Depression and severity of articular destruction in patients with rheumatoid arthritis
- Authors: Abramkin A.A.1, Lisitsyna T.A.1, Veltishchev D.Y.2,3, Seravina O.F.2, Kovalevskaya O.B.2, Glukhova S.I.1, Nasonov E.L.1
- 
							Affiliations: 
							- Nasonova Research Institute of Rheumatology
- Moscow Research Institute of Psychiatry – branch of the Serbskiy National Medical Research Center of Psychiatry and Narcology
- Pirogov Russian National Research Medical University
 
- Issue: Vol 92, No 5 (2020)
- Pages: 22-32
- Section: Original articles
- Submitted: 03.06.2020
- Published: 05.06.2020
- URL: https://ter-arkhiv.ru/0040-3660/article/view/34582
- DOI: https://doi.org/10.26442/00403660.2020.05.000624
- ID: 34582
Cite item
Full Text
Abstract
Aim. To assess the influence of anxiety and depressive disorders on joint destruction in patients with rheumatoid arthritis (RA).
Materials and methods. 128 RA-patients were included, 87% were women with a mean age of 47.4±11.3 years and a median of RA duration – 96 [48; 228] months. At the inclusion most patients had moderate (n=56, 43.7%) and severe (n=48, 37.5%) disease activity according to DAS28. Joint destruction was classified as maximal in patients with radiographic stage III, IV and/or osteonecrosis) and minimal in patients with stage I, II and no osteonecrosis. Pain intensity was measured with the BPI (Brief Pain Inventory) scale, severity of fatigue – with fatigue severity scale (FSS), clinically important fatigue was diagnosed in patients with FSS≥4. Anxiety and depressive disorders (ADD) were diagnosed by a licensed psychiatrist in 123 (96.1%) of RA-patients in accordance with ICD-10 in semi-structured interview. Severity of depression and anxiety was evaluated with Montgomery-Asberg Depression Rating Scale (MADRS) and Hamilton Anxiety Rating Scale (HAM-A). RA-patients with ADD were divided into the following treatment groups: 1 – сDMARDs (n=39), 2 – сDMARDs+PPT (sertraline or mianserine), n=43, 3 – сDMARDs+bDMARDs (n=32), 4 – сDMARDs+bDMARDs+PPT (sertraline or mianserine), n=9. Biologics treatment duration varied from 1 to 6 years, antidepressants – from 6 to 96 weeks. 83 (67.5%) RA patients were assessed at five-years follow-up. Linear regression analysis was conducted to determine factors associated with maximal join destruction.
Results. According to linear regression analysis, maximal joint destruction at 5 years follow-up was associated with higher baseline BPImax, longer RA and ADD duration, clinically important fatigue at baseline, baseline extraarticular RA manifestations, recurrent depressive disorder at 5-years follow-up and treatment with cDMARDs only.
Conclusion. Recurrent depressive disorder without antidepressant treatment is an important predictor of progression of joint destruction in patients with rheumatoid arthritis.
Full Text
АЦЦП – антитела к циклическому цитруллинированному пептиду
БПВП – базисные противовоспалительные препараты
ГИБП – генно-инженерные биологические препараты
ГТР – генерализованное тревожное расстройство
ДИ – доверительный интервал
КН – когнитивные нарушения
МКБ-10 – Международная классификация болезней 10-го пересмотра
ОР – относительный риск
ПР – психические расстройства
ПФТ – психофармакотерапия
РА – ревматоидный артрит
РТДС – расстройства тревожно-депрессивного спектра
РФ – ревматоидный фактор
СРБ – С-реактивный белок
BPI – шкала Brief Pain Inventory
DSM-5 (Diagnostic and Statistical Manual of mental disorders, fifth edition) – нозологическая система, «номенклатура» психических расстройств
FSS – шкала Fatigue Severity Scale
HADS (Hospital Anxiety and Depression Scale) – госпитальная шкала тревоги и депрессии
HAM-A (Hamilton Anxiety Rating Scale) – шкала тревоги Гамильтона
HAQ – индекс функциональной недостаточности
MADR (Montgomery–Asberg Depression Rating Scale) – шкала Монтгомери–Асберг
RANKL – рецептор-активатор ядерного транскрипционного фактора NF-êB
Введение
Ревматоидный артрит (РА) – аутоиммунное ревматическое заболевание неизвестной этиологии, для которого характерно развитие хронических эрозивных артритов (синовитов), сопровождающихся прогрессирующей деструкцией кости и суставного хряща [1, 2]. Боль, скованность и другие проявления РА приносят больным множество страданий и существенно ограничивают их функциональные возможности, однако именно суставная деструкция становится основной причиной инвалидизации пациентов в поздней стадии РА [2]. При этом выраженность деструкции хотя и подвержена влиянию многих факторов, патогенетически в наибольшей степени обусловлена неблагоприятным воздействием провоспалительных цитокинов и матричных металлопротеиназ и непосредственно связана с выраженностью воспаления в суставе [3, 4]. Именно поэтому достижение ремиссии РА ассоциируется с замедлением или даже прекращением рентгенологического прогрессирования, в то время как сохраняющаяся активность неумолимо приближает наступление инвалидности [5].
Известно, что расстройства тревожно-депрессивного спектра (РТДС) являются наиболее частой и важной коморбидной проблемой РА [6]. Частота встречаемости депрессивных расстройств среди больных РА варьирует от 22 до 85,2%, тревожных – от 24 до 84,1% [7–10]. По данным ФГБНУ «НИИР им. В.А. Насоновой», полученным совместно с МНИИ психиатрии за 10 лет, частота встречаемости РТДС среди больных РА достигает 93,6% [11, 12]. В то же время РТДС ассоциируются со снижением трудоспособности, функциональных возможностей пациента [13–15], отрицательно влияют на интенсивность боли и выраженность усталости [8, 16], способствуют снижению приверженности больных РА лечению [17]. Более того, в работах многих авторов показано, что депрессивные расстройства и худшие показатели психического здоровья по EQ-5D и SF-36 ассоциируются с более высокой активностью РА по шкале DAS28, включая все ее компоненты, более высоким баллом по визуальной аналоговой шкале боли и меньшей вероятностью достижения клинической ремиссии РА [14, 18–23]. Несмотря на то, что этиопатогенетические взаимосвязи между РА и РТДС в последнее время изучаются очень широко, работ, в которых оценивалось бы влияние депрессивных расстройств на выраженность суставной деструкции при РА, обнаружить не удалось.
Влияние РТДС на активность и эффективность терапии РА представляется во многом обусловленным патогенетической общностью этих расстройств и РА. Депрессивные расстройства, как и РА, ассоциируются с нарушением нормального функционирования гипоталамо-гипофизарно-надпочечниковой системы, что приводит к увеличению концентрации биологических маркеров воспаления, таких как С-реактивный белок (СРБ), интерлейкин-6, интерлейкин-17, фактор некроза опухоли α и др. [24–28]. При РА и депрессивных расстройствах также отмечают схожие особенности в экспрессии ряда сигнальных белков и биологических факторов. Например, фактор роста эндотелия сосудов (VEGF), который играет важную роль в поддержании хронического воспаления и способствует прогрессированию деструкции суставов при РА, обнаруживается в более высокой концентрации и при депрессивных расстройствах и ассоциируется с более высоким уровнем активности РА [29–31]. Также с деструкцией костной ткани при РА связывают гиперпродукцию лиганда рецептора-активатора ядерного транскрипционного фактора NF-êB (RANKL) и нарушение баланса между RANKL и остеопротегерином, тогда как нарушение баланса между RANKL и остеопротегерином характерно также для депрессивных расстройств и частично обусловливает более низкую плотность костной ткани у пациентов с этими расстройствами [32, 33]. Высокие концентрации нескольких видов фактора роста фибробластов – вещества, которое способствуют образованию паннуса и прогрессированию деструкции суставов при РА, – ассоциируются с более высокой лабораторной и клинической активностью заболевания, серопозитивностью по антителам к циклическому цитруллинированному пептиду (АЦЦП) и ревматоидному фактору (РФ), показателями маркеров костной резорбции; у больных депрессивными расстройствами уровень фактора роста фибробластов тоже оказывается более высоким и снижается после назначения антидепрессантов [34–36].
В подтверждение взаимосвязи между РТДС и РА можно также привести наши предыдущие работы и исследование Н.В. Яльцевой и соавт. [37–39], где на фоне редукции симптомов тревоги и депрессивных расстройств продемонстрировано статистически значимое положительное влияние психофармакотерапии (ПФТ) РТДС на эффективность терапии РА, включая частоту достижения ремиссии, а также выраженность боли и функциональной недостаточности.
Таким образом, исходя из комплексного негативного влияния депрессивных расстройств на воспалительную активность при РА, а также того, что прогрессирование деструкции суставов в первую очередь обусловлено именно выраженностью воспаления, можно предположить наличие связи между депрессией и рентгенологической прогрессией РА. Назначение адекватной ПФТ могло бы не только повысить эффективность терапии РА, но и способствовать замедлению деструкции суставов.
Материалы и методы
В исследование включены 128 пациентов: 17 (13,3%) мужчин и 111 (86,7%) женщин с достоверным диагнозом РА в соответствии с классификационными критериями ACR/EULAR 2010 г. [40], которые последовательно обратились в ФГБНУ «НИИР им. В.А. Насоновой». Все пациенты подписали информированное согласие на участие в исследовании. Работа проводилась в рамках междисциплинарной научной программы «Стрессовые факторы и психические расстройства у больных ревматическими заболеваниями». Этический комитет ФГБНУ «НИИР им. В.А. Насоновой» одобрил исследование.
На момент включения в исследование средний возраст больных составлял 47,4±11,3 года, медиана длительности заболевания – 96 [48; 228] мес. Активность РА оценивали по DAS28 [1], у большинства пациентов активность РА была высокой (n=48, 37,5%) или умеренной (n=56, 43,7%), средний по группе балл по DAS28 составил 5,27±1,78. Выраженность максимальной боли по 10-балльной шкале Brief Pain Inventory (BPI) умеренная (5,4±2,4 балла). По шкале Fatigue Severity Scale (FSS) выраженность хронической усталости умеренная – 5,4 [4, 0; 6, 0]. Индекс функциональной недостаточности (HAQ) составил 1,42±0,78 [41]. Медиана значений EQ-5D – 0,52 [0, 08; 0, 66] балла. Доли больных с серопозитивностью по РФ и АЦЦП составили 96 (75%) и 68 (53,1%) соответственно. Медиана скорости оседания эритроцитов (СОЭ) по Вестергрену – 25,0 [12; 36, 5] мм/ч, уровня СРБ, измеренного высокочувствительным иммунонефелометрическим методом – 14,4 [5, 7; 30, 1] мг/л (табл. 1).
| Таблица 1. Общая характеристика больных РА при включении в исследование (n=128) | |
| Показатели | Значение | 
| Возраст, лет (М±SD) | 47,4±11,3 | 
| Пол (мужчины/женщины), n (%) | 17 (13,3)/111 (86,8) | 
| Длительность РА (Me [25; 75-й перцентиль]), мес | 96 [48; 228] | 
| Число припухших суставов (М±SD) | 8,4±6,3 | 
| Число припухших суставов (М±SD) | 12,4±7,0 | 
| Максимальная выраженность боли по BPI (BPImax), балл (М±SD) | 5,4±2,39 | 
| Индекс DAS28 (М±SD) | 5,27±1,78 | 
| Степень активности РА по индексу DAS28, n (%): | |
| • низкая | 24 (18,75) | 
| • умеренная | 56 (43,75) | 
| • высокая | 48 (37,5) | 
| Рентгенологическая стадия РА, n (%): | |
| I | 4 (3,1) | 
| II | 45 (35,2) | 
| III | 42 (32,8) | 
| IV | 37 (28,9) | 
| Функциональный класс РА, n (%) | |
| I | 38 (29,7) | 
| II | 62 (48,4) | 
| III | 27 (21,1) | 
| IV | 1 (0,8) | 
| Число больных с внесуставными проявлениями РА, n (%) | 57 (44,5) | 
| Число больных с внесуставными проявлениями РА в анамнезе, n (%) | 66 (51,6) | 
| Индекс HAQ (М±SD) | 1,42±0,78 | 
| Индекс EQ-5D (Me [25; 75-й перцентиль]), балл | |
| Визуальная аналоговая шкала общей оценки состояния здоровья пациентом (М±SD), мм | 52,9±22,0 | 
| Выраженность усталости по FSS (Me [25; 75-й перцентиль]), балл | |
| АЦЦП-позитивны, n (%) | 68 (53,1) | 
| РФ-позитивны, n (%) | 96 (75,0) | 
| РФ (Me [25; 75-й перцентиль]), МЕ/мл | |
| СОЭ по Вестергрену (Me) [25; 75-й перцентиль]), мм/ч | |
| Высокочувствительный СРБ (Me [25; 75-й перцентиль]), мг/л | |
Базисные противовоспалительные препараты (БПВП) на момент включения в исследование получали 108 (84,4%) больных, преимущественно метотрексат – 67 (52,3%), лефлуномид – 29 (22,7%), сульфасалазин – 9 (7,0%), метотрексат + лефлуномид – 3 (2,3%). Пациенты принимали БПВП не менее 60% от общего периода наблюдения, при этом до включения в исследование длительность приема БПВП не превышала 3 мес. Глюкокортикоиды внутрь принимали 89 (69,4%) больных, медиана дозы глюкокортикоидов (пересчет на преднизолон) составила 5 [0; 10] мг/сут, длительности приема – 8,5 [0; 60] мес, медиана суммарной дозы – 1,75 [0; 12, 8] г. Сорока одному (32%) пациенту назначены/продолжены генно-инженерные биологические препараты (ГИБП): ритуксимаб – 16, инфликсимаб – 10, тоцилизумаб – 8, абатацепт – 3, адалимумаб – 2, этанерцепт – 2. Длительность терапии ГИБП до включения в исследование не превышала 3 мес и варьировала от 1 года до 5 лет, длительность промежутка между курсами лечения ГИБП – не более 6 мес.
Оценка эффективности терапии осуществлялась по результатам анализа динамики активности РА по критериям EULAR [42], достижение ремиссии – по значениям DAS28 в конце исследования [43]. Для оценки влияния показателей, характеризующих РА и динамику стрессовых факторов и психического расстройства (ПР) на деструктивные изменения в костях и суставах, пациенты разделены по степени деструкции суставов на 2 подгруппы – с максимальной деструкцией (рентгенологическая стадия III и IV и/или остеонекроз) и минимальной деструкцией (I и II рентгенологическая стадия, остеонекрозов нет).
Все пациенты на момент включения в исследование, а затем повторно через 5 лет обследованы психологом и психиатром. Пациенты в случае выявления ПР и назначения ПФТ в 1-й месяц терапии осматривались еженедельно, а при необходимости более длительного приема препаратов – ежемесячно. Длительность ПФТ была индивидуальной, колебалась от 6 до 96 нед и зависела от варианта и тяжести ПР.
Диагностика и оценка динамики ПР в процессе лечения проводилась при помощи скрининговых и диагностических шкал в соответствии с классификационными критериями Международной классификации болезней 10-го пересмотра (МКБ-10) в ходе полуструктурированного интервью – госпитальной шкалы тревоги и депрессии HADS (Hospital Anxiety and Depression Scale) [44], шкалы тревоги Гамильтона HAM-A (Hamilton Anxiety Rating Scale) [45], шкалы Монтгомери–Асберг MADRS (Montgomery–Asberg Depression Rating Scale) [46], и с помощью проективных тестов (проективная патопсихологическая методика «Пиктограмма») [47–49]. Диагностика и определение выраженности когнитивных нарушений (КН) выполнялись с использованием стандартных клинико-психологических методик, которые предназначены для оценки концентрации внимания, механической и ассоциативной памяти, логического мышления [29–31].
РТДС выявлены у 96,1% пациентов (n=123), шизотипическое расстройство – у 10,2% (n=13), умеренные и выраженные КН – у 68,8% (n=88). В соответствии с МКБ-10 структура РТДС представлена преимущественно рекуррентным депрессивным расстройством – 40 (31,25%) и дистимией – 40 (31,25%), также у 20 (15,6%) диагностировано расстройство адаптации с тревожными симптомами, у 12 (9,4%) – единичный депрессивный эпизод, у 10 (7,8%) – генерализованное тревожное расстройство (ГТР), у 1 (0,8%) больного диагностировано биполярное аффективное расстройство. По DSM-5 (Diagnostic and Statistical Manual of mental disorders, fifth edition) [53] у 52 (42,3%) диагностированы малые депрессивные расстройства (легкий депрессивный эпизод, дистимия), у 41 (33,3%) – большие депрессивные расстройства (депрессивный эпизод умеренный и выраженный), у 30 (24,4%) – тревожные расстройства (ГТР, расстройство адаптации с тревожными симптомами). У 5 (3,9%) больных не выявлено психической патологии (табл. 2).
| Таблица 2. Частота и структура ПР при включении в исследование | ||
| Психиатрический диагноз по МКБ-10, n (%) | Нет | 5 (3,9) | 
| Дистимия | 40 (31,25) | |
| Рекуррентная депрессия | 40 (31,25) | |
| Расстройство адаптации | 20 (15,6) | |
| Единичный депрессивный эпизод | 12 (9,4) | |
| ГТР | 10 (7,8) | |
| Шизотипическое расстройство | 13 (10,2) | |
| Биполярное аффективное расстройство | 1 (0,8) | |
| КН, n (%) | 88 (68,7) | |
| Психиатрический диагноз по DSM-5, n (%) | Малая депрессия | 52 (42,3) | 
| Большая депрессия | 41 (33,3) | |
| Тревожное расстройство | 30 (24,4) | |
В зависимости от варианта и структуры ПР больным предложена ПФТ, в большинстве случаев антидепрессантами (миансерин, сертралин, амитриптилин, агомелатин). В ряде случаев назначались нейролептики (флюпентиксол, кветиапин, сульпирид), эпизодически – анксиолитики (гидроксизин, бромдигидрохлорфенилбензодиазепин). Согласились на ПФТ 52 из 123 пациентов, 71 – не получал терапию в связи с отказом или невозможностью динамического наблюдения у психиатра. В зависимости от схемы лечения пациенты с ПР распределены на 4 группы: 1-я – БПВП (n=39), 2-я – БПВП+ПФТ (n=43), 3-я – БПВП+ГИБП (n=32), 4-я – БПВП+ГИБП+ПФТ (n=9).
Для статистического анализа использовались пакеты программ Statistica 12.5 и SPSS 23 с применением методов параметрической и непараметрической статистики. Усредненные показатели представлены в виде М±SD, а также как медианы с интерквартильным размахом (Ме [25-й; 75-й перцентиль]). Для сравнения средних применяли дисперсионный анализ. Если использование методов параметрической статистики могло быть некорректным, сравнения между группами проводили с использованием критерия Манна–Уитни. Различия для таблиц сопряженности определяли с использованием критерия (точный тест Фишера). Для корреляционного анализа применяли коэффициент корреляции Пирсона. Статистическая значимость различий определялась при р<0,05. При использовании метода многомерной линейной регрессии прогноз значений переменной по показателям осуществляется в виде . Коэффициенты в таблицах – нестандартизованные, для сравнительного анализа вклада факторов в прогностической модели приведены таблицы коэффициентов – стандартизованных коэффициентов, определяемых как
Чтобы определить клиническую значимость итоговой формулы, применялся метод построении ROC-кривой, которая отражает зависимость частоты истинно положительных результатов (чувствительность) от частоты ложноположительных результатов (1 – специфичность). Клиническая информативность прогностической силы факторов определялась с помощью вычисления площади под ROC-кривой (0,5 – отсутствие прогностической силы, 1,0 – максимальная прогностическая сила) [54].
Результаты
Через 5 лет из 123 человек на очередной визит явились 83 (67,5%). Продолжали принимать БПВП, преимущественно метотрексат (63%) и лефлуномид (15%), 85% пациентов, 22,7% – ГИБП. У 13 (15,7%) пациентов сохранялась высокая активность заболевания, у 39 (47%) – умеренная, 12 (14,4%) – низкая. У 19 (22,9%) пациентов зарегистрирована ремиссия по DAS28. По критериям EULAR через 5 лет наблюдения хороший ответ на терапию отмечался у 22 (26,5%) больных, у 37 (44,6%) – удовлетворительный, 24 (28,9%) пациента не ответили на терапию. Динамика показателей активности и эффективности терапии РА, как и динамика РТДС и их выраженности по шкалам MADRS и HAM-A, подробно проанализированы в предыдущих статьях [22, 55].
Среди всех пациентов, вошедших в исследование, исходно больные со II, III, и IV рентгенологическими стадиями РА встречались значимо чаще, чем с I стадией (табл. 3). Через 5 лет рентгенологическое прогрессирование РА отмечено у большинства пациентов – диагностированы III и IV рентгенологические стадии, II стадия наблюдалась значимо реже, а I – вовсе отсутствовала. При этом доля пациентов со II стадией через 5 лет значимо уменьшилась (35,2% против 19,3%, относительный риск – ОР 1,33, 95% доверительный интервал – ДИ 0,69–2,56; p=0,009), а с IV – значимо возросла (28,9% против 44,6%, ОР 0,75, 95% ДИ 0,42–1,34; p=0,014).
| Таблица 3. Динамика рентгенологических изменений у больных РА через 5 лет наблюдения | |||||
| Рентгенологическая стадия | I | II | III | IV | Значение p | 
| Исходно, n=128 | 4 (3,1) | 45 (35,2) | 42 (32,8) | 37 (28,9) | p1–2,1–3,1–4<0,001 | 
| Через 5 лет, n=83 | 0 (0) | 16 (19,3)* | 30 (36,1) | 37 (44,6)* | p2–3=0,011; p2–4<0,001 | 
| Примечание. Значения представлены как количество (доля в процентах); р1-2<0,001 и т.п. – достоверность различий между группами с соответствующими номерами, определенная тестом ÷2; *р<0,01 по сравнению с исходным значением. | |||||
Исходно максимальная деструкция суставов определялась у 81 (63,2%) против 47 (36,7%) с минимальной деструкцией и через 5 лет соответственно, у 70 (85,5%) против 13 (14,5%). Также мы оценили динамику максимальной деструкции суставов отдельно для каждой группы (табл. 4). Как видно из представленной табл. 4, исходно доля больных РА с максимальной суставной деструкцией во всех группах была сходной. Через 5 лет процент больных с максимальной деструкцией суставов значимо увеличился по сравнению с исходным значением в 1-й (87,5% против 64,1%, ОР 2,59, 95% ДИ 0,65–10,2; р=0,038) и 3-й (90,5% против 62,5%, ОР 3,41, 95% ДИ 0,67–17,3; р=0,022) группах, однако в остальных группах динамика оказалась статистически незначимой, и группы достоверно не различались между собой. Таким образом, через 5 лет максимальной деструкции достигают большинство больных РА.
| Таблица 4. Частота максимальной деструкции суставов в зависимости от терапии через 5 лет наблюдения | |||||
| Число больных с максимальной деструкцией в динамике | БПВП, n=39–24 | БПВП+ПФТ, n=43–29 | БПВП+ГИБП, n=32–21 | БПВП+ ПФТ+ ГИБП, n=9–9 | Значение p | 
| 1-я группа | 2-я группа | 3-я группа | 4-я группа | ||
| Исходно, n=128 | 25 (64,1) | 23 (53,5) | 20 (62,5) | 6 (66,7) | н/д | 
| Через 5 лет, n=83 | 21 (87,5)* | 21 (72,4) | 19 (90,5)* | 9 (100) | н/д | 
| Примечание. Здесь и далее в табл. 5: значения представлены как количество (доля в процентах); н/д – различия недостоверны, *р<0,05 по сравнению с исходным значением. | |||||
Мы сравнили больных с исходно максимальной и минимальной деструкцией суставов по показателям, характеризующим стрессовые факторы и ПР (табл. 5). У больных с максимальной суставной деструкцией значимо чаще встречалось хроническое малое депрессивное расстройство (44,4% против 27,7%, ОР 1,29, 95% ДИ 0,59–2,8; р=0,044) и, в частности, дистимия (34,6% против 14,9%, ОР 1,4; 95% ДИ 0,56–3,54; р=0,012).
| Таблица 5. Частота встречаемости ПР в зависимости от степени исходной деструкции суставов | ||||
| Психиатрический диагноз | Максимальная деструкция, n=81 | Минимальная деструкция, n=47 | Значение p | |
| По МКБ-10 | Норма | 4 (4,9) | 1 (2,1) | н/д | 
| Расстройство адаптации | 7 (8,6) | 9 (19,1) | н/д | |
| ГТР | 7 (8,6) | 5 (10,6) | н/д | |
| Дистимия | 28 (34,6) | 7 (14,9) | 0,012 | |
| Рекуррентная депрессия | 27 (33,3) | 20 (42,6) | н/д | |
| Единичный депрессивный эпизод | 7 (8,6) | 5 (10,6) | н/д | |
| Биполярное аффективное расстройство | 1 (1,2) | 0 (0) | н/д | |
| По DSM-5 | Тревожное расстройство | 14 (17,3) | 14 (29,8) | н/д | 
| Малая депрессия | 36 (44,4) | 13 (27,7) | 0,044 | |
| Большая депрессия | 27 (33,3) | 19 (40,4) | н/д | |
| Шизотипическое расстройство | 8 (9,9) | 5 (10,6) | н/д | |
| КН | 58 (71,6) | 30 (63,8) | н/д | |
| Примечание: р=0,011 и т.п. – достоверность различий между группами. | ||||
Также подгруппа больных с максимальной деструкцией суставов характеризовалась значимо менее выраженной тревогой (HAM-A) и большей длительностью РТДС по сравнению с больными с минимальной деструкцией (табл. 6).
| Таблица 6. Вероятность выявления и длительность РТДС, выраженность депрессивных расстройств, тревоги и повседневного стресса в зависимости от степени исходной деструкции суставов | |||
| Показатель | Максимальная деструкция (n=81) | Минимальная деструкция (n=47) | Значение p | 
| Положительный скрининг на РТДС (опросник WBI-5), n (%) | 61 (75,3) | 36 (76,6) | н/д | 
| Выраженность тревоги (по HADS), балл | 8,1±4 | 7,9±4,1 | н/д | 
| Выраженность депрессивных расстройств (по HADS), балл | 5,8±3,6 | 5,8±3,4 | н/д | 
| Выраженность тревоги (по HAM-A), балл | 19,8±4,1 | 21,7±4,5 | 0,003 | 
| Выраженность депрессивных расстройств (по MADRS), балл | 20±6,7 | 19,8±6,7 | н/д | 
| Выраженность повседневного стресса (по PSS-10), балл | 18,5±5,6 | 16,6±8,5 | н/д | 
| Длительность РТДС, мес | 120 [60; 240] | 48 [12; 120] | 0,013 | 
| Примечание. Значения представлены как M±SD, или количество (доля в процентах), или Me [25%; 75% квартили]; р=0,003 и т.п. – достоверность различий между группами. | |||
С помощью метода линейной регрессии произведена оценка сочетанного влияния различных факторов на развитие максимальной деструкции суставов через 5 лет наблюдения. Сначала рассчитывали коэффициенты корреляции максимальной деструкции суставов с различными характеристиками РА и РТДС (табл. 7).
| Таблица 7. Коэффициенты корреляции максимальной деструкции суставов через 5 лет с различными характеристиками больных РА (одномерный корреляционный анализ) | ||
| Показатель | Коэффициент корреляции Пирсона (r) | Значение p | 
| BPImax через 5 лет, баллы | 0,456 | <0,001 | 
| Клинически значимая усталость (FSS≥4) через 5 лет | 0,398 | 0,005 | 
| Ремиссия по DAS28 через 5 лет | -0,386 | 0,001 | 
| Длительность РА, годы | 0,380 | <0,001 | 
| HAQ через 5 лет, балл | 0,378 | 0,002 | 
| Ремиссия по DAS28 через 1 год | -0,316 | 0,02 | 
| Тревожные расстройства через 5 лет | -0,262 | 0,036 | 
| Ишемическая болезнь сердца через 5 лет | 0,258 | 0,038 | 
| Принадлежность к группе 2 (БПВП+ПФТ) | -0,233 | 0,018 | 
| BPImax исходно, балл | 0,224 | 0,021 | 
| Длительность РТДС, годы | 0,222 | 0,067 | 
| Клинически значимая усталость (FSS≥4) исходно | 0,219 | 0,049 | 
| HAQ исходно, балл | 0,210 | 0,032 | 
| Внесуставные проявления РА исходно | 0,205 | 0,035 | 
| DAS28 исходно, балл | 0,198 | 0,041 | 
| Принадлежность к 4-й группе (БПВП+ГИБП+ПФТ) | 0,104 | 0,292 | 
| Принадлежность к 3-й группе (БПВП+ГИБП) | 0,077 | 0,44 | 
| Малая депрессия через 5 лет | 0,153 | 0,228 | 
| РТДС отсутствуют через 5 лет | -0,149 | 0,249 | 
| Рекуррентная депрессия через 5 лет | 0,149 | 0,249 | 
| Принадлежность к 1-й группе (БПВП) | 0,053 | 0,59 | 
Наиболее «сильным» фактором, связанным с максимальной деструкцией суставов через 5 лет, является «выраженность максимальной боли по шкале BPI через 5 лет», в связи с чем именно этот фактор включен в регрессионную модель прогнозирования и определен поправленный квадрат коэффициента корреляции. Затем повторно рассчитывалась регрессионная модель прогнозирования, в которой к фактору «Выраженность максимальной боли по шкале BPI через 5 лет» добавлен следующий по силе фактор – «Клинически значимая усталость (FSS≥4) через 5 лет» и так далее. Величина поправленного квадрата коэффициента корреляции корректировалась при добавлении в модель каждого нового фактора. При отсутствии возрастания величины поправленного квадрата коэффициента корреляции по сравнению с полученным ранее следующий фактор удалялся из списка. Затем с целью повышения качества прогноза удалены факторы с недостоверным весом [54].
В результате многофакторного анализа получена прогностическая модель, согласно которой с максимальной суставной деструкцией через 5 лет ассоциируются: исходно более выраженная максимальная боль по шкале BPI, большая длительность РА и РТДС, исходно клинически значимая усталость, исходное наличие внесуставных проявлений РА, а также сохраняющееся рекуррентное депрессивное расстройство через 5 лет и принадлежность к 1-й группе терапии (отрицательный коэффициент показателя «Длительность РТДС, годы» в модели означает, что его влияние уже учтено другими факторами); табл. 8.
| Таблица 8. Прогностическая регрессионная модель максимальной деструкции суставов через 5 лет наблюдения в зависимости от факторов, характеризующих РА и РТДС | |||
| Факторы | Нестандартизованные коэффициенты | Стандартизованные коэффициенты | |
| B | Стандартная ошибка | β | |
| Константа | 0,397 | 0,153 | |
| Длительность РА, годы | 7,94¥10-5 | 0 | 0,409 | 
| BPImax исходно | 0,021 | 0,021 | 0,147 | 
| Длительность РТДС, годы | -0,005 | 0,006 | -0,152 | 
| Клинически значимая усталость (FSS≥4) исходно | 0,151 | 0,11 | 0,208 | 
| Внесуставные проявления РА исходно | 0,083 | 0,09 | 0,13 | 
| Рекуррентная депрессия через 5 лет | 0,139 | 0,097 | 0,207 | 
| Терапия БПВП (1-я группа) | 0,052 | 0,089 | 0,083 | 
Характеристики регрессионной модели (табл. 9) демонстрируют статистическую значимость (p<0,032) и умеренную прогностическую ценность модели (R=0,561; R2=0,315; скорректированный R2=0,189).
| Таблица 9. Характеристики регрессионной модели | |||||
| R | R2 | Скорректированный R2 | Стандартная ошибка оценки | F | Значимость | 
| 0,561 | 0,315 | 0,189 | 0,28550 | 2,499 | 0,032 | 
На основе b-коэффициентов рассчитана формула, которая позволяет прогнозировать выявление максимальной деструкции суставов через 5 лет на основе значений показателей, характеризующих РА и РТДС:
Прогноз максимальной деструкции суставов через 5 лет = 0,397 + 0,001 ¥ «Длительность РА, годы» + 0,021 ¥ «BPImax исходно» – 0,005 ¥ «Длительность РТДС, годы» + 0,151 х «Клинически значимая усталость (FSS≥4) исходно» + 0,083 ¥ «Внесуставные проявления РА исходно» + 0,139 ¥ «Рекуррентное депрессивное расстройство через 5 лет» + 0,052 ¥ «терапия БПВП (1-я группа)»,
где «Длительность РА» – в годах; «BPImax исходно» – в баллах; «Длительность РТДС» – в годах; «Клинически значимая усталость (FSS≥4) исходно» – наличие усталости (0 – нет, 1 – есть); «Внесуставные проявления РА исходно» – наличие внесуставных проявлений (0 – нет; 1 – есть); «Рекуррентное депрессивное расстройство через 5 лет» – наличие повторяющихся депрессивных эпизодов в рамках рекуррентного депрессивного расстройства (0 – нет, 1 – есть); «Терапия БПВП (1-я группа)» – принадлежность к 1-й группе, где пациенты получали только БПВП, без ГИБП и ПФТ (0 – нет, 1 – да).
Чтобы сделать возможным расчет вероятности максимальной деструкции суставов через 5 лет в зависимости от характеристик РА и РТДС, значения коэффициента прогноза распределены на 2 группы: ≤0,746 и >0,746. Значение ≤0,746 соответствует вероятности максимальной деструкции 46,2%, от 0,746 – 91,3%, различия статистически значимы – p (÷2 Пирсона) = 0,005; чувствительность – 77,8%, специфичность – 77,8% (табл. 10).
| Таблица 10. Преобразование величины прогноза в вероятность максимальной деструкции суставов через 5 лет | |||
| Величина прогноза максимальной деструкции, n=36 | Минимальная деструкция | Максимальная деструкция | Доля больных с максимальной деструкцией суставов, % | 
| абсолютное число больных, n | |||
| ≤0,746 | 7 | 6 | 46,2 | 
| >0,746 | 2 | 21 | 91,3 | 
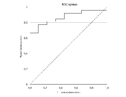
Точность прогностической модели оценивалась при помощи построения графика ROC-кривой и расчета площади под кривой (AUC); см. рисунок. Для данной модели AUC=0,872 (p<0,001), что характеризует прогностическую точность модели как высокую (табл. 11).
ROC-кривая соотношения чувствительность/специфичность прогноза выявления максимальной деструкции суставов при РА (площадь под кривой – 0,872).
| Таблица 11. Характеристики ROC-кривой | ||||
| Площадь под кривой | ||||
| область | стандартная ошибка | асимптотическая значимость | асимптотический 95% ДИ | |
| нижняя граница | верхняя граница | |||
| 0,872 | 0,058 | <0,001 | 0,758 | 0,987 | 
Обсуждение
В 5-летнем исследовании мы оценили влияние различных факторов, связанных с течением и терапией РА, а также коморбидными РТДС и их ПФТ, на степень деструкции суставов.
Согласно полученным данным, уже в начале исследования максимальная суставная деструкция (рентгенологическая стадия III, IV и/или остеонекроз) наблюдалась более чем у 1/2 (63,2%) больных. В этой подгруппе значимо чаще, чем у больных с минимальной деструкцией, встречалась малая депрессия (в частности, дистимия) и отмечалась существенно большая длительность РТДС. Вероятно, это наблюдение отражает закономерность, хорошо прослеженную в ряде недавних популяционных исследований: у больных РА незадолго до дебюта основного заболевания наблюдается значимое повышение частоты выявления депрессивных расстройств по сравнению с общей популяцией [56, 57]. Иначе говоря, у части больных, по нашим данным, у 64 (52%) человек, депрессивные расстройства предвосхищали РА или развивались одновременно с ним и, принимая хронический характер течения, сохранялись к моменту включения в исследование, что подтверждает и значимый коэффициент корреляции между длительностью РТДС и длительностью РА (r=0,41; p<0,01).
Через 5 лет доля больных с максимальной суставной деструкцией существенно возросла во всех группах (во 2 и 4-й группах различия не достигли статистической значимости), и максимальная деструкция обнаруживалась уже у 85,5% больных. Чтобы выделить факторы, связанные с максимальной суставной деструкцией к 5-му году наблюдения, мы воспользовались методом многофакторного линейного анализа.
Наиболее значимым фактором оказалась длительность заболевания, что вполне ожидаемо ввиду неуклонного характера прогрессирования костно-суставной деструкции при РА [4]. Ассоциировалась с выраженностью деструкции и длительность РТДС, которая, как уже отмечено, в немалой степени связана с длительностью РА. Также деструкция суставов ассоциировалась с исходно выраженной болью и наличием внесуставных проявлений РА, что отражает активность системного воспаления в начале исследования, и рекуррентным (хроническим) депрессивным расстройством, которое, как известно, негативно влияет на вероятность достижения низкой активности и ремиссии РА [14, 18, 21]. Наши данные перекликаются с результатами работы L. Zhang и соавт. [58], в которой с помощью логистического регрессионного анализа показано, что большая длительность и высокая воспалительная активность РА, позитивность по АЦЦП, низкий уровень образования, а также большая выраженность депрессивного расстройства, функциональная недостаточность и низкое качество жизни ассоциируются с деструкцией суставов кистей.
Интересно, что с максимальной суставной деструкцией в нашем исследовании ассоциировалась терапия только БПВП. Терапия ГИБП, как и ожидалось, существенно замедляла прогрессирование суставной деструкции за счет более существенного подавления локального и системного воспаления. Отмеченное нами положительное воздействие ПФТ на замедление рентгенологического прогрессирования вряд ли связано с непосредственным влиянием на периферическое воспаление и эрозивный процесс. По всей видимости, данное наблюдение ассоциировано с исходно более низкой частотой максимальной деструкции в группе БПВП+ПФТ, а также является следствием более высокой эффективности терапии, связанной с повышением приверженности лечению РА на фоне редукции тревожных и депрессивных расстройств [37, 38, 59].
Еще одним фактором, ассоциированным с выраженностью деструкции, оказалась исходная клинически значимая усталость (FSS≥4) – субъективное переживание, которое существенно снижает качество жизни больных и в различной степени опосредуется целым рядом соматических и психических факторов, наиболее значимыми из которых являются выраженность боли и наличие депрессивных расстройств [60]. Усталость у больных РА, как правило, сохраняется на протяжении многих месяцев и лет, лишь несколько уменьшаясь на фоне противовоспалительной терапии, в связи с чем она, будучи выявленной однократно, может рассматриваться как важный предиктор неблагоприятного прогноза заболевания [16].
Заключение
В настоящем исследовании мы с помощью регрессионного анализа оценили выраженность суставной деструкции у больных РА с сопутствующими психическими расстройствами. Все больные в течение 5 лет получали базисную и генно-инженерную биологическую терапию в сочетании с психофармакотерапией или без нее, а также проанализировали факторы, влияющие на выраженность деструкции в нашей когорте больных. Согласно полученным данным с более выраженной суставной деструкцией ассоциируются длительность РА и РТДС, исходно более выраженная усталость и боль, исходное наличие внесуставных проявлений РА, рекуррентного депрессивного расстройства, сохраняющегося к 5-му году наблюдения, а также отсутствие терапии ГИБП и/или ПФТ. Влияние психических расстройств и их ПФТ на рентгенологическое прогрессирование РА требует дальнейшего изучения.
About the authors
A. A. Abramkin
Nasonova Research Institute of Rheumatology
							Author for correspondence.
							Email: 79096237832@ya.ru
				                	ORCID iD: 0000-0002-1504-5645
				                																			                								
врач-ревматолог
Russian Federation, MoscowT. A. Lisitsyna
Nasonova Research Institute of Rheumatology
														Email: 79096237832@ya.ru
				                	ORCID iD: 0000-0001-9437-406X
				                																			                								
вед. науч. сотр. лаб. сосудистой ревматологии
Russian Federation, MoscowD. Yu. Veltishchev
Moscow Research Institute of Psychiatry – branch of the Serbskiy National Medical Research Center of Psychiatry and Narcology; Pirogov Russian National Research Medical University
														Email: 79096237832@ya.ru
				                	ORCID iD: 0000-0001-5210-2605
				                																			                								
рук. отд-ния психических расстройств при соматических заболеваниях; проф. каф. психиатрии
Russian Federation, MoscowO. F. Seravina
Moscow Research Institute of Psychiatry – branch of the Serbskiy National Medical Research Center of Psychiatry and Narcology
														Email: 79096237832@ya.ru
				                	ORCID iD: 0000-0001-5839-4637
				                																			                								
науч. сотр. отд-ния психических расстройств при соматических заболеваниях
Russian Federation, MoscowO. B. Kovalevskaya
Moscow Research Institute of Psychiatry – branch of the Serbskiy National Medical Research Center of Psychiatry and Narcology
														Email: 79096237832@ya.ru
				                					                																			                								
науч. сотр. отд-ния психических расстройств при соматических заболеваниях МНИИ психиатрии
Russian Federation, MoscowS. I. Glukhova
Nasonova Research Institute of Rheumatology
														Email: 79096237832@ya.ru
				                	ORCID iD: 0000-0002-4285-0869
				                																			                								
науч. сотр. лаб. научно-организационных проблем ревматологии
Russian Federation, MoscowE. L. Nasonov
Nasonova Research Institute of Rheumatology
														Email: 79096237832@ya.ru
				                	ORCID iD: 0000-0002-1598-8360
				                																			                												                	Russian Federation, 							Moscow						
References
- Насонов Е.Л. Ревматология. Российские клинические рекомендации. М.: ГЭОТАР-Медиа, 2017 [Nasonov EL. Revmatologiya. Rossijskie klinicheskie rekomendacii. Moscow: GEOTAR-Media, 2017 (In Russ.)].
- Favalli EG, Becciolini A, Biggioggero M. Structural integrity versus radiographic progression in rheumatoid arthritis. RMD Open. 2015;1(Suppl. 1):e000064. doi: 10.1136/rmdopen-2015-000064
- Schett G, Gravallese E. Bone erosion in rheumatoid arthritis: Mechanisms, diagnosis and treatment. Nat Rev Rheumatol. 2012;8(11):656-64. doi: 10.1038/nrrheum.2012.153
- Чичасова Н.В. Деструкция хряща при ревматоидном артрите, связь с функциональными нарушениями. Совр. ревматология. 2014;(4):60-71 [Chichasova NV. Cartilage destruction in rheumatoid arthritis, its association with functional impairments. Modern Rheumatology Journal. 2014;8(4):60-71 (In Russ.)]. doi: 10.14412/2074-2711-2014-4-60-71
- Smolen JS, Landewé R, Bijlsma J, et al. EULAR recommendations for the management of rheumatoid arthritis with synthetic and biological disease-modifying antirheumatic drugs: 2016 update. Ann Rheum Dis. 2017;76(6):960-77. doi: 10.1136/annrheumdis-2016-210715
- Dougados M, Soubrier M, Antunez A, et al. Prevalence of comorbidities in rheumatoid arthritis (ra) and evaluation of their monitoring: results of an international, cross-sectional study (COMORA). Ann Rheum Dis. 2013;72:600.
- Лисицына Т.А., Вельтищев Д.Ю. Психические расстройства у больных ревматическими заболеваниями: диагностика и лечение. Научно-практич. ревматология. 2015;53(5):512-21 [Lisitsyna TA, Veltishchev DY. Mental disorders in patients with rheumatic diseases: diagnosis and treatment. Rheumatology Science and Practice. 2015;53(5):512-21 (In Russ.)]. doi: 10.14412/1995-4484-2015-512-521
- Soósová MS, Macejová Ž, Zamboriová M, Dimunová L. Anxiety and depression in Slovak patients with rheumatoid arthritis. J Ment Heal. 2017 Feb;26(1):21-7. doi: 10.1080/09638237.2016.1244719
- Gåfvels C, Hägerström M, Rane K, et al. Depression and anxiety after 2 years of follow-up in patients diagnosed with diabetes or rheumatoid arthritis. Heal Psychol Open. 2016;3(2):205510291667810. doi: 10.1177/2055102916678107
- Fiest KM, Hitchon CA, Bernstein CN, et al. Systematic Review and Meta-analysis of Interventions for Depression and Anxiety in Persons With Rheumatoid Arthritis. JCR J Clin Rheumatol. 2017;23(Issue 8): 425-34. doi: 10.1097/RHU.0000000000000489
- Лисицына Т.А., Вельтищев Д.Ю., Насонов Е.Л. Стрессовые факторы и депрессивные расстройства при ревматических заболеваниях. Научно-практич. ревматология. 2013;51(2):98-103 [Lisitsyna TA, Veltishchev DY, Nasonov EL. Stressors and depressive disorders in rheumatic diseases. Rheumatology Science and Practice. 2013;51(2):98-103 (In Russ.)]. doi: 10.14412/1995-4484-2013-634
- Ахунова Р.Р., Якупова С.П., Яхин К.К., Салихов И.Г. Пограничные психические расстройства при ревматоидном артрите (по данным опросника К.К. Яхина и Д.М. Менделевича). Научно-практич. ревматология. 2012;50(2):56-8 [Akhunova RR, Yakupova SP, Yakhin KK, Salikhov IG. Borderline psychic disorders in patients with rheumatoid arthritis (according to the data of the questionnaire of K.K. Yakhin and D.M. Mendelevich). Rheumatology Science and Practice. 2012;50(2):56-8 (In Russ.)]. doi: 10.14412/1995-4484-2012-1274
- Rupp I, Boshuizen HC, Dinant HJ, et al. Disability and health-related quality of life among patients with rheumatoid arthritis: Association with radiographic joint damage, disease activity, pain, and depressive symptoms. Scand J Rheumatol. 2006;35(3):175-81. doi: 10.1080/03009740500343260
- Euesden J, Matcham F, Hotopf M, et al. The Relationship Between Mental Health, Disease Severity, and Genetic Risk for Depression in Early Rheumatoid Arthritis. Psychosom Med. 2017;79(6):638-45. doi: 10.1097/PSY.0000000000000462
- Kronisch C, McLernon DJ, Dale J, et al. Brief Report: Predicting Functional Disability: One-Year Results From the Scottish Early Rheumatoid Arthritis Inception Cohort. Arthritis Rheumatol. 2016;68(7):1596-602. doi: 10.1002/art.39627
- Katz P. Fatigue in Rheumatoid Arthritis. Curr Rheumatol Rep. 2017;19(5):25. doi: 10.1007/s11926-017-0649-5
- Curtis JR, Bykerk VP, Aassi M, Schiff M. Adherence and persistence with methotrexate in rheumatoid arthritis: A systematic review. J Rheumatol. 2016;43(11):1997-2009. doi: 10.3899/jrheum.151212
- Rathbun AM, Harrold LR, Reed GW. Temporal effect of depressive symptoms on the longitudinal evolution of rheumatoid arthritis disease activity. Arthritis Care Res. 2015;67(6):765-75. doi: 10.1002/acr.22515
- Matcham F, Norton S, Scott DL, et al. Symptoms of depression and anxiety predict treatment response and long-term physical health outcomes in rheumatoid arthritis: secondary analysis of a randomized controlled trial. Rheumatology (Oxford). 2015;(September 2015):269-78. doi: 10.1093/rheumatology/kev306
- Hider SL, Tanveer W, Brownfield A, et al. Depression in RA patients treated with anti-TNF is common and under-recognized in the rheumatology clinic. Rheumatology. 2009;48(9):1152-4. doi: 10.1093/rheumatology/kep170
- Michelsen B, Kristianslund EK, Sexton J, et al. Do depression and anxiety reduce the likelihood of remission in rheumatoid arthritis and psoriatic arthritis? Data from the prospective multicentre NOR-DMARD study. Ann Rheum Dis. 2017;76(11):1906-10. doi: 10.1136/annrheumdis-2017-211284
- Абрамкин А.А. Влияние коморбидных психических расстройств на эффективность терапии у больных ревматоидным артритом. Научно-практич. ревматология. 2016;54(3):339-45 [Abramkin AA. Impact of comorbid mental disorders on the efficiency of therapy in patients with rheumatoid arthritis. Rheumatology Science and Practice. 2016;54(3):339-45 (In Russ.)]. doi: 10.14412/1995-4484-2016-339-345
- Matcham F, Ali S, Irving K, et al. Are depression and anxiety associated with disease activity in rheumatoid arthritis? A prospective study. BMC Musculoskelet Dis. 2016;17(1):155. doi: 10.1186/s12891-016-1011-1
- Schmidt FM, Schröder T, Kirkby KC, et al. Pro- and anti-inflammatory cytokines, but not CRP, are inversely correlated with severity and symptoms of major depression. Psychiatry Res. 2016;239:85-91. doi: 10.1016/j.psychres.2016.02.052
- Haapakoski R, Mathieu J, Ebmeier KP, et al. Cumulative meta-analysis of interleukins 6 and 1β, tumour necrosis factor α and C-reactive protein in patients with major depressive disorder. Brain Behav Immun. 2015;49:206-15. doi: 10.1016/j.bbi.2015.06.001
- Duivis HE, Vogelzangs N, Kupper N, et al. Differential association of somatic and cognitive symptoms of depression and anxiety with inflammation: Findings from the netherlands study of depression and anxiety (NESDA). Psychoneuroendocrinology. 2013;38(9):1573-85. doi: 10.1016/j.psyneuen.2013.01.002
- Petersen LE, Baptista TSA, Molina JK, et al. Cognitive impairment in rheumatoid arthritis: role of lymphocyte subsets, cytokines and neurotrophic factors. Clin Rheumatol. January 2018. doi: 10.1007/s10067-018-3990-9
- Caneo C, Marston L, Bellón JÁ, King M. Examining the relationship between physical illness and depression: Is there a difference between inflammatory and non inflammatory diseases? A cohort study. Gen Hosp Psychiatry. 2016;43:71-7. doi: 10.1016/j.genhosppsych.2016.09.007
- Ozgonenel L, Cetin E, Tutun S, et al. The relation of serum vascular endothelial growth factor level with disease duration and activity in patients with rheumatoid arthritis. Clin Rheumatol. 2010;29(5):473-7. doi: 10.1007/s10067-009-1343-4
- Szekanecz Z, Koch AE. VEGF as an activity marker in rheumatoid arthritis. Int J Clin Rheumatol. 2010;5(3):287-9. doi: 10.2217/IJR.10.24
- Strawbridge R, Young AH, Cleare AJ. Biomarkers for depression: Recent insights, current challenges and future prospects. Neuropsychiatr Dis Treat. 2017;13:1245-62. doi: 10.2147/NDT.S114542
- Geusens P. The role of RANK ligand/osteoprotegerin in rheumatoid arthritis. Ther Adv Musculoskelet Dis. 2012;4(4):225-33. doi: 10.1177/1759720X12438080
- Cocchi M, Tonello L, Gabrielli F, Pregnolato M. Depression, osteoporosis, serotonin and cell membrane viscosity between biology and philosophical anthropology. Ann Gen Psychiatry. 2011;10:9. doi: 10.1186/1744-859X-10-9
- Hulejová H, Andrés Cerezo L, Kuklová M, et al. Novel adipokine fibroblast growth factor 21 is increased in rheumatoid arthritis. Physiol Res. 2012;61(5):489-94. doi: 932324 [pii]
- Sato H, Kazama JJ, Murasawa A, et al. Serum Fibroblast Growth Factor 23 (FGF23) in Patients with Rheumatoid Arthritis. Intern Med. 2016;55(2):121-6. doi: 10.2169/internalmedicine.55.5507
- Gururajan A, Clarke G, Dinan TG, Cryan JF. Molecular biomarkers of depression. Neurosci Biobehav Rev. 2016;64:101-33. doi: 10.1016/ j.neubiorev.2016.02.011
- Яльцева Н.В., Григорьева Е.А., Коршунов Н.И. Применение антидепрессантов у больных ревматоидным артритом с коморбидной депрессией. Научно-практич. ревматология. 2009;(1):43-9 [Yaltse- va NV, Grigorjeva EA, Korshunov NI. Antidepressants administration in rheumatoid arthritiswith comorbid depression. Rheumatology Science and Practice. 2009;47(1):43-9 (In Russ.)]. doi: 10.14412/1995-4484-2009-141
- Абрамкин А.А., Лисицына Т.А., Вельтищев Д.Ю. и др. Влияние адекватной психофармакотерапии на эффективность лечения больных ревматоидным артритом. Научно-практич. ревматология. 2018;56(2):173-83 [Abramkin AA, Lisitsyna TA, Veltishchev DY, et al. The impact of adequate psychopharmacotherapy on the efficiency of treatment in patients with rheumatoid arthritis. Rheumatology Science and Practice. 2018;56(2):173-83 (In Russ.)]. doi: 10.14412/1995-4484-2018-173-183
- Абрамкин А.А., Лисицына Т.А., Вельтищев Д.Ю. и др. Факторы, влияющие на эффективность терапии у больных ревматоидным артритом: роль коморбидной психической и соматической патологии. Научно-практич. ревматология. 2018;56(4):439-48 [Abram- kin AA, Lisitsyna TA, Veltishchev DY, et al. Factors influencing the efficiency of therapy in patients with rheumatoid arthritis: the role of comorbid mental and somatic diseases. Rheumatology Science and Practice. 2018;56(4):439-48 (In Russ.)]. doi: 10.14412/1995-4484-2018-439-448
- Aletaha D, Neogi T, Silman AJ, et al. 2010 Rheumatoid arthritis classification criteria: An American College of Rheumatology/European League Against Rheumatism collaborative initiative. Arthritis Rheum. 2010;62(9):2569-81. doi: 10.1002/art.27584
- Амирджанова В.Н., Койлубаева Г.Н., Горячев Д.В. и др. Валидация русско-язычной версии Health Assessment Questionnaire (HAQ). Научно-практич. ревматология. 2004;(2):59-64 [Amirdjanova VN, Koilubaeva GM, Goryachev DV, et al. Validation of Russian version of Health Assessment Questionnaire (HAQ) Rheumatology Science and Practice. 2004;(2):59-64 (In Russ.)].
- Fransen J, van Riel PLCM. The Disease Activity Score and the EULAR Response Criteria. Rheum Dis Clin North Am. 2009;35(4):745-57. doi: 10.1016/j.rdc.2009.10.001
- Van Gestel AM, Prevoo ML, van’t Hof MA, et al. Development and validation of the European League Against Rheumatism response criteria for rheumatoid arthritis. Comparison with the preliminary American College of Rheumatology and the World Health Organization/International League Against Rheumatism Criteria. Arthritis Rheum. 1996;39(1):34-40.
- Zigmond AS, Snaith RP. The hospital anxiety and depression scale. Acta Psychiatr Scand. 1983;67(6):361-70.
- Hamilton M. The assessment of anxiety states by rating. Br J Med Psychol. 1959;32(1):50-5.
- Montgomery SA, Asberg M. A new depression scale designed to be sensitive to change. Br J Psychiatry. 1979;134:382-9.
- Лурия А.Р. Высшие корковые функции человека и их нарушения при локальных поражениях мозга. 2-е изд. М.: Изд-во МГУ, 1962 [Lu-¬ rija AR. Vysshie korkovye funkcii cheloveka i ih narushenija pri lokal’nyh porazhenijah mozga. 2nd ed. Moscow: Izd-vo MGU, 1962 (In Russ.)].
- Херсонский Б.Г. Метод пиктограмм в психодиагностике психических заболеваний. К.: Здоровья. 1988 [Hersonskij BG. Metod piktogramm v psihodiagnostike psihicheskih zabolevanij. Kiev: Zdorov’ja. 1988 (In Russ.).]
- The ICD-10 Classification of Mental and Behavioural Disorders: Diagnostic Criteria for Research. Geneva: WHO; 1993. doi: 10.1002/1520-6505(2000)9:5<201::AID-EVAN2>3.3.CO;2-P
- Зейгарник Б.В. Патология мышления. 2-е изд. М.: Изд-во МГУ, 1962 [Zejgarnik BV. Patologija Myshlenija. 2nd ed. Moscow: Izd-vo MGU, 1962 (In Russ.)].
- Альманах психологических тестов. 3-е изд. М.: КСП, 1995 [Al’manah psihologicheskih testov. 3rd ed. Moscow: KSP, 1995 (In Russ.)].
- Рубинштейн С.Я. Экспериментальные методики патопсихологии и опыт применения их в клинике. Под ред. Г. Бутенко. М.: Изд-во Института психотерапии, 2010 [Rubinshtejn S.Ja. Jeksperimental’nye metodiki patopsihologii i opyt primenenija ih v klinike. Butenko G, ed. Moscow: Izd-vo Instituta psihoterapii, 2010 (In Russ.)].
- American Psychiatric Association, American Psychiatric Association. Task Force on DSM-IV. Diagnostic and Statistical Manual of Mental Disorders: DSM-IV-TR. American Psychiatric Association, 2000.
- Герасимов А.Н. Медицинская статистика. Учебное пособие. М.: Медицинское информационное агентство, 2007 [Gerasimov AN. Medicinskaja Statistika: Uchebnoe Posobie. Moscow: Medicinskoe informacionnoe agentstvo, 2007 (In Russ.)].
- Абрамкин А.А., Лисицына Т.А., Вельтищев Д.Ю. и др. Влияние синтетических базисных противовоспалительных препаратов, генно-инженерных биологических препаратов и психофармакологической терапии на динамику психических расстройств у больных ревматоидным артритом. Научно-практич. ревматология. 2017;55(4):393-402 [Abramkin AA, Lisitsyna TA, Veltishchev DY, et al. Effects of synthetic disease-modifying antirheumatic drugs, biological agents, and psychopharmacotherapy on the mental disorders in patients with rheumatoid arthritis. Rheumatology Science and Practice. 2017;55(4):393-402 (In Russ.)]. doi: 10.14412/1995-4484-2017-393-402
- Tegethoff M, Stalujanis E, Belardi A, Meinlschmidt G. Chronology of onset of mental disorders and physical diseases in mental-physical comorbidity – A national representative survey of adolescents. PLoS One. 2016;11(10):e0165196. doi: 10.1371/journal.pone.0165196
- Marrie RA, Walld R, Bolton JM, et al. Rising incidence of psychiatric disorders before diagnosis of immune-mediated inflammatory disease. Epidemiol Psychiatr Sci. 2017:1-10. doi: 10.1017/S2045796017000579
- Zhang L, Wang J, Zhang Q, et al. Factors associated with hand joint destruction in Chinese patients with rheumatoid arthritis. BMC Musculoskelet Dis. 2017;18(1):211. doi: 10.1186/s12891-017-1548-7
- Karpouzas GA, Draper T, Moran R, et al. Trends in functional disability and determinants of clinically meaningful change over time in Hispanics with Rheumatoid arthritis in the United States. Arthritis Care Res (Hoboken). 2016;69(2):294-8. doi: 10.1002/acr.22924
- Wolfe F, Michaud K. Predicting depression in rheumatoid arthritis: The signal importance of pain extent and fatigue, and comorbidity. Arthritis Care Res. 2009;61(5):667-73. doi: 10.1002/art.24428
Supplementary files
 
				
			 
					 
						 
						 
				
 
  
  
  Email this article
			Email this article 


