Rebamipide using in gastroesophageal reflux disease treatment
- Authors: Ivashkin V.T.1, Trukhmanov A.S.1, Gonik M.I.1
-
Affiliations:
- Sechenov First Moscow State Medical University (Sechenov University)
- Issue: Vol 92, No 4 (2020)
- Pages: 98-104
- Section: Original articles
- Submitted: 19.05.2020
- Published: 19.04.2020
- URL: https://ter-arkhiv.ru/0040-3660/article/view/34115
- DOI: https://doi.org/10.26442/00403660.2020.04.000568
- ID: 34115
Cite item
Full Text
Abstract
Rebamipide is a mucoprotective drug which was developed in Japan in 1990. The therapeutic effect of rebamipide based on the induction of cyclooxygenase-2 and increasing level of prostaglandins, inhibition of oxygen free radicals production, epidermal growth factor stimulation, vascular endothelial growth factor, nitric oxide, and decreasing of lipid peroxidation and neutrophils migration. The combination of proton pump inhibitors and rebamipide is more effective in relieving of gastroesophageal reflux disease symptoms and reducing recurrence rate of disease. Using rebamipide in the treatment of gastroesophageal reflux disease is justified because this drug has a unique mechanism of action, which eliminating the main stages of pathogenesis of the disease.
Keywords
Full Text
ГЭРБ – гастроэзофагеальная рефлюксная болезнь
ИЛ – интерлейкины
ИПП – ингибиторы протонной помпы
НПС – нижний пищеводный сфинктер
ПБ – пищевод Барретта
ПГ – простагландины
ПОЛ – перекисное окисление липидов
СО – слизистая оболочка
ЦОГ-1 – циклооксигеназа 1-го типа
ЦОГ-2 – циклооксигеназа 2-го типа
Введение
Гастроэзофагеальная рефлюксная болезнь (ГЭРБ) – это хроническое рецидивирующее заболевание, обусловленное нарушением моторно-эвакуаторной функции органов гастроэзофагеальной зоны и характеризующееся регулярно повторяющимся забросом в пищевод содержимого желудка, а иногда и двенадцатиперстной кишки, что приводит к появлению клинических симптомов, ухудшающих качество жизни пациентов, повреждению слизистой оболочки (СО) дистального отдела пищевода с развитием в нем дистрофических изменений неороговевающего многослойного плоского эпителия, катарального или эрозивно-язвенного эзофагита (рефлюкс-эзофагит), а у части больных – цилиндроклеточной метаплазии [1].
Хотя большинство эпидемиологических исследований основывается лишь на выявлении основных симптомов, нет сомнений, что ГЭРБ является распространенным заболеванием. ГЭРБ приводит к существенному снижению качества жизни, отрицательно влияет на работоспособность пациентов [2].
Ключевым фактором в патогенезе ГЭРБ служит патологически высокая частота и/или длительность эпизодов заброса содержимого желудка в пищевод [1]. Нарушения двигательной функции пищевода и желудка способствуют повышению частоты контакта СО пищевода с желудочным соком. Кроме того, снижение уровня саливации, снижение давления в нижнем пищеводном сфинктере (НПС), грыжа пищеводного отверстия диафрагмы также являются важными звеньями патогенеза ГЭРБ [3].
Согласно современным клиническим рекомендациям Российской гастроэнтерологической ассоциации существует достаточное количество терапевтических средств, способных облегчить симптомы пациента с ГЭРБ: антацидные, прокинетические средства, ингибиторы протонной помпы (ИПП), Н2-гистаминовые блокаторы [1]. Однако стоит заметить, что ни один из широко используемых в настоящее время препаратов не влияет непосредственно на защитные механизмы СО пищевода, а по данным современных исследований, именно иммунологический и воспалительный ответ СО пищевода является ключевым фактором развития ГЭРБ [3].
Ребамипид – это мукопротективное противоязвенное средство, разработанное в Японии в 1990 г. [5]. Одной из главных его особенностей является индукция циклооксигеназы-2 (ЦОГ-2), что, в свою очередь, приводит к усилению образования эндогенных факторов защиты СО – простагландинов (ПГ) [6].
Защитные механизмы СО пищевода
В основе развития ГЭРБ лежит нарушение защитных механизмов (цитопротекции) СО пищевода [7]. Принято выделять три уровня, или механизма, цитопротекции (рис. 1). Первый защитный механизм является преэпителиальным и представлен слоем слизи, обладающей выраженной буферной активностью: в этом качестве выступают бикарбонаты проглоченной слюны, а также муцин. Второй защитный механизм включает эпителиальные клетки и плотные межклеточные контакты, основой которых служат белки адгезии. Роль данных соединений заключается в предотвращении диффузии ионов Н+ и иных активных межпросветных субстанций, в том числе желчных кислот. Межклеточное пространство заполнено гликопротеинами, которые образуют плотные соединения (гликокаликс). Третий уровень является постэпителиальным и заключается в нейтрализации Н+ бикарбонатами, поступающими из кровеносного русла [3].
Рис. 1. Уровни цитопротекции СО пищевода [8].
Примечание. СО пищевода выстлана многослойным плоским эпителием. Преэпителиальный механизм защиты состоит из муцина, бикарбонат-ионов. Эпителиальный уровень представлен самими эпителиальными клетками и межклеточными плотными контактами. Постэпителиальный уровень представлен кровеносным руслом.
Также важно обратить внимание на характер межклеточных соединений в структуре СО пищевода. В однослойном эпителии три вида межклеточных соединений располагаются последовательно от апикального до базального уровня (плотные контакты, адгезивные контакты, десмосомы). Однако для многослойного плоского неороговевающего эпителия СО пищевода характерно большее количество десмосом, занимающее более 50% общей поверхности плазматической мембраны, при этом плотные контакты в большей степени сосредоточены в междесмосомных пространствах (рис. 2). Это объясняет высокую трансэпителиальную резистентность, наблюдаемую в СО пищевода, по сравнению с однослойным эпителием (более 200 см в пищеводе) [3].
Рис. 2. Особенности межклеточных соединений в разных типах эпителия [3].
Примечание. Перпендикулярный разрез однослойного эпителия показывает распределение белков межклеточной адгезии в апикальной части эпителиальной клетки. В эпителии пищевода структуры межклеточной адгезии распределены по всей плазматической клеточной мембране эпителиальных клеток, плотные и адгезионные соединения распределены в междесмосомной области.
Важно заметить, что при ГЭРБ наблюдается расширение межклеточных пространств в многослойном эпителии СО пищевода. В исследованиях in vitro на участке эпителия пищевода, взятого от здорового добровольца при моделировании локального повышения кислотности, наблюдалось существенное снижение экспрессии основного белка адгезии – клаудина-4 [3].
Роль цитокинов
По данным современных исследований, провоспалительные цитокины играют важную роль в развитии ГЭРБ. В гистологическом материале СО пищевода пациентов с подтвержденной ГЭРБ обнаружено существенное повышение уровня секреции интерлейкина (ИЛ)-8 при сравнении со здоровыми добровольцами. Кроме того, значимо повышался ИЛ-6. Экспрессия ИЛ-8 в большей степени локализуется в базальном слое эпителиоцитов пищевода [9].
- Yoshida (2006 г.) изучал корреляцию эндоскопической картины, уровня цитокинов и клинических проявлений ГЭРБ. В исследовании приняли участие 80 пациентов, страдавших от симптомов заброса содержимого желудка в пищевод. Оценка объективной картины проводилась при помощи эзофагогастродуоденоскопии, опроса самих пациентов, а также путем забора гистологического материала из нижнего отдела пищевода с последующей оценкой уровня ИЛ-8 в тканях. Авторы пришли к выводу, что существует прямая зависимость между уровнем экспрессии провоспалительных цитокинов, эндоскопической картиной и выраженностью клинической картины: при высоких уровнях концентрации ИЛ-8 авторы исследования обнаруживали более выраженные жалобы пациентов на ГЭРБ, а также более «яркую» эндоскопическую картину заболевания (рис. 3) [8].
Рис. 3. Корреляция экспрессии ИЛ-8 и степени эзофагита при ГЭРБ [4].
Примечание. На данном графике продемонстрировано отношение между экспрессией ИЛ-8 и эндоскопической картиной у пациентов с ГЭРБ и неэрозивной рефлюксной болезнью. Уровень цитокинов исследован методом полимеразной цепной реакции. Эндоскопическая картина оценивалась по наличию или отсутствию катарального воспаления СО, а также эрозий (согласно Лос-Анджелесской классификации: ГЭРБ-А – одна или несколько эрозий СО пищевода длиной менее 5 мм, ограниченные пределами одной складки СО; ГЭРБ-В – одна или несколько эрозий СО пищевода длиной более 5 мм, ограниченные пределами одной складки СО; ГЭРБ-С – множественные эрозии, поражение СО распространяется на две складки СО и более).
В исследовании Isomoto и соавт. (2007 г.) показано, что интраэпителиальные нейтрофилы и эозинофилы, которые также являются маркерами активности воспаления при ГЭРБ, ассоциированы с высоким уровнем ИЛ-8. Кроме того, важно заметить, что в исследованиях in vivo на крысах в ранние часы развития воспалительного процесса при ГЭРБ (3 и 6 ч) происходит повышение секреции фактора некроза опухоли α и цитокин-индуцированного хемоаттрактанта CINC-1 [4].
Роль ПГ в развитии ГЭРБ
Уровень ПГ, которые являются медиатором воспаления, повышается при прогрессировании последнего. В то же время в СО желудочно-кишечного тракта они служат важнейшим мукопротективным и противоязвенным агентом [10].
В исследовании K. Takeuchi и соавт. (2014 г.) изучалось влияние рефлюкса кислоты и/или желчи, а также уровня экспрессии ПГ, в частности ПГE2, на выраженность повреждения СО пищевода у крыс. Эзофагит индуцирован у животных путем лигирования привратника в течение 3 ч. Повреждение также усугублялось предварительной обработкой индометацином и селективным ингибитором ЦОГ 1-го типа (ЦОГ-1). В ходе исследования показан двухфазный эффект: при дозах ПГE2 ниже 0,3 мг/кг преобладали защитные свойства, а при увеличении дозы до 1 мг/кг степень повреждения СО пищевода становилась достоверно более выраженной [11].
В исследовании R. Goyal и соавт. (1973 г.) изучен дозозависимый эффект влияния ПГ на тонус НПС. Моделирование проводили на лабораторных животных (21 опоссум), которым вводили болюсно раствор ПГ (1 мг, 95%). Всем животным до и после введения препарата проводили измерения давления НПС. Авторы получили следующие результаты: минимальным пороговым значением вводимого ПГE2, при котором возникало сокращение НПС, являлось 0,15 мг/кг, максимальным – 1 мг/кг. Авторы обнаружили, что при превышении дозы 1 мг/кг ПГ снижали тонус НПС. Также исследователи выяснили, что большим действием на тонус НПС обладает именно ПГE2, а не ПГE1 (рис. 4). Подобный эффект обусловлен в первую очередь снижением уровня циклического аденозинмонофосфата в гладких мышцах стенки пищевода [12].
Рис. 4. Зависимость снижения давления НПС от дозы ПГ у опоссумов [12].
Примечание. На данном графике продемонстрировано изменение давления НПС в мм рт. ст. у лабораторных животных, которым болюсно вводили раствор ПГ (ПГE1, ПГЕ2 – 1 мг/кг, ПГА2 – 2 мг/кг). Значимое изменение давления НПС авторы отмечали только у животных, которым вводили ПГE1, ПГЕ2, это свидетельствует об их способности расслаблять НПС, что может играть существенную роль в патогенезе ГЭРБ.
Участие свободных радикалов кислорода в патогенезе ГЭРБ
Образование свободных радикалов кислорода и последующий процесс перекисного окисления липидов (ПОЛ) являются важным звеном в патогенезе ГЭРБ (рис. 5) [8].
Рис. 5. Схема патологического процесса кислотозависимых заболеваний пищевода с участием свободных радикалов кислорода [8].
У пациентов с ГЭРБ наблюдается увеличение содержания супероксиддисмутазы. Это косвенно указывает на активность ПОЛ [13]. Кроме того, уменьшение концентрации антиоксидантного фермента глутатиона и увеличение степени повреждения в СО пищевода наблюдаются у больных эзофагитом, аденокарциномой пищевода и пищеводом Баррета (ПБ) [8].
В исследованиях на лабораторных животных, проведенных T.-Y. Oh и соавт. (2001 г.), изучалось влияние антиоксидантных агентов на уменьшение длины поврежденного участка СО пищевода при моделируемой ГЭРБ. Моделирование эзофагита проводили на лабораторных крысах путем установки 3 мм кольца в двенадцатиперстную кишку на 1 см дистальнее связки Трейца. Далее животных разделили на две группы: первой вводили антиоксидантную субстанцию DA-9601, а второй – ранитидин. Авторы получили следующие результаты: применение антиоксидантного препарата способствовало менее интенсивному снижению уровня глутатиона в СО пищевода, в то время как применение ранитидина существенно не влияло на этот показатель. Авторами сделаны выводы: применение антиоксидантных средств уменьшает степень повреждения и выраженность ПОЛ [14]. Кроме того, в ряде исследований показано, что в случае длительно существующего патологического рефлюкса образование свободных радикалов кислорода может входить в каскад канцерогенеза как у животных, так и у людей [15].
Изменение тонуса НПС зависит от уровня метаболитов арахидоновой кислоты, таких как ПГF2, тромбоксан А2/В2. В исследовании L. Cheng и соавт. (2004 г.) изучали изменения тонуса НПС при моделировании воспаления в пищеводе у лабораторных животных. Дизайн исследования состоял в том, что всех лабораторных животных (кошек) разделили на две группы – контрольную и с эзофагитом [моделирование путем введения внутрь (перфузии пищевода) 0,1 раствора HCl]. Всем животным измеряли давление НПС до и после моделирования патологического процесса. Авторы исследования изучали уровень экспрессии свободных радикалов кислорода, ПГF2 и ИЛ-1. Получены следующие результаты: ИЛ-1 стимулировал продукцию свободных радикалов кислорода у лабораторных животных с эзофагитом. Также процесс ПОЛ индуцирует дозозависимое образование ПГF2. Избыточный синтез ПГ, по данным авторов, приводит к релаксации НПС [16].
Образование свободных радикалов, индуцированное патологическим забросом содержимого из желудка или двенадцатиперстной кишки в пищевод, ассоциируется с процессом воспаления и канцерогенезом. При повреждении СО пищевода происходит образование свободных радикалов кислорода, которое, в свою очередь, индуцирует избыточное образование ПГ, способствующих релаксации НПС. В исследовании на лабораторных животных, проведенном L. Chen и соавт. (2004 г.), показано, что ПОЛ способствует метаплазии клеток СО пищевода и приводит к развитию ПБ и аденокарциноме пищевода.
Ребамипид
Ребамипид является противоязвенным агентом с целым рядом противовоспалительных свойств: индукция ЦОГ-2, повышение уровня ПГ, уменьшение выраженности ПОЛ, ингибирование продукции свободных радикалов кислорода [17]. В ряде исследований показано, что ребамипид ингибирует процесс ПОЛ. Также применение ребамипида снижает активацию ядерного фактора каппа-β, тем самым снижая уровень ИЛ-8 [6].
В исследовании А. Kleine и соавт. (1993 г.) на мышах изучался механизм стимуляции биосинтеза ПГ при применении ребамипида. В ходе его введения 100 и 500 мг/кг интраперитонеально уровень ПГE2 незначительно повышался. Также в исследовании отмечено, что защитный эффект ребамипида в первую очередь обусловлен не ингибированием повреждающих факторов, а усилением биосинтеза эндогенных факторов защиты [18].
В ряде исследований на лабораторных животных показано, что ребамипид способен активировать эпидермальный фактор роста и экспрессию его рецептора в желудке, а также стимулировать фактор роста гепатоцитов. При экспериментальном изучении заживления язв желудка, вызванных Helicobacter pylori у монгольских полевок, применение ребамипида проявлялось снижением уровня апоптоза клеток и воспаления. Также показано, что ребамипид способен активировать сосудистый эндотелиальный фактор роста в нормальной СО желудка [6].
В исследовании W.-H. Sun и соавт. (2003 г.) изучались цитопротективные свойства ребамипида. Эксперимент проводили на лабораторных крысах, которым вводили ребамипид в дозах 5, 15 или 50 мг/кг в сутки в течение 14 дней. Оценку эффективности препарата проводили при помощи определения уровня экспрессии ЦОГ-1 и ЦОГ-2 в СО желудка. Моделирование воспаления производили путем внутрижелудочного введения HCl. Также у всех животных определяли уровень ПГE2. Авторы получили следующие результаты: экспрессия ЦОГ-2 повышалась после введения ребамипида, в то время как уровень ЦОГ-1 не изменялся. Ребамипид также уменьшал воспаление в СО желудка. Авторы сделали выводы, что ребамипид может индуцировать синтез ЦОГ-2 в СО желудка, что, в свою очередь, приводит к усилению синтеза ПГ. Ребамипид также стимулирует ПГEP4, который, в свою очередь, стимулирует секрецию железами, в том числе муцина [19].
В исследовании K. Katada и соавт. (2005 г.) изучали влияние ребамипида при остром рефлюкс-эзофагите. Моделирование повреждения пищевода проводили на 28 лабораторных крысах, которых разделили на 4 группы: животные с лигированной двенадцатиперстной кишкой (n=5); животные с вводимым внутрь 0,5% раствором карбоксиметилцеллюлозы (n=9); животные с вводимым ребамипидом в дозе 30 мг/кг (n=9); животные с лигированной двенадцатиперстной кишкой и вводимым ребамипидом (n=5). Авторы получили результаты, свидетельствующие, что при концентрации ребамипида 300 нг/мл отмечалось ингибирование адгезии нейтрофилов к эндотелиальным клеткам. Подобный факт обусловлен снижением секреции CD11/CD18 на нейтрофилах и снижением продукции свободных радикалов кислорода. Авторы пришли к выводу, что применение ребамипида оправдано для лечения ГЭРБ [20].
T.-G. Gweon и соавт. (2018 г.) изучали изменение экспрессии белков плотных контактов при применении ребамипида и ИПП. Моделирование проводили на крысах, которым накладывали лигатуру на дистальный отдел желудка. Всех животных разделили на группы в зависимости от проводимой терапии: ИПП (пантопразол 5 мг/кг), ИПП в комбинации с ребамипидом 100 мг/кг и контрольная группа. ИПП вводили животным внутрибрюшинно, ребамипид инсталлировали перорально. Оценку визуальных морфологических изменений в пищеводе проводили спустя 14 дней. Также оценке подвергали уровень экспрессии белков плотных контактов. Авторы получили следующие результаты: экспрессия белков клаудина-3 и клаудина-4 значительно выше в группе животных, получавших комбинацию ИПП и ребамипида (рис. 6). Авторы сделали выводы, что ребамипид может оказывает выраженное синергическое действие на восстановление защитного баланса СО пищевода при его комбинации с ИПП [21].
Рис. 6. Изменение уровня экспрессии белков плотных контактов при моделировании ГЭРБ у крыс [21].
Примечание. На представленных графиках отражены изменения уровня экспрессии белков клаудина-1, 3 и 4 в СО пищевода лабораторных животных, которым моделировали рефлюкс-эзофагит. В контрольной группе наблюдалась большая площадь эрозий, что отражалось в меньшей степени уровня всех трех белков. В группе животных с комбинацией ИПП и ребамипида авторы исследования наблюдали наибольшую экспрессию при наименьшей площади эрозий.
Микробиота и ребамипид
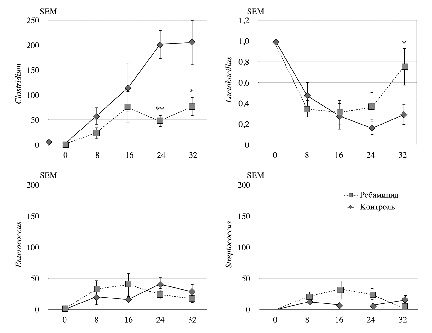
В исследовании Y. Kohata и соавт. (2015 г.) изучали влияние ребамипида на микробиоту пищевода при ГЭРБ, осложненной ПБ. Анализ проводился на модели животных (крысы, разделенные на контрольную группу и группу, которым в корм добавляли раствор ребамипида в концентрации 0,0225%). В ходе оценки изменения микробиоты методом полимеразной цепной реакции 16s субъединицы рибосомной РНК отмечены изменения представленности семейств Lactobacillus и Clostridium, особенно в сравнении с группой контроля (рис. 7) [22].
Рис. 7. Изменение уровня экспрессии микробиоты у крыс в группе ребамипида и контроля [22].
Примечание. На представленных графиках отражены изменения состава микробиоты пищевода у лабораторных животных из группы контроля и ребамипида. Ребамипид снижал уровень Clostridium spp. на 24 и 32-й неделях исследования и тормозил снижение Lactobacillus spp. на 32-й неделе моделирования. Различий в экспрессии Enterococcus spp. и Streptococcus spp. между контрольной группой животных и в группе животных, получавших ребамипид, авторы исследования не наблюдали. *p<0,01, **p<0,05.
Грамотрицательные бактерии способны путем активации толл-подобных рецепторов воздействовать на ядерный фактор каппа-β, что, в свою очередь, приводит к каскаду реакций, где конечным этапом является активация цитокинов. Подобный путь также описан в случае повреждения СО пищевода [23]. В исследовании получены данные о том, что ребамипид снижал скорость прогрессирования ПБ у экспериментальных животных [22].
Клиническое значение ребамипида
Клинические исследования эффективности ребамипида в терапии ГЭРБ в настоящее время немногочисленны, однако демонстрируют положительное влияние включения данного препарата в комплексную терапию пациентов с ГЭРБ на все показатели его эффективности.
- Hong и соавт. (2016 г.) исследовали основные терапевтические возможности комбинированной терапии эзомепразола и ребамипида для купирования симптомов ГЭРБ. В исследование включен 501 пациент в возрасте от 20 до 69 лет. Одной группе (240 человек) назначены 40 мг эзомепразола и 300 мг ребамипида в день, другой (261 человек) – только 40 мг эзомепразола. Оценку проводили спустя 4 нед приема и учитывали степень выраженности жалоб (изжога, эпигастральная боль, чувство тяжести в эпигастрии, рвота). Каждый из симптомов оценивался по шкале от 0 (нет симптомов) до 4 (невозможность выполнять повседневные задачи). В ходе исследования получены данные, что комбинация ИПП и ребамипида является более эффективной для купирования симптомов ГЭРБ, чем использование эзомепразола в качестве монотерапии (рис. 8) [24].
Рис. 8. Изменение симптомов рефлюкс-эзофагита у 501 пациента в группе монотерапии эзомепразолом и в группе комбинации ребамипида и эзомепразола [24].
Примечание. На представленном графике отражено изменение симптомов у пациентов из групп наблюдения. Изменения авторы исследования определяли при помощи опроса с учетом эпигастральной боли, изжоги, чувства тяжести в эпигастрии и рвоты. У пациентов из группы ребамипида и эзомепразола отмечали более выраженное снижение среднего балла по всем перечисленным показателям в сравнении с группой пациентов с монотерапией эзомепразолом: -6,8±5,9 и -8,4±6,6 соответственно (p=0,009).
- Yoshida и соавт. (2010 г.) изучали частоту рецидивов симптомов ГЭРБ в группе пациентов, получавших комбинацию ИПП и ребамипида. Испытуемые разделены на 2 группы: 21 человек, принимающий лансопразол в дозе 15 мг/сут, и 20 человек, которые принимали комбинацию ребамипида 300 мг и лансопразола 15 мг/сут. Оценка эффективности проводилась путем анкетирования пациентов. Выраженность симптомов изжоги и регургитации оценивалась по шкале от 1 (нет дискомфорта) до 7 (выраженный дискомфорт). Фиксация результатов производилась спустя 12 мес. В итоге данного исследования обнаружено, что 11 из 20 пациентов, получавших монотерапию ИПП, испытывали симптомы ГЭРБ, в то время как в группе получавших комбинированную терапию схожий показатель составлял 4 из 20 человек (см. таблицу) [25].
Эффективность приема ребамипида в комбинации с лансопразолом для профилактики рецидивов симптомов ГЭРБ у 41 пациента [25] | |||
Группа | Число пациентов | Рецидив в течение 12 мес | Процент рецидива |
Лансопразол (15 мг/сут) | 21 | 11 | 53% |
Лансопразол (15 мг/сут) и ребамипид (300 мг/сут) | 20 | 4 | 20% |
Отдельно стоит отметить, что на сегодняшний момент клиническое значение ребамипида в гастроэнтерологии не ограничивается потенциалом его использования в комплексной терапии ГЭРБ. Так, эффективность данного препарата в рамках профилактики и лечения гастро- и энтеропатий, индуцированных приемом нестероидных противовоспалительных препаратов, а также при эрадикации инфекции H. pylori, убедительно продемонстрирована рядом проспективных исследований и метаанализов [26–31].
Заключение
В патогенезе ГЭРБ важную роль играет нарушение цитопротективных свойств пищевода. Избыточная секреция провоспалительных цитокинов, образование свободных радикалов кислорода, а также нарушение баланса в образовании ПГ приводят к прогрессированию воспаления в СО пищевода.
Ребамипид – это цитопротективное средство, которое может оказывать влияние на ряд ключевых патогенетических механизмов ГЭРБ. В отличие от других терапевтических средств, использующихся в лечении кислотозависимых заболеваний, ребамипид способен восстанавливать адекватный уровень цитопротекции СО пищевода. Действие ребамипида направлено на целый ряд звеньев патогенеза ГЭРБ. При его применении наблюдаются снижение уровня экспрессии ИЛ-8 и образования свободных радикалов кислорода, стимулирование эпидермального фактора роста, в том числе эпидермального фактора роста сосудов. Целевым механизмом действия ребамипида является индукция ЦОГ-2, что приводит к увеличению синтеза эндогенных ПГ. Добавление ребамипида в комплексную терапию значительно повышает экспрессию белков плотных межклеточных контактов клаудина-3, клаудина-4 в эпителиальных клетках СО пищевода.
Согласно данным ряда клинических исследований эффективность комбинации ИПП и ребамипида способствует большему регрессу жалоб у пациентов и меньшей частоте рецидивирования заболевания. Пока на сегодня нет ни одной клинической рекомендации по методике применения и назначения ребамипида у пациентов с ГЭРБ, что представляет актуальную задачу для исследователей и клиницистов.
Таким образом, важно отметить, что использование ребамипида в терапии ГЭРБ оправдано ввиду наличия у этого препарата уникального механизма действия, направленного на устранение основных этапов патогенеза заболевания, и при этом необходимо дальнейшее изучение данного препарата для создания оптимальной схемы терапии кислотозависимых заболеваний пищевода.
About the authors
V. T. Ivashkin
Sechenov First Moscow State Medical University (Sechenov University)
Email: maximgonik@gmail.com
ORCID iD: 0000-0002-6815-6015
акад. РАН, д.м.н., проф., зав. каф. пропедевтики внутренних болезней, гастроэнтерологии, гепатологии
Russian Federation, MoscowA. S. Trukhmanov
Sechenov First Moscow State Medical University (Sechenov University)
Email: maximgonik@gmail.com
ORCID iD: 0000-0003-3362-2968
д.м.н., проф. каф. пропедевтики внутренних болезней, гастроэнтерологии, гепатологии
Russian Federation, MoscowM. I. Gonik
Sechenov First Moscow State Medical University (Sechenov University)
Author for correspondence.
Email: maximgonik@gmail.com
ORCID iD: 0000-0002-0605-8057
клинический ординатор каф. пропедевтики внутренних болезней, гастроэнтерологии, гепатологии
Russian Federation, MoscowReferences
- Ивашкин В.Т., Маев И.В., Трухманов А.С. и др. Клинические рекомендации Российской гастроэнтерологической ассоциации по диагностике и лечению гастроэзофагеальной рефлюксной болезни. Рос. журн. гастроэнтерологии, гепатологии, колопроктологии. 2017;27(4):75-95 [Ivashkin VT, Mayev IV, Trukhmanov AS, et al. Diagnostics and treatment of gastroesophageal reflux disease: clinical guidelines of the Russian gastroenterological association. Russian Journal of Gastroenterology, Hepatology, Coloproctology. 2017;27(4):75-95 (In Russ.)]. doi: 10.22416/1382-4376-2017-27-4-75-95
- Hunt R, Armstrong D, Katelaris P, et al. World gastroenterology organisation global guidelines: GERD global perspective on gastroesophageal reflux disease. J Clin Gastroenterol. 2017;51(6):467-78. doi: 10.1097/MCG.0000000000000854
- Farré R. Pathophysiology of gastro-esophageal reflux disease: a role for mucosa integrity? Neurogastroenterol Motil. 2013;25(10):783-99. doi: 10.1111/nmo.12201
- Naito Y, Yoshida N, Yoshikawa T. Esophageal inflammation in gastroesophageal reflux disease (GERD): role of chemokines. Inflam Regeneration. 2006;5(26):428-36. doi: 10.2492/inflammregen.26.428
- Takeji Y, Urashima H, Aoki A, Shinohara H. Rebamipide Increases the Mucin-Like Glycoprotein Production in Corneal Epithelial Cells. J Ocular Pharmacol Ther. 2012;3(28):259-63. doi: 10.1089/jop.2011.0142
- Arakawa T, Higuchi K, Fujiwara Y, et al. 15th Anniversary of Rebamipide: Looking Ahead to the New Mechanisms and New Applications. Digestive Dis Sci. 2005;S1(50):S3-S11. doi: 10.1007/s10620-005-2800-9
- Yandrapu H, Marcinkiewicz M, Sarosiek I, et al. Role of Saliva in Esophageal Defense: Implications in Patients With Nonerosive Reflux Disease. Am J Med Sci. 2015;5(349):385-91. doi: 10.1097/MAJ.0000000000000443
- Yoshida N. Oxidative stress in digestive disease guest editor: yuji naito inflammation and oxidative stress in gastroesophageal reflux disease. J Clin Biochem Nutrition. 2007;40(1):13-23. doi: 10.3164/jcbn.40.13
- Евсютина Ю.В. и др. Системный иммунный ответ у пациентов с гастроэзофагеальной рефлюксной болезнью. Рос. журн. гастроэнтерологии, гепатологии, колопроктологии. 2015;25(5):32-8 [Yevsyutina YuV, Trukhmanov AS. The role of esophageal and stomach motility disorders in pathogenesis of gastroesophageal reflux disease. Russian Journal of Gastroenterology, Hepatology, Coloproctology. 2015;25(5):32-8 (In Russ.)].
- Goyal RK. Deleterious effects of prostaglandins on esophageal mucosa. Gastroenterology. 1980;5(78):1085-7.
- Takeuchi K, Nagahama K. Animal model of acid-reflux esophagitis: pathogenic roles of acid/pepsin, prostaglandins, and amino acids. BioMed Res Int. 2014. doi: 10.1155/2014/532594
- Goyal RK, Rattan S, Hersh T. Comparison of the Effects of Prostaglandins E1, E2, and A2, and of Hypovolumic Hypotension on the Lower Esophageal Sphincter. Gastroenterology. 1973;4(65):608-12.
- Jiménez P, Piazuelo E, Sánchez MT, et al. Free radicals and antioxidant systems in reflux esophagitis and Barrett’s esophagus. World J Gastroenterol. 2005;11(18):2697. doi: 10.3748/wjg.v11.i18.26
- Oh T-Y, Lee JS, Ahn BO, et al. Oxidative damages are critical in pathogenesis of reflux esophagitis: implication of antioxidants in its treatment. Free Radical Biol Med. 2001;8(30):905-15. doi: 10.1016/S0891-5849(01)00472-5
- Song JH, Han YM, Kim WH, et al. Oxidative stress from reflux esophagitis to esophageal cancer: the alleviation with antioxidants. Free Radical Res. 2016;10(50):1071-9. doi: 10.1080/10715762.2016.1181262
- Cheng L, Cao W, Behar J, et al. Inflammation induced changes in arachidonic acid metabolism in cat LES circular muscle. Am J Physiol Gastrointestinal Liver Physiol. 2005;4(288):G787-G797.
- PubChem Rebamipide. https://pubchem.ncbi.nlm.nih.gov/compound/5042
- Kleine A, Kluge S, Peskar BM. Stimulation of prostaglandin biosynthesis mediates gastroprotective effect of rebamipide in rats. Digestive Dis Sci. 1993;8(38):1441-9. doi: 10.1007/BF01308601
- Sun W-H, Tsuji S, Tsujii M, et al. Induction of cyclooxygenase-2 in rat gastric mucosa by rebamipide, a mucoprotective agent. J Pharmacol Experim Ther. 2000;2(295):447-52.
- Katada K, Yoshida N, Isozaki Y, et al. Prevention by Rebamipide of Acute Reflux Esophagitis in Rats. Digestive Dis Sci. 2005;S1(50):S97-S103. doi: 10.1007/s10620-005-2813-4
- Gweon T-G, Park JH, Kim BW, et al. Additive Effects of Rebamipide Plus Proton Pump Inhibitors on the Expression of Tight Junction Proteins in a Rat Model of Gastro-Esophageal Reflux Disease. Gut Liver. 2018;1(12):46-50. doi: 10.5009/gnl17078
- Kohata Y, Nakahara K, Tanigawa T, et al. Rebamipide Alters the Esophageal Microbiome and Reduces the Incidence of Barrett’s Esophagus in a Rat Model. Digestive Dis Sci. 2015;9(60):2654-61. doi: 10.1007/s10620-015-3662-4
- Kauppila JH, Selander KS. Toll-like receptors in esophageal cancer. Frontiers Immunol. 2014;5:200.
- Hong SJ, Park SH, Moon JS, et al. The Benefits of Combination Therapy with Esomeprazole and Rebamipide in Symptom Improvement in Reflux Esophagitis: An International Multicenter Study. Gut Liver. 2016;6(10):910-6.
- Yoshida N, Kamada K, Tomatsuri N, et al. Management of Recurrence of Symptoms of Gastroesophageal Reflux Disease: Synergistic Effect of Rebamipide with 15 mg Lansoprazole. Digestive Dis Sci. 2010;12(55):3393-8. doi: 10.1007/s10620-010-1166-9
- Andreev DN, Maev IV, Dicheva DT. Efficiency of the Inclusion of Rebamipide in the Eradication Therapy for Helicobacter pylori Infection: Meta-Analysis of Randomized Controlled Studies. J Clin Med. 2019;8(9). pii: E1498. doi: 10.3390/jcm8091498
- Андреев Д.Н., Дичева Д.Т., Маев И.В. Возможности оптимизации эрадикационной терапии инфекции Helicobacter pylori в современной клинической практике. Терапевтический архив. 2017;89(2):84-90 [Andreev DN, Dicheva DT, Maev IV. Possibilities for optimization of eradication therapy for Helicobacter pylori infection in modern clinical practice. Therapeutic Archive. 2017;89(2):84-90 (In Russ.)]. doi: 10.17116/terarkh201789284-90
- Андреев Д.Н., Маев И.В., Дичева Д.Т. и др. Эффективность и безопасность применения ребамипида в схеме тройной эрадикационной терапии инфекции Helicobacter pylori: проспективное рандомизированное сравнительное исследование. Терапевтический архив. 2018;90(8):27-32. [Andreev DN, Maev IV, Dicheva DT, et al. Efficacy and safety of the use of rebamipide in the scheme of triple eradication therapy of Helicobacter pylori infection: a prospective randomized comparative study. Therapeutic Archive. 2018;90(8):27-32 (In Russ.)]. doi: 10.26442/terarkh201890827-32
- Dicheva D, Andreev D, Maev I. Efficacy and safety of including rebamipide in the triple eradication therapy of Helicobacter pylori infection. Helicobacter. 2018;23(S1):43. doi: 10.1111/hel.12525
- Terano A, Arakawa T, Sugiyama T, et al; Rebamipide Clinical Study Group. Rebamipide, a gastro-protective and anti-inflammatory drug, promotes gastric ulcer healing following eradication therapy for Helicobacter pylori in a Japanese population: a randomized, double-blind, placebo-controlled trial. J Gastroenterol. 2007;42(8):690-3.
- Zhang S, Qing Q, Bai Y, et al. Rebamipide helps defend against nonsteroidal anti-inflammatory drugs induced gastroenteropathy: a systematic review and meta-analysis. Dig Dis Sci. 2013;58(7):1991-2000. doi: 10.1007/s10620-013-2606-0
Supplementary files











