Low serum Klotho level as a predictor of calcification of the heart and blood vessels in patients with CKD stages 2–5D
- Authors: Milovanova L.Y.1, Lysenko (Kozlovskaya) L.V.1, Milovanova S.Y.1, Taranova M.V.1, Kozlov V.V.1, Reshetnikov V.A.1, Lebedeva M.V.1, Androsova T.V.1, Zubacheva D.O.1, Chebotareva N.V.1
-
Affiliations:
- Sechenov First Moscow State Medical University (Sechenov University)
- Issue: Vol 92, No 6 (2020)
- Pages: 37-45
- Section: Original articles
- Submitted: 08.07.2020
- Published: 09.07.2020
- URL: https://ter-arkhiv.ru/0040-3660/article/view/34981
- DOI: https://doi.org/10.26442/00403660.2020.06.000670
- ID: 34981
Cite item
Full Text
Abstract
Cardiovascular calcification (CVC) makes a significant contribution to the manifestation of cardiovascular complications in patients with chronic kidney disease. Early CVC markers are currently being actively studied to optimize cardio-renoprotective strategies. We performed a prospective comparative analysis of the following factors: FGF-23, a-Klotho, sclecrostin, phosphate, parathyroid hormone, the estimated glomerular filtration rate (eGFR), central systolic pressure as an independent determinant of CVC.
Materials and methods. The study included 131 patients with chronic kidney disease 2–5D st. Serum levels of FGF-23, Klotho, and sclerostin were evaluated using the ELISA method. Vascular augmentation (stiffness) indices, central arterial pressure (using the SphygmoCor device), calcification of heart valves and the degree of aortic calcification (aortic radiography) were also investigated. The observation period was 2 years.
Results. According to the Spearman correlation analysis, the percent of calcification increase and the change in Klotho level are most related. According to ROC analysis, a decrease in serum levels of Klotho by 50 units or more is a significant predictor of an increase in aortic calcification of 50% or more with a sensitivity of 86% and a specificity of 77%. Using logistic regression analysis, it was found that a serum Klotho level <632 pg/L predicts an eGFR below a median level of 48 ml/min/1.73 m2 with a sensitivity of 85.5% and a specificity of 78.5%. Wherein OR 17.477 (CI 95% 8.046–37.962; p<0.001).
Conclusion. The factor most associated with CVC is Klotho. Decreased serum level of Klotho is a predictor of aortic calcification. In addition, the initial serum level of Klotho is a predictor of eGFR after 2 years.
Full Text
Введение
Известно, что пациенты с хронической болезнью почек (ХБП) имеют высокую частоту сердечно-сосудистых осложнений (ССО) и смертности и в большей степени умирают не от уремии, а от сердечно-сосудистых событий [1–3]. Традиционные факторы риска кардиоваскулярных заболеваний, такие как артериальная гипертензия (АГ), дислипидемия, сахарный диабет, достаточно характерны для популяции больных ХБП. Однако в последние годы показано, что другие кардиоваскулярные факторы риска, специфичные для уремии, могут вносить вклад в увеличение сердечно-сосудистого риска при ХБП [3–5]. Эти факторы включают среди других изменение уровня морфогенетических белков (фактор роста фибробластов 23 – FGF-23, Klotho) и гликопротеина склеростина, которые участвуют в поддержании костно-минерального гомеостаза.
FGF-23 – хорошо известный гормон, продуцируемый остеоцитами, который регулирует гомеостаз фосфора и метаболизм витамина D. Повышение в плазме концентрации FGF-23 в течение ХБП компенсирует неспособность почек экскретировать адекватное количество фосфата и, соответственно, является ранним адаптивным механизмом при ХБП [6–9]. Однако на более поздних стадиях ХБП существенно повышенный уровень FGF-23 становится независимо ассоциированным с развитием гипертрофии левого желудочка, эндотелиальной дисфункции и повышенной кардиоваскулярной смертностью [10, 11] и может рассматриваться как новый ранний фактор прогрессирования ССО. Повышение продукции FGF-23 тесно связано с дефицитом Klotho [6, 12, 13]. Мембраносвязанная форма Klotho экспрессируется в почечных канальцах и функционирует как обязательный корецептор для FGF-23, т.е. оказывается вовлечен в регулируемую FGF-23 фосфатурию. Секреторная форма Klotho присутствует в крови, моче и цереброваскулярной жидкости и имеет множественные системные биологические эффекты, включая регуляцию продукции оксида азота эндотелием [6, 16] и эндотелиальной интеграции и проницаемости [17], а также снижение межклеточного сигнала инсулина и инсулиноподобного фактора роста 1, который отвечает за продолжительность жизни у млекопитающих [14]. Klotho, как продемонстрировано, улучшает васкулярную эндотелиальную дисфункцию и замедляет сосудистую кальцификацию. Напротив, низкий уровень Klotho ассоциирован с увеличением ССО [6, 12] и смертности [6, 18].
Склеростин секретируется остеоцитами и может вносить вклад в кардиоваскулярную кальцификацию (КВК) у пациентов с ХБП. Недавние сообщения позволяют предполагать, что высокий уровень склеростина способен отражать сниженный костный метаболизм и может быть полезным как маркер низкообменной костной болезни на продвинутых стадиях ХБП [19]. Как антагонист Wnt/β-катенин-сигнального пути, который вовлечен в биологию сосудов, склеростин может быть вовлечен в сосудистую кальцификацию [20]. Кроме того, сообщалось, что склеростин может быть ассоциирован с клиническими исходами, однако результаты противоречивы [20, 21].
Поскольку Klotho, FGF-23 и склеростин тесно биологически связаны, трудно описать клинические исходы, касающиеся только одного фактора, поскольку исследования, оценивавшие все три фактора вместе в параллели, в литературе отсутствуют. Мы провели сравнительное проспективное многофакторное исследование для оценки прогностической роли системы новых биомаркеров, таких как растворимая форма Klotho, FGF-23 и склеростин, а также нескольких традиционных факторов, таких как расчетная скорость клубочковой фильтрации (рСКФ), фосфат, паратиреоидный гормон (ПТГ), а также центральное артериальное давление (АД) как независимых детерминант прогрессии КВК в когорте больных ХБП.
Материалы и методы
Дизайн исследования. Проведено одноцентровое проспективное ROC- и многофакторное исследование. Пациенты отобраны из амбулаторного отделения клиники нефрологии ФГАОУ ВО «Первый МГМУ им. И.М. Сеченова» (Сеченовский Университет) с февраля по август 2016 г. Протокол исследования одобрен этическим комитетом университета (протокол от 15.09.2016, №09-16). Все пациенты подписывали информированное согласие на участие в исследовании, которое выполнено в соответствии с Хельсинкской декларацией. Период наблюдения составил 2 года.
Характеристика пациентов. Взрослые пациенты отбирались для участия в исследовании, если они имели ХБП 2–5D стадий согласно клиническим рекомендациям KDIGO 2012 г. Критерии исключения: сахарный диабет, системное аутоиммунное заболевание, возраст менее 18 и более 65 лет, тяжелая сердечная недостаточность (III–IV класс NYHA), тяжелая рефрактерная стабильная стенокардия (III–IV класс) или острый коронарный синдром, инфекции, беременность, онкология, АГ>180/100 мм рт. ст., индекс массы тела (ИМТ)<19 или ИМТ>30 кг/м2, протеинурия более 1 г/сут, история трансплантации почки, иммуносупрессивная терапия.
Кроме того, в качестве контроля взяты здоровые субъекты с нормальной функцией почек, без альбуминурии или известных кардиоваскулярных заболеваний. Демографические характеристики, анамнез, настоящее лечение и образцы крови собраны для всех субъектов на момент начала и конца исследования.
Биохимические оценки. Пробы крови взяты утром как минимум после 8-часового перерыва в еде и центрифугировались в течение 15 мин при 3000 об/мин. Полученная сыворотка замораживалась при температуре -80ºС. Сывороточный уровень Klotho (IBL-Takara 27998-96Well), FGF-23 (Merck Millipore MILLENZFGF-23-32K) и склеростин (Biomedica, Vienna, BI-20492) измерены на момент начала и конца исследования с использованием ELISA-метода в сертифицированной лаборатории при ФГАОУ ВО «Первый МГМУ им. И.М. Сеченова» согласно протоколу производителя; рСКФ рассчитана с помощью уравнения CKD-EPI [22].
Сердечно-сосудистая визуализация. Индексы жесткости (аугментации – ИА) сосудов, скорость пульсовой волны и центральное (аортальное) давление оценены с помощью прибора SphygmoCor 2000 (AtCor Medical, Australia).
АГ диагностировалась, если центральное систолическое АД (ЦсАД)>130 мм рт. ст., а центральное диастолическое давление – более чем 90 мм рт. ст. [23]. Кардиальная кальцификация (клапаны, баллы) и индекс массы миокарда левого желудочка (ИММЛЖ) измерены с помощью би-деменсионной эхокардиографии. Кардиальная кальцификация оценена с помощью полуколичественной балльной шкалы оценки [22, 24]. Гипертрофия левого желудочка диагностировалась, если ИММЛЖ более чем 95 г/м2 у женщин и более чем 115 г/м2 у мужчин [25]. Всем пациентам также выполнялась рентгенография абдоминальной аорты для оценки аортальной кальцификации (от 1 до 24 баллов по методу Kauppila) [22, 24].
Статистический анализ. Характеристики пациентов оценивали по методам стандартной описательной статистики [медианам и межквартильным интервалам, средним значениям ± стандартное отклонение и частотам n (%)]. Логистический регрессионный анализ использован для многофакторного анализа. Многофакторный анализ: за переменную исхода принят процент кальцификации аорты, в качестве изучаемых переменных взяты: средние ∆ FGF-23, ∆ α-Klotho, ∆ склеростин, ∆ рСКФ, ∆ фосфор, ∆ ПТГ в сыворотке и ∆ ЦсАД. Для выявления и оценки силы связи между двумя количественными переменными использовали коэффициент ранговой корреляции Спирмена. ROC-анализ применяли для оценки прогностических характеристик регрессионных моделей. Отношение шансов (ОШ) и 95% доверительный интервал (ДИ) рассчитаны для однофакторного и многофакторного анализов. Различия считали статистически значимыми при двустороннем p-значении менее 0,05. Статистический анализ провели с помощью программы SPSS версии 21.0 (Чикаго, Иллинойс, США).
Результаты
Пациенты. Скринированы 540 человек с недиабетической, неаутоиммунной ХБП 2–5D стадий. Из них 131 пациент [65 мужчин и 66 женщин, средний возраст 41,1 (20,3–65,2) года] включен в исследование. Основные причины ХБП – хронический гломерулонефрит, тубулоинтерстициальный нефрит, поликистозная болезнь почек. Базовые демографические и клинические характеристики пациентов согласно стадии ХБП представлены в табл. 1. Не выявлено существенных различий между группами (по стадиям ХБП) по возрасту, полу, ИМТ, диастолическому АД, уровню протеинурии пропорциями этиологических причин ХБП. В то же время мы выявили статистически значимое повышение ЦсАД, частоту кардиоваскулярной сочетанной патологии, так же как повышение сывороточного уровня фосфора, ПТГ, СОЭ, щелочной фосфатазы, по мере увеличения стадии ХБП.
Таблица 1. Распределение больных по стадиям ХБП (рСКФ)* | |||||
Показатели | рСКФ>60 (n=33) | рСКФ 45–60 (n=26) | рСКФ 30–44 (n=21) | рСКФ<30 (n=51) | p (для тренда) |
Возраст, лет | 41,1 (18,5–64,7) | 43,92 (19,2–65,1) | 40,67 (18,0–63,8) | 41,71 (21,1–62,9) | 0,293 |
Женский пол, n (%) | 17 (51,5) | 14 (53,8) | 10 (47,6) | 24 (47,1) | 0,072 |
рСКФ, мл/мин/1,73 м2 | 79,6 (62,0–105,5) | 51,5 (46,0–57,0) | 38,0 (32,0–43,5) | 17,0 (7,0–24,0) | <0,001 |
Систолическое АД, мм рт. ст. | 121,0 (109,5–143,0) | 137,0 (119,5–145,8) | 143,0 (121,5–150,0) | 146,0 (125,0–149,8) | <0,001 |
Диастолическое АД, мм рт. ст. | 79,0 (72,5–81,0) | 81,5 (74,0–94,0) | 85,0 (75,0–97,0) | 84,4 (76,0–95,0) | 0,069 |
ЦсАД, мм рт. ст. | 95,9 (90,5–135,5) | 121,2 (105,6–137,8) | 133,4 (130,1–145,0) | 137,3 (120,5–144,5) | <0,001 |
ИМТ, кг/м2 | 25,62 (19,3–30,5) | 26,95 (19,0–29,9) | 26,53 (18,5–30,1) | 24,96 (18,5–28,9) | 0,017 |
Коморбидность, n (%) | |||||
АГ (центральное АД>130/90 мм рт. ст.) | 8 (24,2) | 17 (65,4) | 21 (100) | 48 (94,1) | <0,001 |
Ишемическая болезнь сердца (I–II класс CCS) | 0 (0) | 3 (11,5) | 8 (38,0) | 13 (25,5) | <0,001 |
Сердечная недостаточность (I–II NYHA) | 0 (0) | 3 (11,5) | 3 (12,7) | 9 (17,1) | <0,001 |
Лечение, n (%) | |||||
Антигипертензивные препараты | 8 (24,2) | 17 (65,4) | 21 (100) | 48 (94,1) | <0,001 |
Фосфатбиндеры | 0 (0) | 0 (0) | 2 (9,5) | 45 (88,2) | <0,001 |
Аналоги витамина D | 0 (0) | 2 (7,7) | 8 (37,3) | 43 (74,5) | <0,001 |
Лабораторные показатели | |||||
Фосфор сывороточный, ммоль/л | 1,21 (1,14–1,35) | 1,18 (1,09–1,27) | 1,29 (1,10–1,41) | 1,62 (1,29–1,87) | <0,001 |
Кальций общий, ммоль/л | 2,27±0,12 | 2,32±0,14 | 2,27±0,19 | 2,26±0,22 | 0,296 |
ПТГ, пг/мл | 45,0 (26,0–58,0) | 53,0 (45,6–82,4) | 59,0 (28,5–96,6) | 220,0 (110,0–690,0) | <0,001 |
Альбумин, г/л | 40,48±3,30 | 39,07±3,69 | 39,43±2,84 | 37,96± 4,38 | 0,038 |
Гемоглобин, г/л | 131,3 (120–140) | 125,7 (118–141) | 120,5 (110–132) | 120,0 (94–126) | <0,01 |
Триглицериды, ммоль/л | 1,0 (0,6–1,37) | 1,15 (0,7–2,00) | 1,80 (1,10–2,35) | 1,2 (0,9–2,59) | 0,089 |
СОЭ, мм/ч | 10 (5–17) | 12 (9–21) | 23 (11–35) | 39 (15–46) | <0,001 |
FGF-23, пг/мл | 12,4 (7,6–16,9) | 360,7 (323,4–514,3) | 506,4 (424,7–788,5) | 1494 (570–12243) | <0,001 |
α-Klotho, пг/мл | 990,3 (718,4–1490) | 637,8 (489,4–657,6) | 393,6 (375,3–530,4) | 201,9 (85,5–470,3) | <0,001 |
Склеростин, пмоль/л | 4,1 (0–11,2) | 20,4 (6,2–33,8) | 46,5 (26,2–68,7) | 97,4 (49,3–213,7) | <0,001 |
Щелочная фосфатаза, Ед/л | 67,0 (45,5–70,0) | 78,0 (56,0–141,8) | 112,0 (72,0–181,0) | 125,0 (80,0–198,0) | <0,001 |
*Здесь и далее в табл. 2: результаты представлены как медианы (межквартильный интервал), среднее ± стандартное отклонение или частоты n (%), n=131. | |||||
Кроме того, выявлено увеличение степени КВК начиная с ИА (жесткости) сосудов и заканчивая кальцификацией клапанов сердца и аорты, так же как и увеличение ИММЛЖ по мере увеличения стадии ХБП (табл. 2).
Таблица 2. ИА, аортальная и кардиальная кальцификация; ИММЛЖ в зависимости от стадии ХБП | |||||
Показатели | рСКФ>60 (n=33) | рСКФ 45–60 (n=26) | рСКФ 30–44 (n=21) | рСКФ<30 (n=51) | p (для тренда) |
ИА | 8,0 (2,5–14,5) | 19,0 (16,0–25,00) | 26,0 (18,0–30,0) | 29,0 (15,0–38,0) | <0,001 |
Аортальная кальцификация, баллы, n (%) | |||||
0 | 33 (100,0) | 18 (69,2) | 7 (33,3) | 6 (11,8) | <0,001 |
1–2 | 0 (0) | 4 (15,4) | 7 (33,3) | 28 (54,9) | |
3–7 | 0 (0) | 2 (7,7) | 4 (19,0) | 10 (19,6) | |
>7 | 0 (0) | 2 (7,7) | 3 (14,3) | 7 (13,7) | |
n (%) | 0 (0) | 8 (30,8) | 14 (66,7) | 45 (88,2) | <0,001 |
Кардиальная (клапаны) кальцификация, баллы, n (%) | |||||
0 | 32 (97,0) | 13 (50,0) | 7 (33,3) | 7 (13,2) | <0,001 |
0,5–1 | 1 (3,0) | 11 (42,3) | 10 (47,6) | 24 (47,1) | |
>1,5 | 0 (0) | 2 (7,7) | 4 (19,0) | 20 (39,2) | |
n (%) | 1 (3,0) | 13 (50,0) | 14 (66,7) | 29 (86,3) | <0,001 |
ИММЛЖ, г/м2 | 103,5±14,7 | 112,0±19,1 | 120,5±18,4 | 129,0±21,3 | <0,001 |
Контрольная группа. 30 субъектов без ХБП включены в исследование для оценки взаимоотношений между Klotho, FGF-23, склеростином у пациентов без ХБП. Эти субъекты сопоставимы с группой пациентов ХБП по возрасту и полу. Им проводилась эхокардиография и сфигмография. Основные демографические и клинические характеристики контрольной группы пациентов представлены в табл. 3 (дополнительные данные).
Таблица 3. Основные базовые параметры контрольной группы. Результаты представлены как медианы (межквартильный интервал), среднее ± стандартное отклонение или частоты n (%), n=30 | |
Параметры | Контрольная группа |
Возраст, лет | 40,8 (20,5–65,7) |
Женский пол, n (%) | 16 (53,3) |
СКФ, мл/мин | 86,0 (63,1–120,3) |
Среднее ЦсАД, мм рт. ст. | 91,0 (85,0–110,5) |
ИА, % | 8,4 (2,9–13,5) |
ИММЛЖ, кг/м2 | 99,5±11,3 |
ИМТ, кг/м2 | 26,5 (24,3–30,8) |
Гемоглобин, г/л | 126 (119–145) |
СОЭ, мм/ч | 7 (2–14) |
Триглицериды, ммоль/л | 0,9 (0,6–1,21) |
FGF-23, пг/мл | 9,7 (0,0–11,2) |
α-Klotho, пг/мл | 1000,1 (772,7–1510,0) |
Склеростин, пмоль/л | 3,7 (0–9,6) |
Мы также проанализировали изменение ключевых детерминант за период наблюдения 2 года (табл. 4).
Таблица 4. Описательная статистика тестируемых показателей в динамике (n=131) | |||
Показатели | Минимум | Максимум | Ме (Q25; Q75) |
Фосфор, ∆ | -1,28 | 1,50 | 0,10 (0,08; 0,24) |
ПТГ, ∆ | -637,00 | 553,00 | -19,25 (15,50; 88,50) |
рСКФ, ∆ | -18,00 | 37,00 | -7,88 (-3,50; 0,00) |
Склеростин, ∆ | -73,00 | 134,00 | 0,00 (1,00; 17,50) |
Ln (натуральный логарифм) FGF-23, ∆ | -6,64 | 2,95 | -1,62 (-0,4821; 4441) |
Klotho, ∆ | -253,00 | 365,00 | -99,25 (-47,00; 9,75) |
ЦсАД, ∆ | -70,0 | 30,0 | -25,0 (-15,0;1,25) |
ИА, ∆ | -6,00 | 6,00 | 1,00 (0,00; 2,00) |
Кальцификация сердца, ∆ | -1,50 | 4,00 | 0,00 (0,50; 1,00) |
Кальцификация аорты, ∆ | -11,00 | 5,00 | 1,00 (0,00; 2,00) |
Далее мы посчитали процент от исходных зависимых переменных (прирост кальцификации) для каждой модели кальцификации (ИА, кальциноз сердца, кальциноз аорты). Наиболее показательными по кальцификации оказались 2 модели: кальцификация сердца и аорты, для которых выбрано пороговое значение 50%, поскольку медианы прироста для кальциноза миокарда и аорты составили 50,0 (0,0; 100,0)%, а для ИА – 6,25 (0,0; 13,22)%.
Таким образом, значимым приростом кальцификации за период наблюдения 2 года принято считать 50% (табл. 5).
Таблица 5. Прирост кальцификации (процент изменения) для каждой модели кальцификации (ИА, кальциноз сердца, кальциноз аорты) за период наблюдения | |||||
Показатели | Минимум | Максимум | Процентили | ||
25-й | 50-й (медиана) | 75-й | |||
Процент изменения ИА | -20,69 | 100,00 | 0,00 | 6,25 | 13,22 |
Процент изменения аортальной кальцификации | -100,00 | 400,00 | 9,38 | 50,00 | 100,00 |
Процент изменения кардиальной (клапаны) кальцификации | -60,00 | 500,00 | 0,00 | 50,00 | 100,00 |
Далее нами исследована зависимость между изменением факторов и приростом кальцификации (процент прироста кальцификации и ∆); табл. 6.
Таблица 6. Зависимость между изменением факторов и приростом кальцификации (процент прироста кальцификации и ∆), корреляционный анализ | ||||||||
Факторы | Klotho, ∆ | Фосфор, ∆ | ПТГ, ∆ | рСКФ, ∆ | Склеростин, ∆ | Ln FGF-23, ∆ | ЦсАД, ∆ | |
Изменение ИА, % | r | -0,830 | 0,227 | 0,360 | -0,412 | 0,473 | 0,448 | 0,369 |
p | 0,000 | 0,026 | 0,000 | 0,000 | 0,000 | 0,000 | 0,000 | |
ИА, ∆ | r | -0,861 | 0,189 | 0,355 | -0,405 | 0,485 | 0,423 | 0,325 |
p | 0,000 | 0,066 | 0,000 | 0,000 | 0,000 | 0,000 | 0,001 | |
Изменение кардиальной (клапаны) кальцификации, % | r | -0,244 | -0,113 | 0,150 | -0,149 | 0,152 | 0,028 | 0,052 |
p | 0,068 | 0,404 | 0,264 | 0,268 | 0,258 | 0,842 | 0,702 | |
Кардиальная кальцификация, ∆ | r | -0,152 | -0,035 | 0,098 | -0,056 | 0,097 | -0,036 | 0,075 |
p | 0,140 | 0,733 | 0,342 | 0,586 | 0,354 | 0,738 | 0,469 | |
Изменение кальцификации аорты, % | r | -0,601 | 0,046 | 0,203 | -0,258 | 0,469 | 0,506 | 0,317 |
p | 0,000 | 0,725 | 0,113 | 0,043 | 0,000 | 0,000 | 0,012 | |
Аортальная кальцификация, ∆ | r | -0,547 | -0,014 | 0,298 | -0,238 | 0,371 | 0,257 | 0,271 |
p | 0,000 | 0,894 | 0,003 | 0,019 | 0,000 | 0,014 | 0,008 | |
По данным корреляционного анализа по Спирмену в наибольшей степени связаны прирост кальциноза (∆ ИА, процент изменения ИА и ∆ кальциноза аорты, процент кальциноза аорты) и изменение уровня Klotho (∆) в сыворотке крови (см. табл. 6). В несколько меньшей степени с кальцинозом связаны склеростин и FGF-23.
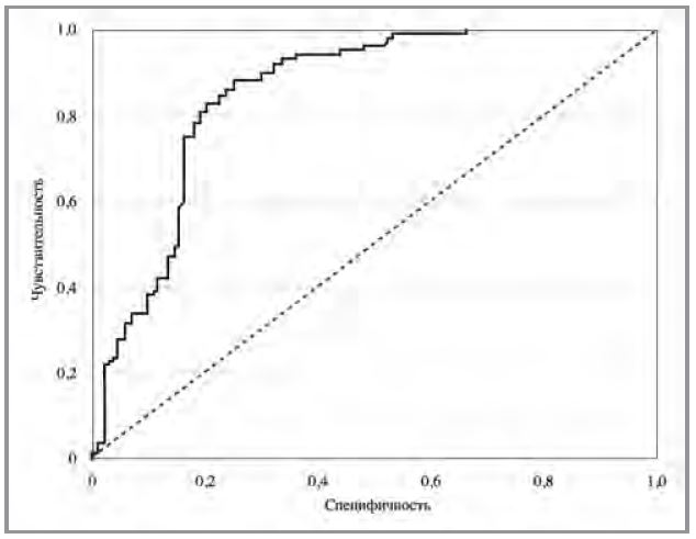
По данным ROC-анализа снижение уровня Klotho в динамике на 50 ЕД и более является значимым предиктором увеличения кальциноза аорты на 50% с чувствительностью 86% и специфичностью 77% (рис. 1).
Рис. 1. ROC-анализ прогностического значения уровня Klotho в отношении аортальной кальцификации: AUC 0,724 (95% ДИ 0,686–0,772; р=0,001).
Эти данные подтверждаются и результатами многофакторного анализа (логистическая регрессия). Фактором, наиболее ассоциированным с кальцинозом аорты, по данным многофакторного анализа, является Klotho (табл. 7).
Таблица 7. Многофакторный анализ (логистическая регрессия) тестируемых показателей | |||||||
Регуляторные белки | B | Стандартная ошибка | χ2 | р | ОШ | 95% ДИ для ОШ | |
нижняя | верхняя | ||||||
Klotho, ∆ | -0,014 | 0,004 | 10,281 | 0,001 | 0,986 | 0,977 | 0,995 |
Фосфор, ∆ | -0,725 | 0,803 | 0,816 | 0,366 | 0,484 | 0,100 | 2,335 |
ПТГ, ∆ | -0,002 | 0,002 | 1,998 | 0,158 | 0,998 | 0,994 | 1,001 |
рСКФ, ∆ | 0,172 | 0,053 | 10,427 | 0,065 | 1,187 | 1,070 | 1,318 |
Склеростин, ∆ | 0,027 | 0,015 | 3,147 | 0,076 | 1,028 | 0,997 | 1,059 |
Ln FGF-23, ∆ | 0,195 | 0,218 | 0,802 | 0,370 | 1,215 | 0,793 | 1,861 |
ЦсАД, ∆ | 0,002 | 0,016 | 0,025 | 0,874 | 1,002 | 0,972 | 1,033 |
Учитывая полученные результаты многофакторного анализа, мы оценили, как меняется скорость клубочковой фильтрации (СКФ) в зависимости от исходного уровня Klotho.
Для этого мы предварительно определили медиану СКФ для разделения общей группы пациентов на подгруппы выше и ниже медианы как меры центральной тенденции присутствия нормального распределения. Медиана СКФ составила 48,0 (21;0 88,0) мл/мин.
Согласно логистическому регрессионному анализу исходный уровень Klotho является предиктором уровня СКФ в динамике с чувствительностью 79,8% и специфичностью 80,7%. При этом в логистической регрессии ОШ 0,992 (ДИ 95% 0,990–0,995; p<0,001), что отражает достаточно высокое качество прогностической модели (рис. 2).
Рис. 2. Согласно логистическому регрессионному анализу исходный уровень Klotho является предиктором уровня рСКФ в динамике.
Площадь под кривой – AUC 0,850±0,031 (ДИ 95% 0,790–0,911; р<0,001), что соответствует высокому качеству прогностической модели.
Учитывая, что исходный уровень Klotho имел нормальное распределение в исследуемой группе, за исходно сниженный уровень Klotho принят уровень 632 пг/л, который соответствовал разности среднего арифметического Klotho (864,3) и двух стандартных отклонений (116,3) пг/л.
При помощи логистического регрессионного анализа установлено, что уровень Klotho <632 пг/л будет предсказывать СКФ ниже медианного значения 48 мл/мин с чувствительностью 85,5% и специфичностью 78,5%. При этом ОШ 17,477 (ДИ 95% 8,046–37,962; p<0,001); рис. 3. По данным ROC-анализа показатель AUC соответствует 0,804±0,035 (ДИ 95% 0,734–0,873; р<0,001), что говорит о высоком уровне предсказания прогностической модели.
Рис. 3. ROC-анализ прогностического значения уровня Klotho в отношении рСКФ.
Обсуждение
Прогрессивное ухудшение функции почек при ХБП ассоциировано с различными расстройствами, которые подобны тем, что происходят в общей популяции при старении [2, 4]. Однако при ХБП они развиваются значительно более быстро, особенно в сердечно-сосудистой системе [2, 4, 7, 13, 14].
Предшествующие экспериментальные и эпидемиологические исследования рассматривали гиперфосфатемию, гиперпаратиреоидизм и дефицит витамина D как кардиоваскулярные факторы риска у пациентов с ХБП [26, 27]. Однако в интервенционных исследованиях применение фосфатбиндеров, цинакальцета или активных форм витамина D не оказывало достаточного постоянного положительного эффекта на снижение кардиоваскулярных событий [28–30].
Накопленные в последние годы доказательства позволяют предполагать, что FGF-23, Klotho и склеростин (ключевые регуляторы минерального метаболизма) могут определять кардиоваскулярную и почечную дисфункцию у пациентов с ХБП [7, 10–13, 21]. Однако каждый из этих маркеров анализировался преимущественно изолированно или в комбинации с некоторыми традиционными факторами риска ХБП. В то же время параллельное рассмотрение этих факторов могло существенно изменить картину, поскольку их совместный эффект на развитие кальцификации мог измениться в результате их взаимодействия. В нашей работе мы попытались изучить совместные эффекты этих новых факторов, так же как и традиционных маркеров, на параметры жесткости/кальцификации сердца и сосудов у пациентов c ХБП 2–5-й стадий.
По данным корреляционного анализа по Спирмену в наибольшей степени связаны прирост кальциноза (∆ ИА, процент изменения ИА и ∆ кальциноза аорты, процент кальциноза аорты) и изменение уровня Klotho (∆) в сыворотке крови. В несколько меньшей степени с кальцинозом связаны склеростин и FGF-23. По данным ROC-анализа снижение уровня Klotho в динамике на 50 ЕД и более являлось значимым предиктором увеличения кальциноза аорты на 50% и более. По нашим данным, согласно логистическому регрессионному анализу только исходный уровень Klotho является предиктором уровня СКФ в динамике (ОШ 0,992, 95% ДИ 0,990–0,995; p<0,001). Таким образом, сывороточный уровень Klotho оказался сильнее других изучаемых факторов, в том числе рСКФ, FGF-23 и склеростина, по влиянию на кальцификацию сердца и сосудов.
Центральная роль Klotho в механизмах, лежащих в основе кальцификации, может быть понятна в свете последних экспериментальных и клинических данных [6, 12–14]. Продемонстрировано, что почки являются основным органом, продуцирующим Klotho, и, соответственно, ХБП – это состояние дефицита Klotho, который ведет к развитию множественных системных проявлений, т.е. синдрому преждевременного старения и кардиоваскулярным осложнениям как важной его составляющей [14, 12]. Установлено как минимум 5 возможных механизмов антикальцификационного эффекта Klotho:
1) действие как фосфатурического гормона (как корецептор для FGF-23) [15];
3) прямой эффект на сосудистые гладкомышечные клетки, предупреждая активный захват ими фосфата, который может быть индуцирован, как полагают, избытком FGF-23 [31];
4) способность ингибировать Wnt-сигнальный путь [32];
5) супрессия индуцированной фактором некроза опухоли (ФНО)-β экспрессии внутриклеточных молекул адгезии 1, смягчением активации NF-κB и предупреждением ингибиции eNOS фосфорилирования с помощью ФНО-α [33], что позволяет предполагать, что белок Klotho является сильным протектором сосудистого эндотелия, действуя через ингибицию эндотелиального воспаления [33, 34]. Снижение сывороточного уровня Klotho уменьшает эти протективные эффекты.
Подобно Klotho взаимоотношения между уровнем FGF-23 и кардиоваскулярными исходами у пациентов с ХБП в настоящее время активно изучаются. Имеются доказательства, что повышенный FGF-23 при ХБП индуцирует активный захват гладкомышечными клетками сосудов фосфата [31], не напрямую влияя на сосудистую систему и индуцируя хроническое воспаление и оксидативный стресс в поврежденных сосудах [34, 35]. В 2012 г. J. Munoz Mendoza и соавт. [34] выявили, что высокий уровень FGF-23 ассоциирован с интерлейкином-6, C-реактивным белком и ФНО-α у предиализных пациентов с ХБП. Один год спустя обнаружено, что FGF-23 строго коррелировал с C-реактивным белком у пациентов на гемодиализе [35]. С другой стороны, избыточная продукция FGF-23 индуцируется фосфором и снижением уровня Klotho при ХБП [6]. Таким образом, можно предположить, что патологический путь, вовлекающий FGF-23, Klotho, фосфор, может определять хроническое воспаление, оксидативный стресс, эндотелиальную дисфункцию и сосудистую кальцификацию [6, 7, 34, 35]. Однако следует уточнить, что, согласно нашим данным, ассоциация FGF-23 с кальцификацией сердца и сосудов выражена в меньшей степени, чем у Klotho. В то же время есть причина полагать, что FGF-23 преимущественно индуцирует развитие гипертрофии кардиомиоцитов и сердечную недостаточность и в меньшей степени поражает сосуды [10, 36].
Меньше всего ясности все еще о роли склеростина в процессе кальцификации при ХБП [21, 37, 38]. Результаты корреляционного анализа, полученные в данной работе, согласуются с данными других авторов, которые демонстрируют протективный эффект склеростина на кальцификацию при ХБП [21, 37, 38]. Накопившиеся данные последних лет свидетельствуют о том, что сверхэкспрессия ингибиторов Wnt-сигнального пути в кальцифицируемых сосудах (кальцификация аорты) может быть протективной для сосудов [21]. В то же время недавние экспериментальные модели на животных (крысы) также демонстрируют, что сверхэкспрессия секретируемых Frizzled-связанных белков (другая группа ингибиторов Wnt-пути) отмечалась на поздних, но не на ранних стадиях сосудистой кальцификации [39]. Наш анализ демонстрирует, что повышенный уровень склеростина в циркуляции у пациентов с ХБП независимо ассоциирован с более низким риском сосудистой кальцификации, однако его эффект существенно менее выражен, чем эффект Klotho, и манифистировал на более поздних стадиях ХБП. Наши данные позволяют допустить предположение, что склеростин играет роль протективного фактора, который направлен на предупреждение патологических эффектов, связанных со снижением Klotho и повышением FGF-23 уровней и позволяет в течение некоторого времени поддерживать компенсаторный баланс в системе FGF-23/Klotho/склеростин при прогрессировании ХБП.
Заключение
Согласно нашим данным, несмотря на тот факт, что все три изучаемых фактора начинают изменяться уже с ранних стадий ХБП, наиболее выраженный эффект, связанный с КВК, выявлен для Klotho.
Результаты нашего исследования демонстрируют, что изучаемые регуляторные белки (FGF-23, Klotho, склеростин) могут быть рассмотрены как дискретная система факторов, влияющих на сердечно-сосудистый риск, где Klotho играет более раннюю и важную роль.
Высокий риск ССО у пациентов с ХБП определяется в результате совместного эффекта всех этих факторов, которые последовательно связаны с развитием ХБП и сочетаются с традиционными факторами риска ХБП. Следует отметить, что эти факторы, особенно Klotho, которые первоначально вызваны ХБП, быстро становятся независимыми от нее и приводят к существенной активации прогрессирования ССО и уремии у пациентов с ХБП.
About the authors
Ludmila Yu. Milovanova
Sechenov First Moscow State Medical University (Sechenov University)
Author for correspondence.
Email: Ludm.milovanova@gmail.com
ORCID iD: 0000-0002-5599-0350
д.м.н., проф. каф. внутренних, профессиональных болезней и ревматологии
Russian Federation, MoscowLidia V. Lysenko (Kozlovskaya)
Sechenov First Moscow State Medical University (Sechenov University)
Email: Ludm.milovanova@gmail.com
ORCID iD: 0000-0002-1166-7308
д.м.н., проф. каф. внутренних, профессиональных болезней и ревматологии
Russian Federation, MoscowSvetlana Yu. Milovanova
Sechenov First Moscow State Medical University (Sechenov University)
Email: Ludm.milovanova@gmail.com
ORCID iD: 0000-0002-2687-6161
д.м.н., проф. каф. внутренних, профессиональных болезней и ревматологии.
Russian Federation, MoscowMarina V. Taranova
Sechenov First Moscow State Medical University (Sechenov University)
Email: Ludm.milovanova@gmail.com
ORCID iD: 0000-0002-7363-6195
к.м.н., доц. каф. внутренних, профессиональных болезней и ревматологии
Russian Federation, MoscowVasiliy V. Kozlov
Sechenov First Moscow State Medical University (Sechenov University)
Email: Ludm.milovanova@gmail.com
ORCID iD: 0000-0002-2389-3820
доц. каф. общественного здоровья и организации здравоохранения
Russian Federation, MoscowVladimir A. Reshetnikov
Sechenov First Moscow State Medical University (Sechenov University)
Email: Ludm.milovanova@gmail.com
ORCID iD: 0000-0002-2987-7995
д.м.н., проф. каф. общественного здоровья и организации здравоохранения
Russian Federation, MoscowMarina V. Lebedeva
Sechenov First Moscow State Medical University (Sechenov University)
Email: Ludm.milovanova@gmail.com
ORCID iD: 0000-0002-5923-1837
к.м.н., доц. каф. внутренних, профессиональных болезней и ревматологии
Russian Federation, MoscowTatyana V. Androsova
Sechenov First Moscow State Medical University (Sechenov University)
Email: Ludm.milovanova@gmail.com
ORCID iD: 0000-0002-9951-126X
к.м.н., доц. каф. внутренних, профессиональных болезней и ревматологии
Russian Federation, MoscowDaria O. Zubacheva
Sechenov First Moscow State Medical University (Sechenov University)
Email: Ludm.milovanova@gmail.com
ORCID iD: 0000-0001-8020-7041
ординатор 1-го года обучения каф. внутренних, профессиональных болезней и ревматологии
Russian Federation, MoscowNatalia V. Chebotareva
Sechenov First Moscow State Medical University (Sechenov University)
Email: Ludm.milovanova@gmail.com
ORCID iD: 0000-0003-2128-8560
д.м.н., проф. каф. внутренних, профессиональных болезней и ревматологии
Russian Federation, MoscowReferences
- Couser WG, Remuzzi G, Mendis S, et al. The contribution of chronic kidney disease to the global burden of major noncommunicable diseases. Kidney Int. 2011;80(12):1258-70. doi: 10.1038/ki.2011.368. Epub 2011 Oct 12.
- Go AS, Chertow GM, Fan D, et al. Chronic kidney disease and the risks of death, cardiovascular events, and hospitalization. N Engl J Med. 2004;351:1296-305. doi: 10.1056/NEJMoa041031
- Kumar S, Bogle R, Banerjee D. Why do young people with chronic kidney disease die early? World J Nephrol. 2014;3(4):143-55. doi: 10.5527/wjn.v3.i4.143
- Garland JS, Holden RM, Groome PA, et al. Prevalence and associations of coronary artery calcification in patients with stages 3 to 5 CKD without cardiovascular disease. Am J Kidney Dis. 2008;52(5):849-58. doi: 10.1053/j.ajkd.2008.04.012. Epub 2008 Jun 17.
- Memmos E, Sarafidis P, Pateinakis P, et al. Soluble Klotho is associated with mortality and cardiovascular events in hemodialysis. BMC Nephrol. 2019;20:217. doi: 10.1186/s12882-019
- Lu X, Hu MC. Klotho/FGF23 Axis in Chronic Kidney Disease and Cardiovascular Disease. Kidney Dis. 2016;17:1-9.
- Milovanova LY, Fomin VV, Lysenko (Kozlovskaya) LV, et al. Disorders in the system of mineral and bone metabolism regulators – FGF-23, Klotho and Sclerostin – in chronic kidney disease: clinical significance and possibilities for correction. In Rath T, editor. Chronic Kidney Disease. From Pathophysiology to Clinical Improvements. London: IntechOpen Limited; 2018; p. 43-60. doi: 10.5772/intechopen.69298
- Isakova T, Wahl P, Vargas GS, et al. Fibroblast growth factor 23 is elevated before parathyroid hormone and phosphate in chronic kidney disease. Kidney Int. 2011;79:1370-8. doi: 10.1038/ki.2011.47. Epub 2011 Mar 9
- Milovanova L, Kozlovskaya L, Markina M, et al. Morphogenetic proteins – fibroblast growth factor-23 (FGF-23) and Klotho in serum of patients with chronic kidney disease, as the markers of cardiovascular risk. Clin Med. 2016;12:34-40.
- Gutiérrez OM, Januzzi JL, Isakova T, et al. Fibroblast growth factor-23 and left ventricular hypertrophy in chronic kidney disease. Circulation. 2009;119(19):2545-52. doi: 10.1161/CIRCULATIONAHA.108.844506
- Sharaf UA, Din El, Salem MM, Abdulazim DO. Is Fibroblast growth factor 23 the leading cause of increased mortality among chronic kidney disease patients? A narrative review. J Adv Res. 2017;8(3):271-8. doi: 10.1016/j.jare.2017.02.003
- Donate-Correa J, Martín-Núñez E, Mora-Fernández C, et al. Klotho in cardiovascular disease: Current and future perspectives. World J Biol Chem. 2015;6(4):351-7. doi: 10.4331/wjbc.v6.i4.351
- Милованова Л.Ю., Мухин Н.А., Козловская Л.В. и др. Снижение сывороточного уровня морфогенетического белка Klotho у больных хронической болезнью почек: клиническое значение. Вестн. РАМН. 2016;71:288-96 [Milovanova LY, Mukhin NA, Kozlovskaya LV, et al. Decreased serum levels of klotho protein in chronic kidney disease patients: Clinical importance. Vestn. Ross. Akad. Meditsinskikh Nauk. 2016;71:288-96 (In Russ.)]. doi: 10.15690/vramn581
- Kuro-o M, Matsumura Y, Aizawa H, et al. Mutation of the mouse klotho gene leads to a syndrome resembling ageing. Nature. 1997;390:45-51. doi: 10.1038/36285
- Urakawa I, Yamazaki Y, Shimada T, et al. Klotho converts canonical FGF receptor into a specific receptor for FGF23. Nature. 2006;444:770-4. doi: 10.1038/nature05315
- Saito Y, Yamagishi T, Nakamura T, et al. Klotho protein protects against endothelial dysfunction. Biochem Biophys Res Commun. 1998;248:324-9. doi: 10.1006/bbrc.1998.8943
- Kusaba T, Okigaki M, Matui A, et al. Klotho is associated with VEGF receptor-2 and the transient receptor potential canonical-1 Ca2+ channel to maintain endothelial integrity. Proc Natl Acad Sci USA. 2010;107:19308-13. doi: 10.1073/pnas.1008544107
- Semba RD, Cappola AR, Sun K, et al. Plasma klotho and mortality risk in older community-dwelling adults. J Gerontol A Biol Sci Med Sci. 2011;66:794-800. doi: 10.1093/gerona/glr058
- Cejka D, Herberth J, Branscum AJ, et al. Sclerostin and Dickkopf-1 in renal osteodystrophy. Clin J Am Soc Nephrol. 2011;6:877-82. doi: 10.2215/CJN.06550810
- Bruzzese A, Lacquaniti A, Cernaro V, et al. Sclerostin levels in uremic patients: a link between bone and vascular disease. J Renal Failure. 2016;38(5):123-9. doi: 10.3109/0886022X.2016.1160207
- Kanbay M, Solak Y, Siriopol D, et al. A. Sclerostin, cardiovascular disease and mortality: a systematic review and meta-analysis. Int Urol Nephrol. 2016;48(12):2029-42. doi: 10.1007/s11255-016-1387-8
- KDIGO 2012 clinical practice guideline for the evaluation and management of chronic kidney disease. Kidney Int. 2013;3 (Suppl. 1). http://www.kdigo.org/clinical_practice_guidelines/pdf/CKD/KDIGO_2012_CKD_GL.pdf
- Cheng H-M, Chuang S-Y, Sung S-H, et al. Derivation and validation of diagnostic thresholds for central blood pressure measurements based on long-term cardiovascular risks. J Am Coll Cardiol. 2013;92(19):1780-87. doi: 10.1016/j.jacc.2013.06.029
- Ermolenko VM, Volgina GV, Dobronravov VA, et al. National recommendations on mineral and bone disorders in chronic kidney disease. Russian Dialysis Society (May 2010). Nephrologia I Dialis. 2011;13(1):33-51.
- Mancia G, Fagard R, et al. The Task Force for the management of arterial hypertension of the European Society of Hypertension (ESH) and of the European Society of Cardiology (ESC). Eur Heart J. 2013;34:2159-219. doi: 10.1097/01.hjh.0000431740.32696.cc
- Heine GH, Nangaku M, Fliser D. Calcium and phosphate impact cardiovascular risk. Eur Heart J. 2013;34:1112-21. doi: 10.1093/eurheartj/ehs353
- Milovanova L, Milovanov Y, Plotnikova A. Phosphorus and calcium metabolism disorders associated with chronic kidney disease stage III-IV (Systematic Review and Meta-Analysis). In Sahay M, editor. Chronic Kidney Disease and Renal Transplantation. London: IntechOpen Limited; 2012; p. 95-118. doi: 10.5772/25689
- Chertow GM, Block GA, Correa-Rotter R, et al. EVOLVE Trial Investigators: Effect of cinacalcet on cardiovascular disease in patients undergoing dialysis. N Engl J Med. 2012;367:2482-94. doi: 10.1056/NEJMoa1205624
- Block GA, Wheeler DC, Persky MS, et al Effects of Phosphate Binders in Moderate CKD. J Am Soc Nephrol. 2012;23(8):1407-15. doi: 10.1681/ASN.2012030223
- Thadhani R, Appelbaum E, Pritchett Y, et al. Vitamin D therapy and cardiac structure and function in patients with chronic kidney disease: the PRIMO randomized controlled trial. JAMA. 2012;307(7):674-84. doi: 10.1001/jama.2012.120
- Jimbo R, Kawakami-Mori F, Mu S, et al. Fibroblast growth factor 23 accelerates phosphate-induced vascular calcification in the absence of Klotho deficiency. Kidney Int. 2014;85(5):1103-11. doi: 10.1038/ki.2013.332
- Zhou L, Li Y, Zhou D, et al. Loss of Klotho contributes to kidney injury by derepression of Wnt/β-catenin signaling. J Am Soc Nephrol. 2013;24:771-85. doi: 10.1681/ASN.2012080865
- Maekawa Y, Ishikawa K, Yasuda O, et al. Klotho suppresses TNF-alpha-induced expression of adhesion molecules in the endothelium and attenuates NF-kappaB activation. Endocrine. 2009;35:341-6. doi: 10.1007/s12020-009-9181-3
- Munoz Mendoza J, Isakova T, Ricardo AC, et al. Fibroblast growth factor 23 and Inflammation in CKD. Clin J Am Soc Nephrol. 2012;7(7):1155-62. doi: 10.2215/CJN.13281211
- NasrAllah MM, El-Shehaby AR, Osman NA, et al. The Association between Fibroblast growth factor-23 and vascular calcification is mitigated by inflammation markers. Nephron Extra. 2013;3(1):106-12.
- Milovanova LY, Kozlovskaya LV, Milovanova SY, et al. Associations of fibroblast growth factor 23, soluble Klotho, troponin i in CKD patients. Int Res J. 2016;9(51):65-9.
- Claes KJ, Viaene L, Heye S, et al. Sclerostin: Another vascular calcification inhibitor? J Clin Endocrinol Metab. 2013;98(8):3221-8. doi: 10.1210/jc.2013-1521
- Register TC, Hruska KA, Divers J, et al. Sclerostin is positively associated with bone mineral density in men and women and negatively associated with carotid calcified atherosclerotic plaque in men from the African American-Diabetes Heart Study. J Clin Endocrinol Metab. 2014;99(1):315-21. doi: 10.1210/jc.2013-3168
- Monroe DG, McGee-Lawrence ME, Oursler MJ, et al. Update on Wnt signaling in bone cell biology and bone disease. Gene. 2012;492(1):1-18. doi: 10.1016/j.gene.2011.10.044
Supplementary files



