (63%). Стоит отметить, что, несмотря на обнаруженный эффект, численность группы плацебо (8 пациентов) оказалась недостаточной для формальной демонстрации статистической значимости в наблюдаемых различиях для случая ПО (см. рис. 1). При этом для ЧО межгрупповые различия выражены сильнее, и статистическая значимость продемонстрирована (p=0,014).
Рис. 1. Оценка клинического ответа на терапию РТПХ посредством ТФМ.
Примечание. Диаграммы Каплана–Мейера: оценка времени достижения клинического ответа терапии РТПХ после ТФМ (приема плацебо). По оси ординат отложена кумулятивная частота ПО (а) и ЧО (б). Цензурированные пациенты на графиках обозначают моменты выбывания пациентов из исследования по причине смерти.
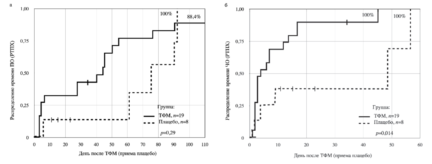
Тенденция к более высокому и быстрому ответу на терапию с включением ТФМ сохранялась и при использовании более жесткого критерия ответа с учетом Бристольской шкалы по оценке качества стула (рис. 2). При оценке клинического ответа на терапию РТПХ с учетом характера стула через 120 дней после ТФМ у 9 (47%) пациентов получен полный клинический ответ с оценкой стула по Бристольской шкале 4 балла и менее и 9 (47%) больных – ЧО с оценкой стула более 4 баллов. В группе плацебо к 120-му дню ПО и ЧО с учетом характера стула зарегистрированы у 1 (13%) и 4 (50%) больных соответственно.
Рис. 2. Оценка клинического ответа на терапию РТПХ после ТФМ с учетом характера стула по Бристольской шкале.
Примечание. Диаграммы Каплана–Мейера: оценка времени достижения клинического ответа терапии РТПХ с учетом характера стула. По оси ординат – кумулятивная частота ПО (а) и ЧО (б) в различные сроки.
В группе ТФМ полный клинический ответ с оценкой стула по Бристольской шкале 4 балла и менее наступил к Д+30 у 2 (11%) больных, к Д+60 – у 6 (32%), Д+90 – у 8 (42%). В контрольной группе полный клинический ответ с оценкой стула по Бристольской шкале 4 балла и менее к Д+30 не наступил ни у одного больного; к Д+60, Д+90, Д+120 ответ получен у 1 (13%) пациента. Медиана времени достижения клинического ответа с учетом характера стула в группе ТФМ также меньше, чем в группе плацебо (см. рис. 2).
У пациентов в группе ТФМ регистрировали лучшую динамику уменьшения клинических симптомов при кишечной форме РТПХ (объем, кратность стула, тошнота, рвота, анорексия, примеси крови в стуле, боли в животе) по сравнению с больными в группе плацебо (рис. 3, а). Для количественного описания данного эффекта построены диаграммы размаха (горизонтальная черта и границы прямоугольника обозначают медиану, 1 и 3-й квартили соответственно), отражающие изменение того или иного показателя к Д+8 по сравнению с Д-0 (рис. 3, б). Для 4 показателей из 8 наблюдаются значимые улучшения, обеспечиваемые ТФМ (по уровню p<0,1).
При сравнении клинического ответа с учетом характера стула группы ТФМ-ПО, ТФМ-ЧО/НО и группы плацебо (рис. 3, в) можно отметить, что динамика изменения объема, кратности, характера стула пациентов в группе ТФМ-ЧО/НО до Д+30 сходна с группой ТФМ-ПО, а далее (Д+45–60) с пациентами из группы плацебо.
Рис. 3. Клинический ответ в группах ТФМ и плацебо (а, б), в группах ТФМ-ПО, ТФМ-ЧО/НО и плацебо (в).
Примечание. На временных диаграммах отмечены средние значения и границы 95% доверительного интервала для среднего, на диаграммах размаха – распределения для абсолютного изменения показателя к Д+8 относительно Д-0. Критерии CTCAE Version 5.0.
Результаты мультиплексной ПЦР микробиоты ФТ
По результатам мультиплексной ПЦР ДНК ФТ (система «Колонофлор-16»), ОБМ и другие показатели родственных и неродственных доноров ФМ сравнимы. Однако родственных доноров отличали высокие показатели условно-патогенных микроорганизмов (УПМ) E. coli enteropathogenic 6¥106 (0/-1¥109) генокопий/г (log10 числа генокопий в образце ФМ) и Enterobacter spp. 1¥108 (1¥106/3¥108) генокопий/г по сравнению с неродственными донорами, у которых эти микроорганизмы отсутствовали или находились в пределах допустимых значений.
Состав и динамика ФМ исследуемых пациентов
При сравнении средних значений микробных показателей ФМ в группах ТФМ и плацебо выявлены значительные различия. Большинство основных показателей ФМ в группе ТФМ выше, чем в группе плацебо: ОБМ, Bifidobacterium spp., E. coli, B. fragilis gr., Faecalibacterium prausnitzii (р<0,00088), (р<0,021), (р<0,049), (р<0,000043) и (р<0,6) соответственно. Динамика изменения ФМ в группах ТФМ и плацебо также существенно отличались: ОБМ (р<0,045), Bifidobacterium spp. (р<0,31), E. coli (р<0,055), B. fragilis gr. (р<0,15), F. prausnitzii (р<0,15).
Еще более значимые различия как по составу, так и по динамике изменения ФМ обнаружены при сравнении пациентов основной группы ТФМ-ПО, ТФМ-ЧО/НО с контрольной группой (рис. 4). Средние значения ОБМ, Bifidobacterium spp., E. coli, B. fragilis gr., F. prausnitzii статистически значимо отличались в исследуемых группах и показатели фиксировались выше в группе ТФМ-ПО: (р<0,0012), (р<0,014), (р<0,068) (р<0,00059), (р<0,00018), (р<0,43) соответственно. Найдены отличия и в динамике изменения ФМ в подгруппах ТФМ-ПО, ТФМ-ЧО/НО и контрольной: ОБМ (р<0,12), Bifidobacterium spp. (р<0,3), E. coli (р<0,0093), B. fragilis gr. (р<0,0034), F. prausnitzii (р<0,081). При этом изменения в бактериальной массе наблюдались у пациентов с клиническим ответом (р=0,0057), а бактериальная масса у пациентов без ПО сопоставима с группой плацебо (р=0,31). В группе плацебо случаи инфекции, ассоциированной с C. difficile, не зарегистрированы. В группе ТФМ выявлено 3 случая клостридиальной инфекции до ТФМ. Клостридиальные токсины А и В отрицательны через 16, 30 и 45 дней после ТФМ.
Рис. 4. Динамика основных групп микроорганизмов в группах ТФМ-ПО, ТФМ-ЧО/НО и плацебо.
Все пациенты перенесли ТФМ без жизнеугрожающих неблагоприятных явлений. Неблагоприятные события, вероятно, связанные с проведенной ТФМ, регистрировали у большинства пациентов в основной группе.
Достаточно проблематично отделить нежелательные явления после ТФМ от клинических проявлений РТПХ ЖКТ, однако частота симптомов со стороны гастроинтестинального тракта и инфекционных осложнений сравнима с группой плацебо (табл. 2). Более того, в группе ТФМ меньше пациентов с парезом кишечника – 6 (32%) против 6 (75%) в группе плацебо (p=0,05). Тошнота и боли в области живота отличались меньшей интенсивностью и продолжительностью также в группе ТФМ (p≤0,05).
Таблица 2. Клинические проявления со стороны ЖКТ и частота инфекционных осложнений после ТФМ и плацебо | |||||||
Симптом/синдром | Группа ТФМ, n (%) | CTCAE | Связь, В/О | Группа плацебо, n (%) | CTCAE | Частота р | Тяжесть р |
Ранние (с 1 сут приема/введения ТФМ до 8 сут после последнего введения ФТ) | |||||||
Тошнота | 18 (95) | 1 (1/3) | В | 6 (75) | 3 (1/3) | 0,862 | 0,029 |
Рвота | 8 (42) | 2 (1/4) | В | 6 (75) | 3 (1/4) | 0,165 | 0,456 |
Боли в животе | 14 (74) | 2 (1/3) | В | 7 (88) | 3 (2/4) | 0,636 | 0,047 |
Недержание кала | 15 (79) | 2 (1/3) | В | 7 (88) | 2 (2/2) | 0,636 | 0,237 |
Запор | 1 (5) | 2 | О | 0 | |||
Парез кишечника | 6 (32) | 3 (2/4) | В | 6 (75) | 3 (2/4) | 0,05 | 0,31 |
Метеоризм | 16 (84) | 2 (1/2) | О | 7 (88) | 2 (1/2) | 0,784 | 0,5 |
Недомогание | 13 (68) | 2 (1/3) | О | 7 (88) | 3 (1/3) | 0,381 | 0,246 |
Анорексия | 18 (95) | 3 (1/4) | В | 6 (75) | 3 (1/4) | 1 | 0,897 |
Фебрильная температура | 9 (47) | 3 (1/3) | В | 5 (63) | 2 (1/2) | 0,5 | 0,093 |
Бактериемия | 1 (5) | В | 1 (13) | ||||
Пневмония | 4 (21) | 3 (2/4) | В | 5 (63) | 4 (2/4) | 0,89 | 0,07 |
Сепсис | 7 (37) | 3 (3/4) | В | 5 (63) | 4 (3/4) | 0,282 | 0,432 |
Поздние (9–120 сут после последнего дня введения ТФМ) | |||||||
Бактериемия | 4 (21) | В | 5 (63) | 0,288 | |||
Пневмония | 9 (47) | 3 (2/4) | В | 3 (38) | 4 (2/4) | 0,089 | 0,174 |
Сепсис | 8 (42) | 3 (3/4) | В | 5 (63) | 4 (3/5) | 0,381 | 0,286 |
Примечание. Связь В/О – связь неблагоприятных событий с ТФМ: В – возможно, О – определенно. Указана медиана степени выраженности симптомов за 1-ю неделю. В скобках указано минимальное и максимальное значение выраженности симптомов. Полужирным шрифтом отмечены статистически значимые отличия р≤0,05 | |||||||
Изменения в биохимических показателях крови у пациентов в обеих группах статистически значимо не различались.
Различия в осложнениях инфекционного генеза (бактериемия, инфекции легких, сепсис) у пациентов после ТФМ и плацебо статистически незначимы. Сепсис в ранний период (до Д+9) – по 1 пациенту в группах после ТФМ и плацебо на Д+5 (Klebsiella pneumoniae) и Д+3 (K. pneumoniae) соответственно. Сепсис с бактериемией с Д+9 до Д+120 регистрировали у 4 (21%) пациентов после ТФМ в дни: Д+12 (Serratia spp.), +12 (Chryseobacterium indologenes), Д+16 (Staphylococcus epidermidis), Д+29 (Pseudomonas spp.). В группе плацебо в те же сроки сепсис отмечали у 4 (50%) больных в дни: Д+9 (Pseudomonas spp.), Д+15 (K. pneumoniae), Д+21 (Acinetobacter spp.), Д+31 (S. epidermidis). Сепсис у 1 пациента в группе ТФМ и у 3 больных в группе плацебо стали причиной смерти. Летальность в основной и контрольной группах составила 5% (1 пациент) и 38% (3 пациента) соответственно. Пациент в группе ТФМ умер на Д+34, сепсис K. pneumoniae диагностирован на Д+5. В контрольной группе причиной смерти значился сепсис на Д+11 (Pseudomonas spp.), Д+15 (K. pneumoniae) и Д+23 (Acinetobacter spp.).
Обсуждение
ТФМ как метод восстановления нормальной микробиоты широко применяется у пациентов с колитами различного генеза, в особенности – с рекуррентными кишечными инфекциями, в частности – ассоцированными с С. difficile [27]. Проведение ТФМ после трансплантации гемопоэтических клеток имеет цель прежде всего восстановления микробиома кишечника, нарушенного при массивной антибиотикотерапии в ранние сроки после ТГСК [28]. Другой задачей авторы считают лечение тяжелых клинических форм острой и хронической кишечной РТПХ, где пока не проводилось больших клинических исследований.
В связи с этим мы провели пилотное исследование безопасности и эффективности ТФМ при стероид-резистентных формах РТПХ.
Как видно из результатов, ПО и частичные клинические ответы у пациентов после ТФМ отмечались раньше и чаще, нежели у больных в группе плацебо. Эти различия, как мы полагаем, напрямую связаны со значительными изменениями в количественном и качественном составе основных групп микроорганизмов ФМ у пациентов в ранние сроки после ТФМ. Наиболее длительные и быстроразвивающиеся изменения после ТФМ сохранялись по показателям: ОБМ, Bifidobacterium spp., E. coli, B. fragilis gr., F. prausnitzii, что позволяет предложить понятие «приживление» микроорганизмов в группе ТФМ-ПО или «неприживление» – в группе ТФМ-ЧО/НО. Это подтверждается рядом работ, показывающих восстановление кишечной микробиоты после ТФМ. Так, первичным результатом ТФМ у пациентов с кишечной патологией считаются увеличение биоразнообразия кишечной микробиоты и приближение ее состава к донорскому, как показывает анализ профиля 16SрРНК с помощью методики глубокого секвенирования нового поколения (NGS) [29]. Мы также недавно показали, что ТФМ от здоровых доноров здоровым реципиентам сопровождается глубокими и долгосрочными изменениями таксономического состава микробиоты, указывающими на колонизацию их кишечника донорскими бактериями [30].
На этом основании мы полагаем, что период наблюдения за эффективностью после ТФМ можно разделить на несколько этапов по срокам после трансплантации, приживлению ФМ и времени наступления клинических эффектов (рис. 5).
Рис. 5. Связь приживления и динамики микробиоты с клиническими ответами*.
*На основании динамики основных групп микроорганизмов: ОБМ, Bifidobacterium spp., B. fragilis gr., F. prausnitzii (см. рис. 4).
I – этап первичных (ранних) клинических эффектов (с Д-0 до Д+30 после ТФМ)
С Д+0 до Д+8 после ТФМ – время первичного (временного, транзиторного) изменения микробиоты и временных клинических эффектов у большинства пациентов после ТФМ. На данном этапе регистрируется большинство побочных явлений. Клинически этап характеризуется изменением аппетита (чаще в сторону улучшения), диспептическими явлениями (возможны тошнота, рвота), изменяется характер стула (чаще в сторону менее оформленного), появляется характерный каловый запах от стула, возможны урчание и спастические боли в животе (неинтенсивные, не требующие применения медикаментов). Субфебрильная, редко фебрильная температура тела после ТФМ возможна даже у здоровых реципиентов ФТ [30].
С Д+8 до Д+30 – приживление микробиоты. Изменения микробиоты в группе ТФМ-ПО носят стабильный характер. Учитывая значительные изменения состава микробиоты у пациентов в основной группе в эти сроки после ТФМ, можно предполагать, что это время «приживления ФТ» – устойчивые изменения качественного и количественного состава основных групп микроорганизмов после ТФМ. Определенные группы микроорганизмов, такие как B. fragilis gr., F. prausnitzii, на наш взгляд, можно использовать как маркеры приживления микробиоты. В группе ТФМ-ЧО/НО после временного увеличения количественных показателей ФМ наблюдалось значительное снижение до уровня контрольной группы, что совпадало с нивелированием положительного клинического ответа. Таким образом, если к Д+30 нет существенного клинического ответа, это означает отсутствие приживления ФМ, и ожидать его в дальнейшем не приходится. Причиной неприживления могут быть антибактериальная терапия до, во время и после ТФМ, которую получали 95% пациентов, и/или отсутствие «совместимого» донора [31]. Возможно, в будущих исследованиях стоит рассматривать вопрос о повторной ТФМ от другого донора, увеличивать дозировку и менять кратность введения ФТ.
II – этап устойчивого клинического ответа (Д+30-Д+120)
Этот этап относится исключительно к группе с полным клиническим ответом. Таким образом, у пациентов из группы ТФМ-ПО зарегистрировано совпадение клинического и микробиологического ответов. Скорее всего, следует ожидать начала изменений со стороны метаболизма, иммунные сдвиги и как следствие – улучшение клинической картины РТПХ с поражением кишечника, а также эффект деколонизации УПМ и инфекции, связанной с C. difficile [32].
III – этап поздних клинических ответов, иммунных и метаболических изменений (>Д+90 – +120)
К Д+90-Д+120 и далее можно предполагать этап ТФМ, который характеризуется дальнейшими иммунными [33, 34] и метаболическими изменениями [35, 36] и поздними клиническими эффектами: устойчивый аппетит, набор массы тела, увеличение индекса массы тела, снижается частота инфекционных эпизодов. Побочные эффекты в 1-ю неделю после ТФМ со стороны ЖКТ по частоте и выраженности сравнимы с группой плацебо. Однако можно отметить, что после ТФМ менее выражены болевой синдром, тошнота, значительно уменьшается частота парезов кишечника. Инфекционные осложнения в ранний и поздний периоды после ТФМ не отличались по частоте, тяжести и исходу от группы плацебо.
Условия проведения ТФМ определялись степенью тяжести пациента. В отделении реанимации и интенсивной терапии ТФМ выполнили 9 пациентам с кишечным кровотечением [37]. Амбулаторно ТФМ получили 5 больных, однако ни у одного из пациентов не зарегистрировано серьезное неблагоприятное событие, потребовавшее назначение терапии или госпитализации. На наш взгляд, при выборе доноров ФТ следует учитывать не столько степень родства донора и реципиента, сколько состав микробиоты и наличие УПМ. Оптимальным решением может быть отказ от использования родственного донора, что совпадает с мнением экспертов Международной консенсусной конференции по организации банка для ТФМ [38].
Стоит отметить, что, несмотря на обнаруженный эффект, численность группы плацебо (8 пациентов) оказалась недостаточной для формальной демонстрации статистической значимости в наблюдаемых различиях для случая ПО. При этом для ЧО межгрупповые различия выражены сильнее, и статистическая значимость продемонстрирована. Следует также обратить внимание, что группы ТФМ и плацебо оказались недостаточно сбалансированы. Так, в группе плацебо имелся больший удельный вес гаплоидентичных алло-ТГСК и отсутствовали больные с хронической РТПХ. В связи с этим в данном небольшом исследовании мы с осторожностью оцениваем клиническую эффективность ТФМ и делаем акцент на переносимости процедуры и доказательной базе позитивной динамики кишечной микрофлоры.
Заключение
Оценка частоты ПО и частичных клинических ответов на ТФМ у пациентов с резистентными формами острой и хронической (overlap-синдром) РТПХ с поражением кишечника после алло-ТГСК выявила позитивную динамику по выраженности общих и кишечных симптомов в ранние сроки после ТФМ по сравнению с пациентами, получавшими плацебо.
Полуколичественную мультиплексную ПЦР состава кишечной микробиоты можно использовать для оценки приживления ФТ, которое регистрировали к Д+30 после ТФМ.
ТФМ от здоровых доноров пациентам с резистентной формой кишечной РТПХ является безопасной процедурой без жизнеугрожающих неблагоприятных явлений.
Выбор для ТФМ неродственного донора имеет ряд преимуществ перед родственным донором фекальной микробиоты.
В дальнейшем необходимы дополнительные исследования для уточнения клинической эффективности ТФМ.
Об авторах
Олег Валерьевич Голощапов
Научно-исследовательский институт детской онкологии, гематологии и трансплантологии им. Р.М. Горбачевой, ФГБОУ ВО «Первый Санкт-Петербургский государственный медицинский университет им. акад. И.П. Павлова» Минздрава России
Автор, ответственный за переписку.
Email: golocht@yandex.ru
ORCID iD: 0000-0002-0736-1269
зав. ОРИТ №3 НИИ ДОГИТ
Россия, Санкт-ПетербургАлексей Борисович Чухловин
Научно-исследовательский институт детской онкологии, гематологии и трансплантологии им. Р.М. Горбачевой, ФГБОУ ВО «Первый Санкт-Петербургский государственный медицинский университет им. акад. И.П. Павлова» Минздрава России
Email: golocht@yandex.ru
ORCID iD: 0000-0001-9703-4378
д.м.н., проф., зав. лаб. трансплантологии НИИ ДОГИТ
Россия, Санкт-ПетербургЕвгений Александрович Бакин
Научно-исследовательский институт детской онкологии, гематологии и трансплантологии им. Р.М. Горбачевой, ФГБОУ ВО «Первый Санкт-Петербургский государственный медицинский университет им. акад. И.П. Павлова» Минздрава России
Email: golocht@yandex.ru
ORCID iD: 0000-0002-5694-4348
к.т.н., ст. науч. сотр. отд. онкологии, гематологии и трансплантологии для подростков и взрослых НИИ ДОГИТ
Россия, Санкт-ПетербургОксана Владимировна Станевич
Научно-исследовательский институт детской онкологии, гематологии и трансплантологии им. Р.М. Горбачевой, ФГБОУ ВО «Первый Санкт-Петербургский государственный медицинский университет им. акад. И.П. Павлова» Минздрава России
Email: golocht@yandex.ru
ORCID iD: 0000-0002-6894-6121
мл. науч. сотр. отд. клинической онкологии, врач-инфекционист НИИ ДОГИТ
Россия, Санкт-ПетербургРуслана Викторовна Клементьева
Научно-исследовательский институт детской онкологии, гематологии и трансплантологии им. Р.М. Горбачевой, ФГБОУ ВО «Первый Санкт-Петербургский государственный медицинский университет им. акад. И.П. Павлова» Минздрава России
Email: golocht@yandex.ru
ORCID iD: 0000-0001-5493-4106
врач анестезиолог-реаниматолог ОРИТ №3 НИИ ДОГИТ
Россия, Санкт-ПетербургАлександр Александрович Щербаков
Научно-исследовательский институт детской онкологии, гематологии и трансплантологии им. Р.М. Горбачевой, ФГБОУ ВО «Первый Санкт-Петербургский государственный медицинский университет им. акад. И.П. Павлова» Минздрава России
Email: golocht@yandex.ru
ORCID iD: 0000-0003-4522-4465
врач анестезиолог-реаниматолог ОРИТ №3 НИИ ДОГИТ
Россия, Санкт-ПетербургАлександр Николаевич Швецов
Научно-исследовательский институт детской онкологии, гематологии и трансплантологии им. Р.М. Горбачевой, ФГБОУ ВО «Первый Санкт-Петербургский государственный медицинский университет им. акад. И.П. Павлова» Минздрава России
Email: golocht@yandex.ru
ORCID iD: 0000-0001-7173-7673
зав. хирургическим блоком НИИ ДОГИТ
Россия, Санкт-ПетербургМария Александровна Суворова
ООО «Эксплана»
Email: golocht@yandex.ru
ORCID iD: 0000-0002-6292-0385
к.б.н., ген. дир. Научно-исследовательской лаб. ООО «Эксплана»
Россия, Санкт-ПетербургСергей Николаевич Бондаренко
Научно-исследовательский институт детской онкологии, гематологии и трансплантологии им. Р.М. Горбачевой, ФГБОУ ВО «Первый Санкт-Петербургский государственный медицинский университет им. акад. И.П. Павлова» Минздрава России
Email: golocht@yandex.ru
ORCID iD: 0000-0002-2446-8092
зам. дир. по лечебной работе НИИ ДОГИТ
Россия, Санкт-ПетербургМаксим Анатольевич Кучер
Научно-исследовательский институт детской онкологии, гематологии и трансплантологии им. Р.М. Горбачевой, ФГБОУ ВО «Первый Санкт-Петербургский государственный медицинский университет им. акад. И.П. Павлова» Минздрава России
Email: golocht@yandex.ru
ORCID iD: 0000-0001-6114-3214
д.м.н., рук. отд. клинического питания, доц. каф. гематологии, трансфузиологии и трансплантологии фак-та последипломного образования НИИ ДОГИТ
Россия, Санкт-ПетербургАлександр Дмитриевич Кулагин
Научно-исследовательский институт детской онкологии, гематологии и трансплантологии им. Р.М. Горбачевой, ФГБОУ ВО «Первый Санкт-Петербургский государственный медицинский университет им. акад. И.П. Павлова» Минздрава России
Email: golocht@yandex.ru
ORCID iD: 0000-0002-9589-4136
д.м.н., проф., и.о. дир. НИИ ДОГИТ
Россия, Санкт-ПетербургЛюдмила Степановна Зубаровская
Научно-исследовательский институт детской онкологии, гематологии и трансплантологии им. Р.М. Горбачевой, ФГБОУ ВО «Первый Санкт-Петербургский государственный медицинский университет им. акад. И.П. Павлова» Минздрава России
Email: golocht@yandex.ru
ORCID iD: 0000-0003-2594-7703
д.м.н., проф., рук. отд. детской онкологии, гематологии и трансплантологии НИИ ДОГИТ
Россия, Санкт-ПетербургИван Сергеевич Моисеев
Научно-исследовательский институт детской онкологии, гематологии и трансплантологии им. Р.М. Горбачевой, ФГБОУ ВО «Первый Санкт-Петербургский государственный медицинский университет им. акад. И.П. Павлова» Минздрава России
Email: golocht@yandex.ru
ORCID iD: 0000-0002-4332-0114
д.м.н., зам. дир. НИИ ДОГИТ
Россия, Санкт-ПетербургСписок литературы
- Walker AW, Duncan SH, Louis P, Flint HJ. Phylogeny, culturing, and metagenomics of the human gut microbiota. Trends Microbiol. 2014;22(5):267-74. doi: 10.1016/j.tim.2014.03.001
- Montemurno E, Cosola C, Dalfino G, et al. What would you like to eat, Mr CKD Microbiota? A Mediterranean Diet, please! Kidney Blood Press Res. 2014;39(2–3):114-23. doi: 10.1159/000355785
- Ткаченко Е.И., Суворов А.Н. Дисбиоз кишечника. Руководство по диагностике и лечению. СПб.: ИнформМед, 2009 [Tkachenko EI, Suvorov AN. Intestinal Dysbiosis. A Handbook of Diagnostics and Treatnment. Saint Petersburg: InformMed, 2009 (In Russ.)].
- Manzanares W, Lemieux M, Langlois PL, Wischmeyer PE. Probiotic and synbiotic therapy in critical illness: a systematic review andmeta-analysis. Crit Care. 2016;20:262. doi: 10.1186/s13054-016-1434-y
- Shi N, Li N, Duan X, Niu H. Interaction between the gut microbiome and mucosal immune system. Mil Med Res. 2017;4:14. doi: 10.1186/s40779-017-0122-9
- Jian C, Luukkonen P, Yki-Järvinen H, et al. Quantitative PCR provides a simple and accessible method for quantitative microbiota profiling. PLoS One. 2020;15(1):e0227285. doi: 10.1371/journal.pone.0227285
- Huttenhower C, Gevers D, Knight R, et al. Structure, function and diversity of the healthy human microbiome. Nature. 2012;486:207-14. doi: 10.1038/nature11234
- Taur Y. Intestinal microbiome changes and stem cell transplantation: Lessons learned. Virulence. 2016;7(8):930-8. doi: 10.1080/21505594.2016.1250982
- Peled JU, Gomes ALC, Devlin SM, et al. Microbiota as predictor of mortality in allogeneic hematopoietic-cell transplantation. N Engl J Med. 2020;382:822-34. doi: 10.1056/NEJMoa1900623
- Eiseman B, Silen W, Bascom GS, Kauvar AJ. Fecal enema as an adjunct in the treatment of pseudomembranous enterocolitis. Surgery. 1958;44(5):854-9.
- Головенко А.О., Головенко О.В., Халиф И.Л. Опыт успешной трансплантации фекальной микробиоты при рецидивирующей инфекции Сlostridium difficile. Экспериментальная и клиническая гастроэнтерология. 2016;136(12):115-20 [Golovenko AO, Goloven- ko OV, Khalif IL. The experience of successful fecal microbiota transplantation in recurrent Clostridium Difficile infection. Exp and Clin Gastroenterol. 2016;136(12):115-20 (In Russ.)].
- Голощапов О.В., Кучер М.А., Суворова М.А. и др. Первый опыт терапии полирезистентных инфекционных осложнений, ассоциированных с Clostridium difficile и Klebsiella pneumoniae, методом трансплантации фекальной микробиоты у пациентов после аллогенной трансплантации гемопоэтических стволовых клеток. Инфекционные болезни. 2017;15(3):65-74 [Goloshchapov OV, Kucher MA, Sovoro- va MA, et al. A first experience of therapy of multi-resistant infectious complications associated with Clostridium difficile and Klebsiella pneumoniae, using a method of fecal microbiota transplantation in patients after allogeneic hemopoietic stem cell transplantation. Infekzionnye Bolezni. 2017;15(3):65-74 (In Russ.)]. doi: 10.20953/1729-9225-2017-3-65-74
- Карпухин О.Ю., Зиганшин М.И., Хасанов Э.Р., Бикбов Б.Ш. Трансплантация фекальной микробиоты: результаты пилотного исследования. Практическая медицина. 2018;6(107):35-9 [Karpukhin OY, Ziganshin MI, Khasanov ER, Bikbov BS. Transplantation of fecal microbiota: results of a pilot study. Practical Medicine. 2018;6(107):35-9 (In Russ.)]. doi: 10.32000/2072-1757-2018-16-8-35-39
- Шрайнер Е.В., Морозов В.В., Хавкин А.И. и др. Опыт проведения трансплантации фекальной микробиоты у пациентки с клостридиальной инфекцией. Экспериментальная и клиническая гастроэнтерология. 2018;12:80-3 [Sсhreiner EV, Morozov VV, Khavkin AI, et al. Experience with fecal microbiota transplantation in a female patient with clostridial infection. Eksperimentalnaya i Klinicheskaya Gastroenterologiya. 2018;12:80-3 (In Russ.)].
- Щербаков П.Л., Белова Н.Д., Генерозов Э.В. и др. Применение фекальной трансплантации в лечении заболеваний пищеварительного тракта (первый клинический опыт). Доктор.Ру. 2019;3(158):40-6 [Shcherbakov PL, Belova ND, Generozov EV, et al. Usage of fecal transplantation for treatment of non-clostridial antibiotic-associated colitis (a clinical experience). Doktor.ru. 2013;3(158):40-6 (In Russ.)]. doi: 10.31550/1727-2378-2019-158-3-40-46
- Захаренко А.А., Шлык И.В., Суворов А.Н. и др. Применение фекальной трансплантации при лечении неклостридиального антибиотик-ассоциированного колита (клинический случай). Колопроктология. 2017;2:75-9 [Zakharenko AA, Shlyk IV, Suvorov AN, et al. Application of fecal transplantation in the treatment of no-clostridia antibiotic-associated colitis (clinical case). Koloproktologiya. 2017;2:75-9 (In Russ.)].
- Glucksberg H, Storb R, Fefer A, et al. Clinical manifestations of graft-versus-host disease in human recipients of marrow from HL-A-matched sibling donors. Transplantation. 1974;18(4):295-304. doi: 10.1097/00007890-197410000-00001
- Martin PJ, Bachier CR, Klingemann H-G, et al. Endpoints for clinical trials testing treatment of acute graft-versus-host disease: a consensus document. Biol Blood Marrow Transplant. 2009;15(7):777. doi: 10.1016/j.bbmt.2009.03.012
- Lewis SJ, Heaton KW. Stool form scale as a useful guide to intestinal transit time. Scand J Gastroenterol. 1997;32(9):920-4. doi: 10.3109/00365529709011203
- Common Terminology Criteria for Adverse Events (CTCAE) Version 5.0. https://ctep.cancer.gov/protocolDevelopment/electronic_applications/docs/CTCAE_v5_Quick_Reference_8.5x11.pdf
- WHO guidelines on the pharmacological treatment of persisting pain in children with medical illnesses Geneva: World Health Organization; 2012. PMID: 23720867.
- WHO Guidelines for the Pharmacological and Radiotherapeutic Management of Cancer Pain in Adults and Adolescents. Geneva: World Health Organization; 2018. https://www.who.int/ncds/management/palliative-care/cancer-pain-guidelines/en/
- Trichopoulou A, Martínez-González MA, Tong TY, et al. Definitions and potential health benefits of the Mediterranean diet: views from experts around the world. BMC Med. 2014;12(112). doi: 10.1186/1741-7015-12-112
- Therneau T. 2015. A package for survival analysis in S_. version 2.38. https://CRAN.R-project.org/package=survival
- Wickham H. ggplot2: Elegant Graphics for Data Analysis. 2016. Springer-Verlag New York.
- Kassambara A. 2019. ggpubr: ‘ggplot2’ Based Publication Ready Plots. R package version 0.2.4. https://CRAN.R-project.org/package=ggpubr
- Cammarota G, Ianiro G, Tilg H, et al. European consensus conference on faecal microbiota transplantation in clinical practice. Gut. 2017;66(4):569-80. doi: 10.1136/gutjnl-2016-313017
- Shono Y, van den Brink MRM. Gut microbiota injury in allogeneic haematopoietic stem cell transplantation. Nat Rev Cancer. 2018;18(5):283-95. doi: 10.1038/nrc.2018.10
- Seekatz AM, Aas J, Gessert CE, et al. Recovery of the gut microbiome following fecal microbiota transplantation. mBio. 2014;5(3):e00893-14. doi: 10.1128/mBio.00893-14
- Goloshchapov OV, Olekhnovich EI, Sidorenko SV, et al. Long-term impact of fecal transplantation in healthy volunteers. BMC Microbiol. 2019;19(312). doi: 10.1186/s12866-019-1689-y
- Smillie CS, Sauk J, Gevers D, et al. Strain tracking reveals the determinants of bacterial engraftment in the human gut following fecal microbiota transplantation. Cell Host Microbe. 2018 Feb 14;23(2):229-40. doi: 10.1016/j.chom.2018.01.003
- Britton RA, Young VB. Role of the intestinal microbiota in resistance to colonization by Clostridium difficile. Gastroenterology. 2014;146(6):1547-53. doi: 10.1053/j.gastro.2014.01.059
- Furusawa Y, Obata Y, Fukuda S, et al. Commensal microbe-derived butyrate induces the differentiation of colonic regulatory T cells. Nature. 2013;504:446-50. doi: 10.1038/nature12721
- Round JL Mazmanian SK. Inducible Foxp3+ regulatory T-cell development by a commensal bacterium of the intestinal microbiota. Proc Natl Acad Sci USA. 2010;107:12204-9. doi: 10.1073/pnas.0909122107
- Floch MH. Intestinal microbiota metabolism of a prebiotic to treat hepatic encephalopathy. Clin Gastroenterol Hepatol. 2015;13:209. doi: 10.1016/j.cgh.2014.06.008
- Trompette A, Gollwitzer ES, Yadava K, et al. Gut microbiota metabolism of dietary fiber influences allergic airway disease and hematopoiesis. Nat Med. 2014;20(2):159-66. doi: 10.1038/nm.3444
- Голощапов О.В., Чуракина Д.В., Кучер М.А. и др. Трансплантация фекальной микробиоты при критическом состоянии пациентов в онкогематологической практике. Вестн. анестезиологии и реаниматологии. 2019;16(3):63-73 [Goloshchapov OV, Churakina DV, Kucher MА, et al. Fecal microbiota transplantation in critical condition patients in hematological practice. Messenger of Anesthesiology and Resuscitation. 2019;16(3):63-73 (In Russ.)]. doi: 10:21292/2078-5658-2019-16-3-63-73
- Cammarota G, Ianiro G, Kelly CR, et al. International consensus conference on stool banking for faecal microbiota transplantation in clinical practice. Gut. 2019;68:2111-21. doi: 10.1136/gutjnl-2019-319548
Дополнительные файлы








