The efficacy and safety of intra-articular application of a combination of sodium hyaluronate and chondroitin sulfate for osteoarthritis of the knee: a multicenter prospective study
- Authors: Alekseeva L.I.1, Kashevarova N.G.1, Taskina E.A.1, Sharapova E.P.1, Anikin S.G.1, Strebkova E.A.1, Raskina T.A.2, Zonova E.V.3, Otteva E.N.4, Rodionova S.S.5, Torgashin A.N.5, Buklemishev U.V.5, Shmidt E.I.6, Shesternya P.A.7, Naumov A.V.8, Zagorodniy N.V.5, Lila A.M.1
 - 
							Affiliations: 
							
- Nasonova Research Institute of Rheumatology
 - Kemerovo State Medical University
 - Novosibirsk State Medical University
 - Institute of Advanced Training for Health Professionals
 - Priorov National Medical Research Center for Traumatology and Orthopedics
 - Pirogov Municipal Clinical Hospital №1
 - Voyino-Yasenetsky Krasnoyarsk State Medical University
 - Pirogov Russian National Research Medical University
 
 - Issue: Vol 92, No 5 (2020)
 - Pages: 46-54
 - Section: Original articles
 - Submitted: 04.06.2020
 - Published: 05.06.2020
 - URL: https://ter-arkhiv.ru/0040-3660/article/view/34585
 - DOI: https://doi.org/10.26442/00403660.2020.05.000631
 - ID: 34585
 
Cite item
Full Text
Abstract
in 3 mL on patients with knee osteoarthritis (OA) in a multicenter prospective study.
Materials and methods. 79 outpatients (predominantly females – 81.0%) from 5 RF constituent territories with primary tibiofemoral Kellgren–Lawrence score grade II or III knee OA, ≤40 mm pain intensity during walking on visual analogue scale (VAS), requiring NSAIDs intake (for at least 30 days during 3 months prior to enrollment) were included into the study after signing the informed consent form. Mean age was 60.3±8.7 years, mean BMI – 29.2±4.7 kg/m2, disease duration – 6 (3–10) years. Grade II OA was documented in 68.4% of patients, Grade III – in 31.6%. The study lasted for 6 months. Efficacy and safety evaluations were made based on VAS pain assessment, Western Ontario and McMaster Universities Osteoarthritis Index (WOMAC) – [WOMAC pain (0–500), WOMAC function (0–1700), WOMAC stiffness (0–200)], VAS patients’ health status, EQ-5D-based assessment of patients’ quality of life, global physician’s and patient’s efficacy assessment, and daily NSAIDs requirements.
Results. Obtained results demonstrate statistically significant VAS pain reduction during walking already in 1 week after intra-articular injection of the combination [respectively, 62 (55–72) and 41 (32–51) mm, р<0.0001]. Moreover, pain continued to subside during all 3 months of follow up [in 1 month – 28 (20–42), in 3 month – 22 (14–37) mm]. A significant pan reduction achieved at Mo 3 persisted until Mo 6 – 20 (14–42) mm, without documented pain increase. Similar trends were observed with total WOMAC score [1125 (899–1540) – at baseline, and 552 (309–837) mm – by the end of the study, p<0.0001], and all WOMAC sub-scores [268 (189–312) – baseline WOMAC pain, 91 (48–171) mm – by the end of the study p<0.0001; stiffness – 101 (59–130) and 40 (20–61) mm, p<0.0001; function – 802 (647–1095) and 402 (191–638) mm, p<0.0001, respectively]. Median time to the onset of therapeutic effect was 7 (5–18) days. Statistically significant improvement of patients’ quality of life by EQ-5D and general health status was observed during all follow up period [respectively, 0.52 (-0.02–0.59) and 0.69 (0.59–0.80), р<0.0001; 48 (30–60) and 72 (60–80) mm, р<0.0001]. One injection of the drug resulted in dose reduction or discontinuation of NSAIDs therapy: at baseline 76 patients (96.2%) were taking NSAIDs, in one week 31 (39.2%) patients discontinued NSAIDs, in 1 month – 72.2%, in 3 months – 73.4%, and by the end of the study at Mo 6 – 54.4% were not taking NSAIDs. These data were consistent with physician’s and patient’s global assessment of the efficacy of treatment, who stated “significant improvement” and “improvement” in the majority of cases, with only few “no effect” or “worsening” cases documented in analyzed population. Adverse events, such as worsening of pain and/or swelling of the joint, were documented in 8 patients (10.1%); they resolved spontaneously or following NSAIDs intake.
Conclusion. These results suggest that intra-articular injections of hyaluronic acid plus chondroitin sulfate in patients with knee OA are efficient and safe. A single injection of the drug resulted in statistically significant reduction of pain and stiffness, reduction in NSAIDs intake, as well as improvement in patients’ quality of life and function.
Full Text
ВАШ – визуальная аналоговая шкала
ГАГ – гликозаминогликан
ГиК – гиалуроновая кислота
НПВП – нестероидные противовоспалительные препараты
НЯ – нежелательное явление
ОА – остеоартрит
ОАКС – ОА коленного сустава
УЗИ – ультразвуковое исследование
ФН – функциональная недостаточность
ХС – хондроитин сульфат
ITT-популяция (intention-to-treat) – пациенты, подлежащие лечению
PP-популяция (per protocol) – пациенты, завершившие лечение в соответствии с протоколом
WOMAC – Western Ontario and McMaster Universities Osteoarthritis Index
Введение
Остеоартрит (ОА) является серьезным заболеванием, поражающим большую часть населения в возрасте от 40 лет и старше. За последние несколько десятилетий ОА коленного и тазобедренного суставов занял 11-е место по значимости в структуре глобальной инвалидизации населения [1]. Согласно современным представлениям ОА рассматривается как органное поражение, т.е. является заболеванием целого сустава, при котором в патологический процесс вовлекаются все его компоненты: хрящ, субхондральная кость, синовиальная оболочка, связки, капсула, мышцы [2]. Лечение этого распространенного заболевания является важной медицинской задачей. Терапия ОА основана на комплексном воздействии фармакологических и нефармакологических методов лечения. К одному из основных медикаментозных методов ОА коленного сустава (ОАКС) относятся внутрисуставные инъекции гиалуроновой кислоты (ГиК), которые широко и успешно используются в реальной клинической практике [3].
Введение ГиК приводит к уменьшению боли, скованности и увеличению функциональной способности суставов и как результат – улучшению качества жизни. Одно из преимуществ локального введения данных препаратов заключается в низком риске системных нежелательных явлений (НЯ), в связи с чем эта терапия считается безопасной в применении, особенно у пациентов с наличием сопутствующей патологии. Европейская антиревматическая лига (EULAR), Европейское общество по изучению клинических и экономических аспектов ОА и остеопороза (ESCEO), а также Ассоциация ревматологов России рекомендуют использование препаратов ГиК в качестве одного из основных методов лечения ОАКС.
В ряде исследований продемонстрировано, что внутрисуставные инъекции ГиК столь же эффективны, как и нестероидные противовоспалительные препараты (НПВП), но с меньшим количеством системных НЯ, поэтому данная терапия может быть хорошей альтернативой, например, у пожилых больных или у пациентов с высоким риском НПВП-осложнений [4, 5]. ГиК имеет преимущество и перед внутрисуставным введением глюкокортикоидов, обладающих более быстрым действием на боль, но, по данным метаанализа, проведенного R. Bannuru и соавт., к 4-й неделе оба препарата имеют одинаковую эффективность, а уже после 8-й недели наблюдения ГиК обладают большим терапевтическим эффектом [6, 7] и, конечно, менее частыми НЯ в отличие от гормональных препаратов.
ГиК представляет собой несульфатированный природный гликозаминогликан (ГАГ) с различными физико-химическими свойствами, состоящий из попеременно повторяющихся звеньев D-глюкуроновой кислоты и D-N-ацетилглюкозамина, соединенных гликозидными связями. ГиК естественным образом присутствует в различных тканях животных, включая петушиные гребни (самое большое содержание ГиК), кожу акулы, глазные яблоки и носовой хрящ быка, мозг и сердце кролика, а также в различных тканях человека, включая пуповину, синовиальную жидкость, стекловидное тело, дерму, эпидермис, мочу и сыворотку. Однако самое высокое количество ГиК в организме человека обнаруживается в экстрацеллюлярном матриксе соединительной ткани [8].
При внутрисуставном введении экзогенная ГиК способна компенсировать уменьшение концентрации эндогенной ГиК, которое наблюдается во время развития ОА, восстанавливая, таким образом, упругие и вязкие свойства синовиальной жидкости. В современной научной литературе отражены эффективность, польза ГиК при лечении ОАКС, данные по механизмам действия этих препаратов. Так, в метаанализе 134 статей, проведенном R. Altman и соавт., не только представлены данные по эффективности, но и освещены некоторые основные механизмы действия ГиК: хондропротективный (снижение апоптоза хондроцитов, увеличение пролиферации хондроцитов); синтез протеогликанов/ГАГ; анальгетический; противовоспалительный (уменьшение активности интерлейкина-1β и др.); уменьшение воздействия неблагоприятных факторов на субхондральную кость (подавление экспрессии матриксной металлопротеиназы-13 и интерлейкина-6); и механический («смазка» сустава) [9].
Существует более 80 препаратов ГиК. Они различаются по многим характеристикам, в том числе по происхождению (животное против биоферментации), средней молекулярной массе (500–6000 кДа) и молекулярной структуре (линейная, сшитая и сочетание обеих), методу сшивания, концентрации (0,8–30 мг/мл), объему инъекции (0,5–6,0 мл) и дозировке. Некоторые из препаратов включают различные концентрации добавок, таких как маннитол, сорбит, в состав других входит хондроитин сульфат (ХС) [10].
ХС – один из природных ГАГ, важный компонент внеклеточного матрикса, наиболее часто встречающийся ГАГ в аггрекановой молекуле хряща, уменьшает боль и воспаление при ОА, а также способен замедлять прогрессирование заболевания [11, 12]. По данным ряда исследований, ХС обладает статистически значимым более благоприятным действием на ОА по сравнению с плацебо [13–15], так как усиливает выработку ГиК синовиальными клетками, повышая ее уровень в синовиальной жидкости и вязкость [16]. ХС выступает агентом сшивания молекул ГиК, что увеличивает молекулярную массу молекулы до 3 млн Дальтон, а повышение ее вязкости способствует более длительному лечебному эффекту. Кроме того, ХС увеличивает биосовместимость компонентов. Таким образом, сочетание молекул ГиК и ХС значительно улучшает свойства синовиальной жидкости [17].
По данным ряда экспериментальных исследований, комбинированное использование гиалуроната натрия и ХС в виде единой инъекционной формы может привести к синергическому эффекту, направленному на восстановление хрящевой ткани и возможному ее новому образованию при лечении остеохондральных дефектов [18, 19].
Это предположение нашло подтверждение в работе H. Tosun и соавт. при оценке влияния данной терапии на новообразованный хрящ в области субхондрального повреждения мыщелков бедренной кости кроликов. Тридцать два зрелых самца новозеландских белых кроликов массой тела 2,5–3 кг были случайным образом разделены на 4 равные группы, по 8 животных в каждой. После субхондрального повреждения всем экспериментальным животным проводилась внутрисуставная терапия: в группе 1 (n=8) – 0,3 мл комбинированного раствора ГиК+ХС (16 мг/мл + 20 мг); во 2-й (n=8) – 0,3 мл ГиК (16 мг/мл); в 3-й (n=8) – 0,3 мл ХС (20 мг/мл) и 4-й (n=8, контрольная группа) – 0,3 мл физиологического раствора. Через 6 нед образцы оценили макроскопически, гистологически и биохимически. В группе ГиК+ХС наблюдалось значимое восстановление суставного хряща по сравнению с группами ГиК, ХС и контрольной группой (p=0,041, 0,01 и 0,029 соответственно). Образование гиалинового хряща наблюдалось только в группе ГиК+ХС. Непрерывность и гладкость хрящевой поверхности были значительно выше в группах ГиК+ХС и ГиК по сравнению с другими группами (p=0,041 для ГиК+ХС против ХС; p=0,007 для ГиК+ХС против группы контроля; p=0,041 для ГиК против ХС; p=0,041 для ГиК против группы контроля). Нормальная минерализация хряща (кальцифицированный хрящ) значительно выше в группе ГиК+ХС по сравнению с группами ГиК, ХС и контрольной группой (p=0,041, 0,01 и 0,01 соответственно). Таким образом, авторы сделали вывод, что именно комбинированная терапия ГиК+ХС является хорошим выбором для повышения качества образования новой хрящевой ткани при лечении очаговых остеохондральных дефектов. Данная терапия усиливает пролиферацию хряща, создавая синергический эффект, по сравнению с другими группами [19].
Работы по оценке эффективности внутрисуставных инъекций комбинации гиалуроната натрия и ХС у пациентов с ОАКС в настоящее время немногочисленны, однако результаты исследований продемонстрировали хорошую эффективность и безопасность проводимой терапии [20–23]. Так, в работе E. Maheu и соавт. после трех инъекций (1 раз в неделю) 2 мл препарата, содержащего ГиК (12 мг/мл) и ХС (30 мг/мл), у 41 пациента с ОАКС отмечено выраженное уменьшение боли с 61 до 29 мм через 12 нед наблюдения, причем 60% больных сообщили об улучшении состояния более чем на 50%. Число ответивших на лечение по критериям OMERACT-OARSI составило 55% через 2 нед, 65% – через 7 и 68% – через 12 нед наблюдения [20].
В исследовании Y. Henrotin и соавт. проводилась оценка эффективности и безопасности трех внутрисуставных инъекций раствора, сочетающего ГиК (12 мг/мл) и ХС (30 мг/мл), у 30 пациентов от 45 до 80 лет с ОАКС II–III стадии. Период наблюдения составил 10 нед после последнего введения препарата. Эффективность оценивали по показателям боли, функциональных нарушений, клинического ответа, данным ультразвукового исследования (УЗИ) коленных суставов и оценке биомаркеров метаболизма хряща и воспаления суставов. Параметры интенсивности боли значимо снижались на протяжении всего исследования, при проведении линейной регрессии наиболее выраженные изменения по сравнению с исходными (71,3±14,71 мм) выявлены через 6 (31,3±23,76 мм, р=0,0008) и 12 (35,2±24,59, р=0,0042) нед наблюдения. Похожие результаты получены и при оценке индекса Лекена. Наиболее значимые изменения по сравнению с исходными отмечены также на 6 и 12-й неделях наблюдения: 11,88±2,96 против 8,21±3,05, р=0,0031, и 11,88±2,96 против 8,48±3,48, р=0,0012, соответственно. Клинический ответ, оцененный по критериям OMERACT-OARSI, наблюдался у 23 (79,3%) пациентов через 6 нед и у 22 (73,3%) через 12 нед наблюдения. Кроме того, в конце исследования большинство пациентов сообщили, что они «очень довольны» (n=13; 45%) или «удовлетворены» (n=7; 24%) своим лечением; только 4 (14%) пациента заявили о неудовлетворительном результате терапии. При оценке параметров УЗИ на завершающем визите выявлено уменьшение толщины синовиальной оболочки по сравнению с исходными данными, однако статистическая значимость не была достигнута, вероятно, из-за небольшого размера выборки. Пять оцененных биомаркеров: маркеры воспаления (интерлейкин-6), деградации (Coll2-1) и синтеза коллагена типа II (CPII), деградации аггрекана (CS846) и маркеров окислительного стресса (Coll2-1NO2) – показали высокую вариабельность, хотя имели тенденцию к постоянному снижению в течение всего периода наблюдения. Никаких серьезных НЯ, приводящих к прекращению исследования, зарегистрировано не было [22].
В 2016 г. F. Rivera и соавт. провели более длительное 6-месячное открытое многоцентровое проспективное исследование по оценке эффективности трех внутрисуставных инъекций комбинации гиалуроната натрия (20 мг/мл) и ХС (20 мг/мл) при участии 112 пациентов с ОАКС в возрасте 65,4±10,6 года. Женщины составляли 2/3 пациентов, в 64 (57,1%) случаях у пациентов диагностирована II стадия заболевания по классификации Келлгрена–Лоуренса и в 48 (42,9%) случаях – III. Большинство пациентов (77,7%) до начала лечения принимали НПВП. Эффективность терапии оценивалась по следующим критериям: боль по визуальной аналоговой шкале (ВАШ), индекс WOMAC (боль) и потребность в НПВП через 1, 3 и 6 мес после последнего внутрисуставного введения. На момент включения в исследование средний балл по шкале WOMAC составил 52,1 (26-86), через 1 мес – 25,7, через 3 – 20,4, через 6 – 20,5 (0–80), p<0,0001. При оценке боли по ВАШ через 1 мес наблюдения среднее ее значение составило – 35,9. Выраженность боли продолжала уменьшаться к 3 и 6-му месяцам: 28,1 (p<0,0001) и 26,1 (p=0,0048) соответственно. Средний уровень потребления НПВП в течение всего периода наблюдения снизился следующим образом: 28,6 – через 1 мес, 19,9 – через 3 мес и 17,1 – через 6 мес, p<0,0001. Исследователи удовлетворены и довольны терапевтической эффективностью и высокой безопасностью данного препарата [23].
Учитывая немногочисленность публикаций по этой терапии и появление препарата в России, мы провели многоцентровое проспективное исследование.
Цель исследования – оценка эффективности и безопасности однократного внутрисуставного введения препарата Гиалуром СS – комбинация гиалуроната натрия 60 мг/3 мл и ХС натрия 90 мг/3 мл (Rompharm Company), у пациентов с ОАКС.
Материалы и методы
В исследование включены 79 амбулаторных пациентов с ОАКС [64 (81,0%) женщины, 15 (19,0%) мужчин], средний возраст составил 60,3±8,7 года (от 42 до 75 лет), индекс массы тела – 29,2±4,7 кг/м2, продолжительность болезни – 6 (3–10) лет (от 0,5 до 26 лет). Набор пациентов с ОАКС проводился в 9 центрах России: Москва (НИИР им. В.А. Насоновой, главный исследователь – Л.И. Алексеева) – 20 больных; Москва (ЦИТО, главный исследователь – С.С. Родионова) – 10; Москва (ЦИТО, главный исследователь – Н.В. Загородний) – 8; Москва (РНИМУ им. Н.И. Пирогова, главный исследователь – А.В. Наумов) – 8; Москва (ГКБ №1, главный исследователь – Е.И. Шмидт) – 10; Новосибирск (главный исследователь – Е.В. Зонова) – 5; Кемерово (главный исследователь – Т.А. Раскина) – 5; Хабаровск (главный исследователь – Э.Н. Оттева) – 5; Красноярск (главный исследователь – П.А. Шестерня) – 8.
Критерии включения в исследование: мужчины и женщины с первичным тибиофеморальным ОАКС согласно критериям АКР (1986 г.) в возрасте 40–75 лет, с болью при ходьбе более 40 мм по ВАШ, II или III рентгенологической стадии по Келлгрену–Лоуренсу, с необходимостью приема НПВП длительностью не менее 30 дней за предшествующие 3 мес, подписавшие информированное согласие.
Критерии исключения общепринятые: боль при ходьбе в анализируемом суставе менее 40 мм по ВАШ; рентгенологическое поражение коленного сустава I или IV стадии по Келлгрену–Лоуренсу; клинические признаки синовита коленного сустава (выпот в суставе, местная гипертермия); остеонекроз мыщелков бедренной/большеберцовой кости; оперативное вмешательство на анализируемом суставе; травма коленного сустава не менее 3 мес до начала исследования; аксиальная девиация (варусная или вальгусная) >15º на R-снимках; клинические признаки боковой или переднезадней нестабильности коленного сустава; прием симптоматических препаратов замедленного действия за последние 3 мес до начала исследования; внутрисуставные инъекции (глюкокортикоиды, препараты ГиК, PRP-терапия и пр.) за последние 6 мес до начала исследования; вторичный ОАКС; острая язва желудка или двенадцатиперстной кишки в течение последних 6 мес, а также другие тяжелые заболевания, которые, по мнению исследователя, могли бы повлиять на результаты исследования или безопасность пациента; наличие иных ревматических заболеваний (в том числе ревматоидный артрит, системная красная волчанка и т.д.); кожные заболевания в проекции предполагаемой точки внутрисуставной инъекции; участие в другом клиническом исследовании; индекс массы тела более 40 кг/м2; беременность и период лактации; известная гиперчувствительность к компонентам данного препарата; отсутствие письменного согласия на участие пациента в исследовании.
Длительность исследования составила 6 мес. Всем пациентам вводился препарат Гиалуром CS 3,0 внутрисуставно однократно в наиболее болезненный коленный сустав. Перед введением препарата проводилось УЗИ коленного сустава для исключения синовита.
План исследования включал 5 визитов: В0 и В1 – визиты скрининга и начало терапии (могли совпадать по дате), В2 – через 1 нед после внутрисуставного введения препарата, В3 – через 1 мес от начала терапии, В4 – через 3 мес, В5 – через 6 мес от начала терапии.
Эффективность терапии оценивалась по интенсивности боли в коленном суставе при ходьбе по ВАШ; времени наступления эффекта; индексу WOMAC (боль, скованность и функциональная недостаточность); общему состоянию здоровья по ВАШ; качеству жизни по ЕQ-5D; эффекту от проводимой терапии, оцененных врачом и пациентом («значительное улучшение», «улучшение», «отсутствие эффекта» и «ухудшение»); потребности в приеме НПВП; оценке безопасности.
Статистическая обработка осуществлялась с использованием общепринятых статистических методик. Статистический анализ проводился в популяции всех пациентов, подлежащих лечению (intention-to-treat – ITT-популяция), и в популяции пациентов, завершивших лечение в соответствии с протоколом (per protocol – PP-популяция). В ITT-популяцию вошли 79 пациентов, в PP – 79. Выбывших из исследования пациентов не было. Результаты для ITT- и PP-популяций не различались, поэтому в дальнейшем приводятся данные анализа ITT-популяции. Проведены анализ на нормальность распределения переменных с помощью тестов Колмогорова–Смирнова, Шапиро–Уилка, частотный анализ. Использованы методы описательной статистики с вычислением минимальных, максимальных и средних значений переменных, стандартных отклонений, медианы, интерквартильного размаха [25-й; 75-й перцентили], параметрические (t-теста Стьюдента) и непараметрические (тест Вилкоксона, χ2) критерии.
Результаты
Среди включенных в исследование пациентов преобладали женщины (80%). Вторая стадия ОАКС по Келлгрену–Лоуренсу выявлялась у 54 (68,4%) больных и III – у 25 (31,6%); целевым суставом в 51,9% случаев был правый коленный сустав и в 48,1% – левый.
У 76% пациентов с ОА зарегистрированы от 1 до 4 сопутствующих заболеваний (рис. 1). Наиболее часто встречались гипертоническая болезнь – 55%, заболевания желудочно-кишечного тракта – 18,3%, ишемическая болезнь сердца – 13,3%, заболевания щитовидной железы – 10%, сахарный диабет 2-го типа – 6,7%.
Рис. 1. Число сопутствующих заболеваний – СЗ (n=79).
Все пациенты до включения в исследование принимали НПВП, в основном мелоксикам (19,0%), нимесулид (20,3%) и ацеклофенак (20,3%). Длительность приема составила от 1 до 3 мес.
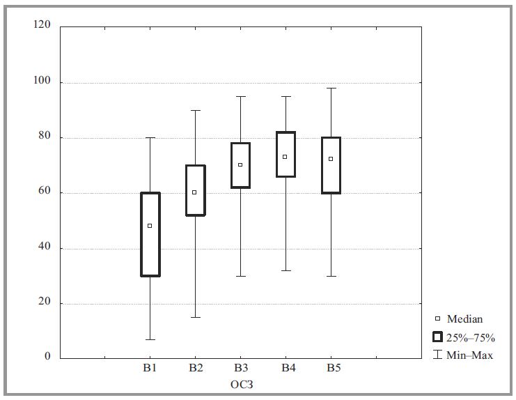
Результаты исследования свидетельствуют о том, что у пациентов уже через 1 нед после внутрисуставного введения препарата статистически значимо снизился болевой синдром в коленных суставах при ходьбе (В2). Значимое снижение боли по сравнению с исходными данными наблюдалось на протяжении последующих 6 мес наблюдения (В5). Так, боль в суставах при ходьбе по ВАШ в начале терапии составила 62 (55–72) мм, через 1 нед – 41 (32–51), через 1 мес – 28 (20–42), через 3 – 22 (14–37), через 6 – 20 (14–40). На финальном визите (В5) показатели боли не нарастали, отмечалась стабилизация состояния и результаты были сопоставимы с предыдущим визитом (3 мес наблюдения); рис. 2. Эти данные свидетельствуют о хорошем и длительном симптоматическом эффекте препарата Гиалуром CS.
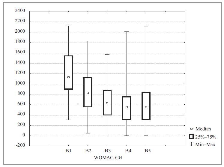
При анализе боли, скованности, функциональной недостаточности (ФН) по WOMAC и суммарного индекса WOMAC отмечалась идентичная картина: значимое снижение всех показателей в течение первых 3 мес с дальнейшим сохранением эффекта на протяжении последующего периода наблюдения. Так, оценка боли в начале исследования (В1) составила 268 (189–312) мм, через 1 нед (В2) – 161 (91–206), через 1 мес (В3) – 121 (63–165), через 3 мес (В4) – 102 (48–163), через 6 мес (В5) – 91 (48–171); скованность – 101 (59–130) мм, 66 (30–92), 51 (24–68), 41 (18–60) и 40 (20–61); ФН – 802 (647–1095) мм, 587 (405–798), 457 (277–683), 396 (220–586) и 402 (191–638); суммарный индекс WOMAC – 11 (899–1540) мм, 821 (556–1119), 627 (401–874), 554 (310–750) и 552 (309–837) соответственно, p<0,05. Полученные данные еще раз подтверждают высокую эффективность проводимой терапии (рис. 3–6).
Рис. 3. Динамика боли по WOMAC (мм).
Рис. 4. Динамика скованности по WOMAC (мм).
Рис. 5. Динамика функциональной недостаточности по WOMAC (мм).
Рис. 6. Динамика суммарного индекса (СИ) WOMAC (мм).
При оценке качества жизни по EQ-5D у пациентов с ОАКС выявлено статистически значимое улучшение в течение первых 3 мес наблюдения, в дальнейшем отмечалась стабилизация показателей, сохранявшаяся до конца исследования: В1 – 0,52 (0,02–0,59), В2 – 0,59 (0,52–0,69), В3 – 0,66 (0,59–0,73), В4 – 0,73 (0,59–0,78), В5 – 0,69 (0,59–0,80); рис. 7.
Рис. 7. Динамика качества жизни по EQ-5D.
Динамика параметров общего состояния здоровья (по ВАШ) тоже продемонстрировала статистически значимое улучшение в первые 3 мес наблюдения. Через 6 мес (В5) показатели идентичны В4. Так, через 1 день оценка состояния здоровья составила 48 (30–60), на В2 – 60 (52–70), В3 – 70 (62–78), В4 – 73 (66–82) и в конце наблюдения – 72 (60–80) мм (р<0,00001); рис. 8.
Рис. 8. Оценка состояния здоровья (ОСЗ) по ВАШ.
Время наступления эффекта отмечено у 78 пациентов (рис. 9). Самый быстрый эффект от лечения зафиксирован через 1 день после инъекции, а самый максимальный период составил 38 дней. Медиана времени – 7 (5–18) дней.
На фоне лечения препаратом Гиалуром CS у пациентов снизилась потребность в приеме НПВП. Если в начале терапии почти все пациенты – 96,2% (n=76) принимали НПВП, то через 1 нед 39,2% (n=31) смогли полностью отказаться от их приема, через 1 мес число пациентов, не принимавших НПВП, увеличилось почти в 2 раза – 72,2% (n=57), через 3 мес наблюдалась идентичная картина – 73,4% больных (n=58) не нуждались в приеме данных препаратов; через 6 мес часть пациентов возобновили прием НПВП, однако более чем у 50% (n=43) наблюдалась выраженная положительная динамика и они не возобновляли прием НПВП. Отсутствие необходимости в обезболивании и длительный отказ от НПВП еще раз подтверждают хороший симптоматический и противовоспалительный эффекты, а также длительный эффект последействия препарата (см. рис. 9).
Рис. 9. Потребность в НПВП.
При оценке эффективности лечения по мнению врача и пациента продемонстрированы выраженные положительные результаты: «значительное улучшение» и «улучшение» через 1 нед терапии отмечено у 65,8% пациентов, через 1 мес – у 92,3%, через 3 мес – 89,8%, через 6 мес – 75,8%. Отсутствие эффекта и ухудшение отмечены в единичных случаях, преимущественно в конце периода наблюдения (рис. 10).
Рис. 10. Эффективность лечения по мнению врача и пациента.
Неблагоприятные явления отмечены у 8 (10,1%) пациентов: у 5 – появление боли и припухлости в месте инъекции через 6 ч после введения препарата, в 4 случаях купировано через 24 ч после приема НПВП, в 1 – самостоятельно через 14 нед; еще у 2 – боль и «распирание» в коленном суставе через 4 и 6 ч после введения препарата, у 1-го пациента симптоматика прошла через 36 ч на фоне приема НПВП, у 2-го – самостоятельно через 24 ч; и еще у 1 пациента наблюдались припухлость и сильная боль в суставе при движении через 9 ч после инъекции, симптомы купированы через 20 ч после приема НПВП.
Таким образом, на фоне однократной инъекции препарата Гиалуром CS у пациентов статистически значимо снижались боль, скованность, потребность в НПВП, улучшались качество жизни и функция суставов. Результаты исследования свидетельствуют о том, что препарат обладает хорошим профилем безопасности и стойким эффектом последействия в течение 6 мес.
Обсуждение
Результаты нашего исследования продемонстрировали высокую эффективность препарата Гиалуром CS при лечении пациентов с ОАКС. В работе отмечались значимые изменения всех оцениваемых показателей, кроме того, эффект от однократной инъекции препарата сохранялся в течение 6 мес наблюдения, что подтверждает хороший длительный эффект последействия. Наши данные согласуются с результатами и других исследований. Так, в работе E. Maheu и соавт. у пациентов с ОАКС после трех инъекций (1 раз в неделю) препарата, содержащего ГиК (12 мг/мл) и ХС (30 мг/мл), отмечалось выраженное уменьшение боли через 12 нед наблюдения, 60% больных отметили улучшение состояния более чем на 50%. Частота ответов на лечение по критериям OMERACT-OARSI составила 55% через 2 нед, 65% – через 7 и 68% – через 12 нед наблюдения [20].
В исследовании Y. Henrotin и соавт. 30 пациентов с ОАКС тоже получали три внутрисуставные инъекции раствора ГиК/ХС в той же дозе в течение 3-недельного периода и наблюдались в течение 10 нед после последнего введения препарата. Основная цель данного исследования заключалась в оценке динамики изменения ряда клинических, ультразвуковых и биологических показателей. На протяжении исследования отмечалось снижение выраженности боли по сравнению с исходными значениями: -23,3±22,51 на 3-м визите (через 1 нед) и -36,1±28,54 – на 6-м визите (через 12 нед). Наиболее статистически значимые изменения относительно исходного уровня отмечены на 5-м визите (через 6 нед), p=0,0008, и на 6-м визите (через 12 нед), p=0,0042. Схожие данные выявлены при оценке альгофункционального индекса Лекена по сравнению с исходным уровнем: -1,34±3,472 на 3-м визите и -3,40±4,193 – на 6-м визите (через 12 нед). Наиболее значимые изменения также отмечены через 6 и 12 нед (p=0,0031 и p=0,0012 соответственно). Клинический ответ по критериям OMERACT-OARSI через 6 нед наблюдался почти у 80% пациентов и у 73% через 12 нед. Подавляющее число пациентов (69%) удовлетворены лечением [22].
Похожие положительные результаты продемонстрированы и в более длительном (6 мес) исследовании F. Rivera и соавт. при участии 112 пациентов в возрасте 65,4±10,6 года с ОАКС. За период наблюдения отмечалось значимое снижение боли по индексу WOMAC – с 52,1 (26–86) при включении до 20,5 (0–80) через 6 мес наблюдения (р<0,0001). Около 80% исследователей заявили об удовлетворительном и хорошем результатах внутрисуставного применения комбинации гиалуроната натрия и ХС в плане уменьшения боли (77%), улучшения подвижности суставов (78%) и снижения потребления анальгетиков (74%) [23].
В нашем исследовании тоже наблюдалось выраженное статистически значимое улучшение показателей после введения препарата в течение 3 мес наблюдения, в дальнейшем отмечалась стабилизация эффекта на том же уровне до 6 мес. Данные результаты согласуются с выводами метаанализа, проведенного R. Bannuru и соавт., которые показали, что эффективность ГиК постепенно нарастает к 4-й неделе, достигает пика через 8 нед и сохраняет свое действие в течение 6 мес [6].
При оценке безопасности в нашей работе выявлены 8 (10,1%) локальных НЯ, в основном после введения препарата: у 3 пациентов отмечалось развитие синовита коленного сустава; у 2 – боли и припухлости в месте инъекции через 6 ч после введения препарата; еще у 2 – боль и «распирание» в коленном суставе через 4 и 6 ч после введения препарата; и еще у 1 – припухлость и сильная боль в суставе при движении через 9 ч после инъекции. Все НЯ легкой степени и не повлекли за собой применения инвазивных методов лечения.
Подобные реакции наблюдались и в других исследованиях. Так, в работе F. Rivera и соавт. зарегистрировано только одно НЯ – припухлость коленного сустава, которая длилась 3 дня после первой внутрисуставной инъекции [23]. В исследовании Y. Henrotin и соавт. никаких серьезных НЯ не отмечалось. В течение всего периода наблюдения выявлено 4 (13,3%) НЯ: гематома в месте инъекции легкой интенсивности, перелом запястья, артралгия и венозный стаз. Гематома была единственным зарегистрированным НЯ, для которого исследователь не исключил причинно-следственную связь с препаратом [22]. В работе E. Maheu и соавт. зафиксировано 34% НЯ, однако большинство из них не имело отношения к исследуемому препарату [20].
Таким образом, низкий процент пациентов с НЯ подтверждает безопасность комбинированного препарата, содержащего гиалуронат натрия и ХС, у пациентов с ОАКС. Данный метод лечения лишен системных НЯ, наблюдаемых после применения как глюкокортикоидов, так и пероральных анальгетиков и НПВП, в связи с чем может являться альтернативным подходом терапии у пациентов с сопутствующими заболеваниями, а также применяться как дополнительный вариант в случае недостаточного ответа на пероральное лечение ОАКС [24].
Учитывая все перечисленные положительные качества препарата, хочется также отметить его преимущество над многократными инъекциями. Ранее для лечения ОАКС использовали ГиК из 3–5 введений с интервалом в 1 нед. Одна инъекция способна обеспечить несколько практических и экономических преимуществ за счет сокращения количества посещений врача, числа инвазивных процедур и связанных с ними рисков [25].
Для получения более детальной информации об эффективности, безопасности и механизмах действия препарата необходимо в дальнейшем проведение рандомизированных двойных слепых плацебо-контролируемых исследований с соответствующей статистической обработкой результатов.
Заключение
Результаты нашего исследования продемонстрировали высокую эффективность и безопасность комбинированного препарата, содержащего гиалуронат натрия 60 мг/3 мл и ХС 90 мг/3 мл. Кроме того, преимуществом препарата Гиалуром CS является длительность эффекта на протяжении 6 мес после его однократного введения, что обеспечивает снижение риска инфицирования от частых инъекций, уменьшение экономических затрат и повышение удобства для пациента, связанного с отсутствием необходимости частого обращения за медицинской помощью.
About the authors
L. I. Alekseeva
Nasonova Research Institute of Rheumatology
														Email: nat-kash@yandex.ru
				                					                																			                								
д.м.н., рук. отд. метаболических заболеваний костей и суставов
N. G. Kashevarova
Nasonova Research Institute of Rheumatology
							Author for correspondence.
							Email: nat-kash@yandex.ru
				                	ORCID iD: 0000-0001-8732-2720
				                																			                								
к.м.н., науч. сотр. отд. метаболических заболеваний костей и суставов
E. A. Taskina
Nasonova Research Institute of Rheumatology
														Email: nat-kash@yandex.ru
				                	ORCID iD: 0000-0001-8218-3223
				                																			                								
к.м.н., ст. науч. сотр. отд. метаболических заболеваний костей и суставов
E. P. Sharapova
Nasonova Research Institute of Rheumatology
														Email: nat-kash@yandex.ru
				                	ORCID iD: 0000-0003-4242-8278
				                																			                								
к.м.н., науч. сотр. отд. метаболических заболеваний костей и суставов
Russian Federation, MoscowS. G. Anikin
Nasonova Research Institute of Rheumatology
														Email: nat-kash@yandex.ru
				                	ORCID iD: 0000-0001-5643-3196
				                																			                								
к.м.н., ст. науч. сотр. отд. метаболических заболеваний костей и суставов
Russian Federation, MoscowE. A. Strebkova
Nasonova Research Institute of Rheumatology
														Email: nat-kash@yandex.ru
				                	ORCID iD: 0000-0001-8130-5081
				                																			                								
к.м.н., ст. науч. сотр. отд. метаболических заболеваний костей и суставов
T. A. Raskina
Kemerovo State Medical University
														Email: nat-kash@yandex.ru
				                	ORCID iD: 0000-0002-5804-4298
				                																			                								
д.м.н., проф., зав. каф. пропедевтики внутренних болезней
Russian Federation, KemerovoE. V. Zonova
Novosibirsk State Medical University
														Email: nat-kash@yandex.ru
				                	ORCID iD: 0000-0002-0228-9085
				                																			                								
д.м.н., проф. каф. терапии, гематологии и трансфузиологии фак-та повышения квалификации и профессиональной переподготовки врачей
Russian Federation, NovosibirskE. N. Otteva
Institute of Advanced Training for Health Professionals
														Email: nat-kash@yandex.ru
				                					                																			                								
д.м.н., проф. каф. терапии и профилактической медицины
Russian Federation, KhabarovskS. S. Rodionova
Priorov National Medical Research Center for Traumatology and Orthopedics
														Email: nat-kash@yandex.ru
				                	ORCID iD: 0000-0002-2726-8758
				                																			                								
д.м.н., рук. научно-клинического центра остеопороза
Russian Federation, MoscowA. N. Torgashin
Priorov National Medical Research Center for Traumatology and Orthopedics
														Email: nat-kash@yandex.ru
				                	ORCID iD: 0000-0002-2789-6172
				                																			                								
к.м.н., ст. науч. сотр.
Russian Federation, MoscowU. V. Buklemishev
Priorov National Medical Research Center for Traumatology and Orthopedics
														Email: nat-kash@yandex.ru
				                	ORCID iD: 0000-0002-0039-2118
				                																			                								
врач
Russian Federation, MoscowE. I. Shmidt
Pirogov Municipal Clinical Hospital №1
														Email: nat-kash@yandex.ru
				                	ORCID iD: 0000-0001-8814-9704
				                																			                								
к.м.н., зав. ревматологическим отд-нием
Russian Federation, MoscowP. A. Shesternya
Voyino-Yasenetsky Krasnoyarsk State Medical University
														Email: nat-kash@yandex.ru
				                	ORCID iD: 0000-0001-8652-1410
				                																			                								
д.м.н., проф
Russian Federation, KrasnoyarskA. V. Naumov
Pirogov Russian National Research Medical University
														Email: nat-kash@yandex.ru
				                	ORCID iD: 0000-0002-6253-621X
				                																			                								
д.м.н., проф., зав. лаб. костно-мышечных заболеваний
Russian Federation, MoscowN. V. Zagorodniy
Priorov National Medical Research Center for Traumatology and Orthopedics
														Email: nat-kash@yandex.ru
				                					                																			                								
д.м.н., проф., дир.
Russian Federation, MoscowA. M. Lila
Nasonova Research Institute of Rheumatology
														Email: nat-kash@yandex.ru
				                	ORCID iD: 0000-0002-6068-3080
				                																			                								
д.м.н., проф. дир.
Russian Federation, MoscowReferences
- Cross M, Smith E, Hoy D, et al. The global burden of hip and knee osteoarthritis: estimates from the global burden of disease 2010 study. Ann Rheum Dis. 2014;73:1323-30. doi: 10.1136/annrheumdis-2013-204763
 - Loeser RF, Goldring SR, Scanzello CR, Goldring MB. Osteoarthritis – a disease of the joint as an organ. Arthritis Rheum. 2012;64:1697-707. doi: 10.1002/art.34453
 - Legre-Boyer V. Viscosupplementation: techniques, indications, results. Orthop Traumatol Surg Res. 2015;101:S101-S108. doi: 10.1016/j.otsr.2014.07.027
 - Pederzini LA, Milandri L, Tosi M, et al. Preliminary clinical experience with hyaluronan anti-adhesion gel in arthroscopic arthrolysis for posttraumatic elbow stiffness. J Orthopaed Traumatol. 2013;14(2):109-14. doi: 10.1007/s10195-013-0229-z
 - Bannuru RR, Vaysbrot EE, Sullivan MC, McAlindon TE. Relative efficacy of hyaluronic acid in comparison with NSAIDs for knee osteoarthritis: a systematic review and meta-analysis. Semin Arthritis Rheum. 2013;43(5):593-9. doi: 10.1016/j.semarthrit.2013.10.002
 - Bannuru RR, Natov NS, Obadan IE, et al. Therapeutic trajectory of hyaluronic acid versus corticosteroids in the treatment of knee osteoarthritis: a systematic review and meta-analysis. Arthritis Rheum. 2009;61:1704-11. doi: 10.1002/art.24925
 - He WW, Kuang MJ, Zhao J, et al. Efficacy and safety of intraarticular hyaluronic acid and corticosteroid for knee osteoarthritis: A meta-analysis. Int J Surg. 2017;39:95-103. doi: 10.1016/j.ijsu.2017.01.087
 - Kogan G, Soltés L, Stern R, Gemeiner P. Hyaluronic acid: a natural biopolymer with a broad range of biomedical and industrial applications. Biotechnol Lett. 2007;29(1):17-25. doi: 10.1007/s10529-006-9219-z
 - Altman RD, Manjoo A, Fierlinger A, et al. The mechanism of action for hyaluronic acid treatment in the osteoarthritic knee: a systematic review. BMC Musculoskelet Disord. 2015;16:321. doi: 10.1186/s12891-015-0775-z
 - Berenbaum F, Grifka J, Cazzaniga S, et al. A randomised, double-blind, controlled trial comparing two intra-articular hyaluronic acid preparations differing by their molecular weight in symptomatic knee osteoarthritis. Ann Rheum Dis 2012;71:1454-60. doi: 10.1136/annrheumdis-2011-200972
 - Michel BA, Stucki G, Frey D, et al. Chondroitins 4 and 6 sulfate in osteoarthritis of the knee: a randomized, controlled trial. Arthrit Rheumat 2005;52(3):779-86. doi: 10.1002/art.20867
 - Uebelhart D, Malaise M, Marcolongo R, et al. Intermittent treatment of knee osteoarthritis with oral chondroitin sulfate: a one-year, randomized, double-blind, multicenter study versus placebo. Osteoarthrit Cartil 2004;12(4):269-76. doi: 10.1016/j.joca.2004.01.004
 - Bruyere O, Burlet N, Delmas PD, et al. Evaluation of symptomatic slow-acting drugs in osteoarthritis using the GRADE system. BMC Musculoskel Dis. 2008;9:165. doi: 10.1186/1471-2474-9-165
 - Lee YH, Woo JH, Choi SJ, et al. Effect of glucosamine or chondroitin sulfate on the osteoarthritis progression: a meta-analysis. Rheumatol Int. 2010;30(3):357-63. doi: 10.1007/s00296-009-0969-5
 - Hochberg MC, Zhan M, Langenberg P. The rate of decline of joint space width in patients withosteoarthritis of the knee: a systematic review and meta-analysis of randomized placebo-controlled trials of chondroitin sulfate. Curr Med Res Opin. 2008;24(11):3029-35. doi: 10.1185/03007990802434932
 - David-Raoudi M, Deschrevel B, Leclercq S, et al. Chondroitin sulfate increases hyaluronan production by human synoviocytes through differential regulation of hyaluronan synthases: role of p38 and Akt. Arthritis Rheum. 2009;60(3):760-70. doi: 10.1002/art.24302
 - Kosińska MK, Ludwig TE, Liebisch G, et al. Articular joint lubricants during osteoarthritis and rheumatoid arthritis display altered levels and molecular species. PLoS ONE. 2015;10:e0125192. doi: 10.1371/ journal.pone.0125192
 - Gonçalves G, Melo EG, Gomes MG, et al. Effects of chondroitin sulfate and sodium hyaluronate on chondrocytes and extracellular matrix of articular cartilage in dogs with degenerative joint disease. Arq Bras Med Vet Zootec. 2008;60(1):93-102. doi: 10.1590/S0102-09352008000100014
 - Tosun HB, Gürger M, Gümüştaş SA, et al. The effect of sodium hyaluronate-chondroitin sulfate combined solution on cartilage formation in osteochondral defects of the rabbit knee: an experimental study. Ther Clin Risk Manag. 2017;13:523-32. doi: 10.2147/TCRM.S133635
 - Maheu E, Zaïm M, Appelboom T, et al. Evaluation of intra articular injections of hyaluronic acid and chondroitine sulfate for knee arthritis treatment: a multicentric pilot study with 3 monts follow-up. National rheumatolgy meeting 2010 (Société Française de Rhumatologie).
 - Tosun HB, Gumustas S, Agir I, et al. Comparison of the effects of sodium hyaluronate-chondroitin sulphate and corticosteroid in the treatment of lateral epicondylitis: a prospective randomized trial. J Orthop Sci. 2015;20(5):837-43: doi: 10.1007/s00776-015-0747-z
 - Henrotin Y, Hauzeur JP, Bruel P, Appelboom T. Intra-articular use of a medical device composed of hyaluronic acid and chondroitin sulfate (Structovial CS): effects on clinical, ultrasonographic and biological parameters. BMC Res Notes. 2012;5:407-11. doi: 10.1186/1756-0500-5-407
 - Rivera F, Bertignone L, Grandi G, et al. Effectiveness of intra-articular injections of sodium hyaluronate-chondroitin sulfate in knee osteoarthritis: a multicenter prospective study. J Orthop Traumatol. 2016;17(1):27-33. doi: 10.1007/s10195-015-0388-1
 - Bruyère O, Cooper C, Pelletier JP, et al. An algorithm recommendation for the management of knee osteoarthritis in Europe and internationally: a report from a task force of the European Society for Clinical and Economic Aspects of Osteoporosis and Osteoarthritis (ESCEO). Semin Arthritis Rheum 2014;44:253-63. doi: 10.1016/j.semarthrit. 2014.05.014
 - Baron D, Flin C, Porterie J, et al. Hyaluronic acid single injection in knee osteoarthritis: a multi-center open prospective study (ART-ONE 75) with placebo post-hoc comparison. Cur Ther Res. 2018;88:35-46. doi: 10.1016/j.curtheres.2018.04.001
 
Supplementary files
				
			
					
						
						
				












