Adiponectin gene expression in local fat depots in patients with coronary heart disease depending on the degree of coronary lesion
- Authors: Belik E.V.1, Gruzdeva O.V.1, Akbasheva O.E.2, Dyleva Y.A.1, Borodkina D.A.1, Sinitsky M.Y.1, Sotnikov A.V.1, Kozyrin K.A.1, Brel N.K.1, Naumov D.Y.1, Shilov A.A.1, Bychkova E.E.1, Karetnikova V.N.1, Barbarash O.L.1
-
Affiliations:
- Research Institute for Complex Issues of Cardiovascular Disease
- Siberian State Medical University
- Issue: Vol 92, No 4 (2020)
- Pages: 23-29
- Section: Original articles
- Submitted: 17.05.2020
- Published: 19.04.2020
- URL: https://ter-arkhiv.ru/0040-3660/article/view/34088
- DOI: https://doi.org/10.26442/00403660.2020.04.000537
- ID: 34088
Cite item
Full Text
Abstract
Aim. To determine the dependence of adiponectin gene expression by subcutaneous, epicardial and perivascular adipocytes on the degree of coronary lesion in coronary heart disease.
Materials and methods. 84 patients with coronary artery disease were examined. Of these, 39 people showed a moderate degree of atherosclerotic lesion of the coronary bed (less than or equal to 22 points) on the SYNTAX Score scale, 20 – severe (22–31 points), and 25 – extremely severe (more than 32 points). Upon admission to the hospital, all patients underwent an echocardiographic study (Echocardiography, Acuson, Germany) with the calculation of the ejection fraction (EF) of the left ventricle (LV) to assess its systolic function. During a planned surgical intervention (coronary bypass surgery, CABG), adipocytes of subcutaneous, epicardial (EAT) and perivascular adipose tissue (PVAT) were taken. Adiponectin gene expression was evaluated by polymerase chain reaction (real-time PCR) using TaqMan probes. Statistical analysis was performed using Statistica 9.0.
Results. The maximum level of adiponectin expression was detected in adipocytes of PVAT, and the minimum – EAT. With an increase in the degree of atherosclerotic lesion of the coronary bed, the expression of the adiponectin gene in adipocytes of local depots significantly decreases r=-0.82; p=0.023. Moreover, the low level of gene expression in EAT correlated with a decrease in LV EF by r=0.73; p=0.03. In adipocytes of subcutaneous and especially PVAT, gene expression was the highest in patients with a moderate degree of coronary lesion.
Conclusions. Low adiponectin gene expression in EAT is associated with an increase in the degree of atherosclerotic lesion of the coronary bed and a decrease in LV EF.
Full Text
ЖТ – жировая ткань
ИБС – ишемическая болезнь сердца
ИЛ-6 - интерлейкин-6
ИМ – инфаркт миокарда
КА – коронарные артерии
ЛЖ – левый желудочек
мРНК – матричная РНК
ОНМК – острое нарушение мозгового кровообращения
ПВЖТ – периваскулярная жировая ткань
ПЖТ – подкожная жировая ткань
РНК – рибонуклеиновая кислота
ФВ – фракция выброса
ФК – функциональный класс
ФНО-α – фактор некроза опухоли α
ХСН – хроническая сердечная недостаточность
ЭЖТ – эпикардиальная жировая ткань
Введение
Известно, что жировая ткань (ЖТ) является метаболически активным органом, продуцирующим различные адипоцитокины, причем висцеральный ее компонент считается более активным, чем подкожный. Существует мнение, что именно висцеральная ЖТ представляет собой наибольшую опасность для сердечно-сосудистой системы. Четкого обоснования данного мнения не существует, но предполагается, что совокупность экспрессии генов и их секреторных продуктов в висцеральном депо более атерогенна по сравнению с таковой в подкожной ЖТ (ПЖТ) [1]. Поскольку большинство исследователей изучают связь уровня циркулирующего в крови адипонектина с показателями сердечно-сосудистого риска, особый интерес вызывает определение особенностей экспрессии гена адипокина непосредственно ЖТ разной локализации, что позволит выбрать оптимальный подход для коррекции возможных дисфункций ЖТ при развитии атеросклеротических осложнений.
Для оценки тяжести поражения коронарного русла разработаны разные виды комбинированных шкал, которые позволяют получить прогностические результаты с большей чувствительностью и надежностью по сравнению с обычной оценкой степени стеноза в процентах по данным коронароангиографии [2]. Однако в клинической практике наиболее часто применяется балльная оценка по шкале SYNTAX Score, поскольку она обладает компьютерным алгоритмом, учитывающим локализацию стеноза коронарных артерий (КА), наличие их извитости и бифуркационных особенностей, тотальной окклюзии и тромбоза, а также кальцификатов в стенках коронарных сосудов [3]. Количество исследований, посвященных оценке связи экспрессии гена адипонектина и степени поражения коронарного русла, ограничено, между тем результаты такого рода работ могут явиться теоретическим обоснованием для разработки новых терапевтических мишеней.
Цель работы – выявить зависимость экспрессии гена адипонектина подкожными, эпикардиальными и периваскулярными адипоцитами от степени поражения коронарного русла при ишемической болезни сердца (ИБС).
Материалы и методы
Исследование выполнено на базе НИИ КПССЗ, протокол соответствовал стандартам локального этического комитета НИИ КПССЗ, разработанным в соответствии с Хельсинкской декларацией Всемирной ассоциации «Этические принципы проведения научных медицинских исследований с участием человека» с поправками 2000 г. и Правилами клинической практики в Российской Федерации, утвержденными Приказом Минздрава России от 19.06.2003 №266. Обязательным условием включения пациента в исследование было подписанное им информированное согласие на участие в нем. В исследование включены 84 пациента (61 мужчина и 23 женщины) с ИБС. Средний возраст пациентов составил 64,0 (57,0; 68,0) года. Пациенты, включенные в исследование, получали стандартную антиангинальную и антиагрегантную терапию. В исследование не включались лица старше 75 лет, с наличием сахарного диабета 1 и 2-го типов в анамнезе и/или выявленного при обследовании в период госпитализации инфаркта миокарда (ИМ), а также клинически значимой сопутствующей патологии (анемия, почечная и печеночная недостаточность, онкологические и инфекционно-воспалительные заболевания в период обострения, аутоиммунные заболевания).
Клинико-анамнестическая характеристика пациентов представлена в табл. 1.
Таблица 1. Клинико-анамнестическая характеристика пациентов с ИБС | |
Показатели | Пациенты (n=84) |
Мужчины, n (%) | 63 (75,0) |
Возраст, лет | 64,0 (57,0; 68,0) |
Индекс массы тела, кг/м2 | 29,41 (26,30; 31,6) |
Избыточная масса тела, n (%) | 28 (33,33) |
Артериальная гипертензия, n (%) | 81 (96,4) |
Сахарный диабет 2-го типа, n (%) | 28 (33,3) |
Дислипидемия, n (%) | 20 (23,8) |
Курение, n (%) | 58 (69,0) |
Отягощенный семейный анамнез ИБС, n (%) | 50 (59,5) |
Клиника стенокардии до развития ИМ, n (%) | 74 (88,09) |
ИМ в анамнезе, n (%) | 57 (67,86) |
ОНМК, транзиторные ишемические атаки в анамнезе, n (%) | 6 (7,14) |
ХСН в анамнезе, n (%) | 66 (78,57) |
Атеросклероз других бассейнов, n (%) | 13 (15,48) |
Нет стенокардии, n (%) | 2 (2,38) |
Стенокардия I ФК, n (%) | 0 |
Стенокардия II ФК, n (%) | 39 (46,43) |
Стенокардия III ФК, n (%) | 43 (51,2) |
ХСН I ФК, n (%) | 0 |
ХСН II ФК, n (%) | 59 (70,23) |
ХСН III ФК, n (%) | 25 (29,76) |
ХСН VI ФК, n (%) | 0 |
1-сосудистое поражение КА, n (%) | 6 (7,14) |
2-сосудистое поражение КА, n (%) | 4 (4,76) |
3-сосудистое поражение КА, n (%) | 18 (21,4) |
Многососудистое поражение КА, n (%) | 56 (66,67) |
ФВ, % | 50 (43,0; 56,0) |
Примечание. ФК – функциональный класс. | |
При поступлении в стационар всем больным выполняли эхокардиографию (Acuson, Германия) с расчетом значения фракции выброса (ФВ) левого желудочка (ЛЖ) в М-режиме. Коронароангиографию проводили по методике M. Judkins (1967 г.) на двухпроекционной кардиоваскулярной ангиографической установке Integris BH 3000 (Philips). В начале исследования проводилась пункция бедренной артерии или лучевой артерии по Сельдингеру. В качестве рентгеноконтрастного вещества использовали Ксенетикс-350. При рентгенографии КА оценивали наличие значимых (стеноз более 70%) поражений КА и разделяли поражения коронарного русла на одно-, многососудистое. Это означало наличие хотя бы одного значимого стеноза в проекции от 1 до 3 магистральных КА (передней нисходящей, огибающей и правой коронарной). Однако поскольку описание 1-, 2- и 3-сосудистых поражений и обнаружение стенозов ≥50% ограничено в своей возможности количественной стратификации пациентов с разным уровнем риска острых осложнений, дополнительно применялась балльная шкала SYNTAX Score с использованием онлайн-калькулятора (http://www.syntaxscore.com/) для оценки анатомически сложных поражений КА. Применение данной шкалы позволило разделить пациентов на группы по тяжести поражения коронарного русла: умеренное (<22 баллов по SYNTAX Score), тяжелое (23–31 балл) и крайне тяжелое (≥32 балла).
Для определения экспрессии гена адипонектина использованы изолированные адипоциты ПЖТ, эпикардиальной (ЭЖТ) и периваскулярной жировой ткани (ПВЖТ) человека. Источником адипоцитов служили биоптаты от 3 до 5 г жира, полученного во время проведения коронарного шунтирования. Образцы ЭЖТ забирали из правых отделов сердца (правого предсердия и правого желудочка) – зон его наибольшего присутствия; образцы ПЖТ – из подкожной клетчатки нижнего угла средостенной раны; образцы ПВЖТ – в области маммарного сосудистого пучка, который располагается в переднем средостении – восходящей части аорты. Полученные образцы ЖТ помещали в сбалансированный солевой раствор Хэнкса (Sigma-Aldrich, США) с добавлением пенициллина (100 Ед/л), стрептомицина (100 мг/мл), гентамицина (50 мкг/мл) и доставляли в лабораторию. Процедуру выделения адипоцитов из ЖТ осуществляли в стерильных условиях в ламинарном шкафу II класса защиты (БОВ-001-АМС МЗМО, асептические медицинские системы, производитель «Миасский завод медицинского оборудования», Россия) по методике, описанной ранее [4].
Рибонуклеиновую кислоту (РНК) из адипоцитов выделяли с помощью наборов RNeasy Plus Universal Mini Kit (Qiagen) непосредственно после изоляции адипоцитов (первичное выделение) [5]. РНК хранилась до следующего этапа эксперимента при температуре -70°C. На основе выделенной РНК синтезировали молекулу комплементарной ДНК с использованием наборов для обратной транскрипции High- Capacity cDNA Reverse Transcription Kit (Applied Biosystems). Экспрессию гена ADIPOQ оценивали с помощью количественной полимеразной цепной реакции с детекцией продуктов в режиме реального времени с использованием TaqMan зондов. Нормирование результатов проводили по трем референсным генам HPRT1, GAPDH и B2M в соответствии с общепринятыми на настоящий момент рекомендациями. Экспрессию изучаемого гена рассчитывали по Pfaffl-методу и выражали на логарифмической (log10) шкале в виде кратного изменения относительно контрольных образцов.
Статистическую обработку полученных результатов проводили с помощью непараметрических критериев Манна–Уитни и Вилкоксона. Анализ различия частот встречаемости признаков в независимых группах проводился при помощи критерия χ2 Пирсона. Если величина ожидаемых частот в ячейках таблицы сопряженности была менее 5, применяли точный критерий Фишера. Критический уровень значимости при проверке статистических гипотез принимали менее 0,05. Результаты представлены в виде медианы, верхнего и нижнего квартиля (Me, Q1; Q3).
Результаты
Клиническая характеристика обследованных лиц с разной степенью поражения коронарного русла представлена в табл. 2.
Таблица 2. Клинико-анамнестическая характеристика пациентов с ИБС в зависимости от тяжести поражения коронарного русла | ||||
Показатели | Пациенты с умеренным поражением (≤22 балла по шкале SYNTAX Score), n=39 | Пациенты с тяжелым поражением (23–31 балл), n=20 | Пациенты с крайне тяжелым поражением (≥32 баллов), n=25 | p |
Мужчины, n (%) | 27 (69,2) | 17 (85) | 19 (76) | р1,2=0,42 р1,3=0,25 р2,3=0,45 |
Возраст, лет | 64,0 (60,0; 66,0) | 65,0 (43,0; 56,0) | 65,0 (61,0; 68,0) | р1,2=0,32 р1,3=0,45 р2,3=0,26 |
Индекс массы тела, кг/м2 | 29,41 (29,07; 30,35) | 26,3 (25,10; 27,64) | 29,54 (29,38; 31,79) | р1,2=0,48 р1,3=0,75 р2,3=0,55 |
Избыточная масса тела, n (%) | 15 (38,46) | 3 (15) | 10 (40) | р1,2=0,013 р1,3=0,014 р2,3=0,021 |
Артериальная гипертензия, n (%) | 36 (92,3) | 20 (100) | 25 (100) | р1,2=0,62 р1,3=0,55 р2,3=0,65 |
Сахарный диабет 2-го типа, n (%) | 12 (30,8) | 7 (35,0) | 9 (36,0) | р1,2=0,33 р1,3=0,41 р2,3=0,45 |
Дислипидемия, n (%) | 10 (25,6) | 4 (20) | 6 (24) | р1,2=0,332 р1,3=0,25 р2,3=0,47 |
Курение, n (%) | 26 (66,67) | 19 (95) | 13 (52) | р1,2<0,05 р2,3<0,05 |
Отягощенный семейный анамнез ИБС, n (%) | 19 (48,7) | 14 (70) | 16 (64) | р1,2=0,023 р1,3=0,014 р2,3=0,061 |
Клиника стенокардии до развития ИМ, n (%) | 36 (92,3) | 17 (85) | 21 (84) | р1,2=0,33 р1,3=0,51 р2,3=0,55 |
ИМ в анамнезе, n (%) | 21 (53,85) | 14 (70) | 22 (88) | р1,2=0,023 р1,3=0,024 р2,3=0,61 |
ОНМК, транзиторные ишемические атаки в анамнезе, n (%) | 0 | 6 (30) | 0 | |
ХСН в анамнезе, n (%) | 30 (76,92) | 20 (100) | 16 (64) | р1,2=0,023 р1,3=0,624 р2,3=0,021 |
Атеросклероз других бассейнов, n (%) | 6 (15,4) | 3 (15,0) | 4 (16,0) | р1,2=0,63 р1,3=0,42 р2,3=0,33 |
Нет стенокардии, n (%) | 2 (5,13) | 0 | 0 | |
Стенокардия I ФК, n (%) | 0 | 0 | 0 | |
Стенокардия II ФК, n (%) | 19 (48,7) | 9 (45) | 11 (44) | р1,2=0,34 р1,3=0,28 р2,3=0,33 |
Стенокардия III ФК, n (%) | 18 (46,15) | 11 (55,0) | 14 (56,0) | р1,2=0,45 р1,3=0,31 р2,3=0,34 |
ХСН I ФК, n (%) | 0 | 0 | 0 | |
ХСН II ФК, n (%) | 27 (69,2) | 15 (75,0) | 17 (68,0) | р1,2=0,61 р1,3=0,32 р2,3=0,44 |
Таблица 2. Клинико-анамнестическая характеристика пациентов с ИБС в зависимости от тяжести поражения коронарного русла (Окончание) | ||||
Показатели | Пациенты с умеренным поражением (≤22 балла по шкале SYNTAX Score), n=39 | Пациенты с тяжелым поражением (23–31 балл), n=20 | Пациенты с крайне тяжелым поражением (≥32 баллов), n=25 | p |
ХСН III ФК, n (%) | 12 (30,76) | 5 (25,0) | 8 (32,0) | р1,2=0,21 р1,3=0,62 р2,3=0,35 |
ХСН VI ФК, n (%) | 0 | 0 | 0 | |
1-сосудистое поражение КА, n (%) | 3 (7,7) | 3 (15) | 0 | р1,2=0,015 |
2-сосудистое поражение КА, n (%) | 0 | 4 (20) | 0 | |
Многососудистое поражение КА, n (%) | 36 (92,3) | 13 (65) | 25 (100) | р1,2=0,033 р1,3=0,64 р2,3=0,021 |
ФВ, % | 55 (45,0; 57,0) | 52 (48,0; 55,0) | 46 (38,0; 56,0) | р1,2=0,42 р1,3=0,45 р2,3=0,46 |
Скорость клубочковой фильтрации по Кокрофту–Гаулту, Ме (LQ; UQ) | 102 (84; 124) | 106 (85; 122) | 100 (83,0; 119,0) | р1,2=0,52 р1,3=0,35 р2,3=0,46 |
При анализе клинико-анамнестической характеристики пациентов с ИБС в зависимости от тяжести поражения коронарного русла обращает на себя внимание, что в группах с умеренным и крайне тяжелым поражением коронарного русла чаще встречались пациенты с избыточной массой тела (табл. 2). Курящих пациентов было больше в группе с тяжелым поражением КА, при этом у них чаще зафиксированы случаи острого нарушения мозгового кровообращения (ОНМК) и хронической сердечной недостаточности (ХСН) в анамнезе и 1, 2-сосудистое поражение КА по сравнению с двумя другими группами. Пациенты с умеренным и крайне тяжелым поражением КА не различались по частоте 3- и многососудистого поражения КА между собой, в отличие от лиц 2-й группы. По остальным характеристикам исследуемые группы были однородны (р≥0,05). Обращает на себя внимание тенденция снижения ФВ по мере прогрессирования атеросклероза: при крайне тяжелом поражении коронарного русла ФВ ЛЖ ниже на 18% по сравнению с умеренным поражением сосудов. Отсутствие статистической значимости может быть связано с широким варьированием показателя в каждой группе.
При определении экспрессии гена адипонектина адипоцитами разной локализации у пациентов с ИБС без учета степени поражения коронарного русла получено, что в ЭЖТ данный показатель статистически значимо ниже, чем в культуре подкожных и периваскулярных адипоцитов (в 1,9 и 2,2 раза соответственно). Максимальные уровни матричной РНК (мРНК) адипонектина наблюдались в культуре ПВЖТ, превышающие показатели ПЖТ в 1,2 раза (рис. 1).
Рис. 1. Экспрессия гена адипонектина в культуральной среде подкожных, эпикардиальных и периваскулярных адипоцитов у пациентов с ИБС.
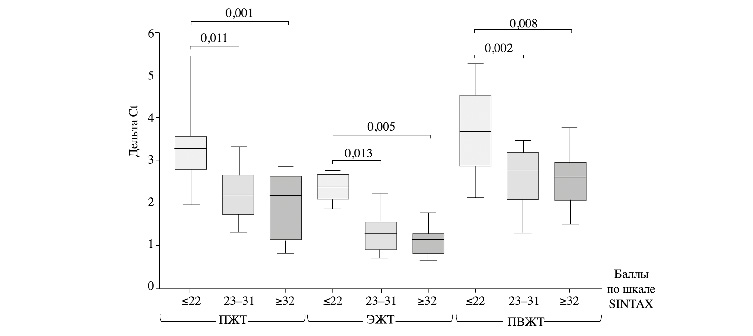
При определении экспрессии адипонектина в разных типах ЖТ каждой из 3 групп пациентов получено, что наибольший уровень экспрессии гена адипонектина во всех исследованных типах жировых депо наблюдался у пациентов с умеренным поражением коронарного русла по сравнению с лицами с тяжелым и крайне тяжелым поражением. Так, уровень мРНК адипонектина в культуре адипоцитов ПЖТ пациентов 1-й группы превышал показатели 2 и 3-й группы в среднем в 1,5 раза; в ЭЖТ – в 1,8 и 2 раза соответственно; в ПВЖТ – в 1,3 и 1,4 раза соответственно. Максимальная экспрессия отмечалась в культуре адипоцитов ПВЖТ по сравнению с ПЖТ у лиц с крайне тяжелым поражением коронарного русла: уровень мРНК адипонектина в ПВЖТ превышал аналогичный показатель ПЖТ в 1,3 раза. Наименьший уровень экспрессии гена адипонектина наблюдался в ЭЖТ независимо от тяжести поражения КА (рис. 2). Корреляционный анализ продемонстрировал наличие обратной зависимости между экспрессией гена адипонектина в ЭЖТ и степенью поражения коронарного русла: r=-0,82; p=0,023. Подобная корреляционная зависимость обнаружена и для адипоцитов ПВЖТ (r=-0,72; p=0,047). Кроме того, обнаружена прямая корреляционная зависимость между экспрессией гена адипонектина ЭЖТ и ФВ ЛЖ: r=0,73; p=0,03.
Рис. 2. Экспрессия гена адипонектина в культуральной среде подкожных, эпикардиальных и периваскулярных адипоцитов при первичном выделении в зависимости от степени поражения коронарного русла.
Таким образом, экспрессия гена адипонектина максимальна в ПВЖТ и минимальна в ЭЖТ. Низкий уровень экспрессии адипонектина в ЭЖТ ассоциирован с атеросклерозом коронарных сосудов и снижением ФВ ЛЖ у больных c ИБС.
Обсуждение
Известно, что адипокины, экспрессируемые и секретируемые ЖТ, обладают как локальными (аутокринными/паракринными), так и системными (эндокринными) эффектами [6]. В последнее время особое внимание среди всех адипоцитокинов уделяется адипонектину, обладающему антиатерогенными эффектами [7]. Экспериментальные исследования показывают способность адипонектина подавлять экспрессию молекул адгезии, ингибировать активацию ФНО-á-индуцированного ядерного фактора-kb и апоптоз эндотелиальных клеток, поглощение окисленных липопротеидов низкой плотности макрофагами. Наличие подобных эффектов позволяет отнести адипонектин к регулятору ключевых механизмов атеросклеротического процесса [8–10]. Считается, что повышение концентрации адипонектина в циркуляции обеспечивает защиту от сердечно-сосудистых заболеваний [11, 12]. Снижение уровня адипонектина выявлено при ИБС независимо от других факторов риска данного заболевания [13]. Однако также существуют данные, демонстрирующие, что у лиц с повышенным сердечно-сосудистым риском, с манифестными сердечно-сосудистыми заболеваниями либо ХСН гиперадипонектинемию следует рассматривать в качестве фактора риска и предиктора смертности независимо от тяжести сердечной недостаточности [14–17]. Вероятно, подобные противоречия связаны с разным происхождением адипокина, синтез которого идет в трех локальных депо: ЭЖТ, ПВЖТ и ПЖТ. В связи с этим актуальной является оценка экспрессии гена адипонектина в адипоцитах ПЖТ, ЭЖТ и ПВЖТ.
ЭЖТ расположена преимущественно на свободной стенке правого желудочка в непосредственной близости к КА (фасции между адипоцитами и слоем миокарда нет). Данная анатомическая особенность, а также способность эпикардиальных адипокинов проникать непосредственно в стенку кровеносного сосуда позволяют предположить возможность паракринного влияния данного жирового депо на метаболизм миокарда и потенциальную роль в патогенезе ИБС [18, 19]. Результаты настоящего исследования демонстрируют, что наименьший уровень экспрессии гена адипонектина наблюдался в ЭЖТ относительно ПЖТ и ПВЖТ. Полученные данные согласуются с результатами других исследователей. Так, G. Iacobellis изучали экспрессию гена адипонектина у 22 пациентов, 16 из которых проведена плановая операция по шунтированию КА при критической ИБС, 5 – операция по замене клапана и 1 – исправление дефекта межпредсердной перегородки. Данное исследование показало, что экспрессия адипонектина значительно ниже в ЭЖТ пациентов с тяжелой ИБС по сравнению с лицами без ИБС (р=0,02) [20]. C. Bambace и соавт. также показали, что уровень мРНК адипонектина ниже в ЭЖТ по сравнению с ПЖТ (р<0,01). Одним из объяснений такой разницы в экспрессии гена адипонектина между адипоцитами могут быть их различные морфометрические характеристики. Так, известно, что средний диаметр адипоцитов ЭЖТ составляет 0,05 мм, в то время как диаметр адипоцитов ПЖТ и ПВЖТ в среднем в два раза больше. C. Bambacea (2011 г.) в своих исследованиях показала отрицательную корреляцию данного показателя с экспрессией гена адипонектина [21]. Другой причиной столь низкой экспрессии гена адипонектина в ЭЖТ больных с ИБС является цитокиновый дисбаланс с явным провоспалительным вектором, в том числе на уровне адипоцитов. Ранее нами показано существенное увеличение секреции провоспалительных факторов адипоцитами ЭЖТ при ИБС, в частности фактора некроза опухоли α – ФНО-α [4]. В этом ключе весьма перспективным является применение рекомбинантных моноклональных антител к ФНО-α, способных улучшать адипокиновый профиль адипоцитов. Так, применение инфликсимаба у мышей со стрептозотоциновым сахарным диабетом восстанавливало экспрессию адипонектина в висцеральных адипоцитах и улучшало эндотелиальную вазодилатацию [22]. Кроме того, для восполнения дефицита адипонектина в будущем можно применять рекомбинантный адипонектин. Опубликованы многообещающие результаты экспериментальных исследований о противоатерогенной активности С-концевого глобулярного домена адипонектина у мышей ob/ob [23].
В проведенном нами исследовании уровень мРНК адипонектина во всех исследованных типах жировых депо у пациентов с незначительной степенью поражения коронарного русла превышал таковой у лиц со средней и тяжелой степенью. Корреляционный анализ подтвердил наличие обратной зависимости между снижением экспрессии гена адипонектина в ЭЖТ и степенью поражения коронарного русла (r=-0,82; p=0,023). Снижение экспрессии адипонектина ассоциировалось с уменьшением ФВ (r=0,73; p=0,03), что свидетельствует о возможном участии адипонектина в регуляции процессов ремоделирования ЛЖ.
На основании полученных результатов можно высказать предположение, что параллельно снижению экспрессии гена адипонектина в ЭЖТ наблюдается прогрессирование атеросклероза, что в сочетании с активацией провоспалительных процессов может способствовать дальнейшему прогрессированию ИБС. Подтверждением данного предположения могут служить результаты, полученные S. Eiras и соавт., оценивавшими экспрессию адипонектина и интерлейкина-6 (ИЛ-6) в ЭЖТ и ПЖТ у 92 пациентов (58 – с ИБС, 34 – без ИБС), перенесших операцию на сердце. Авторы обнаружили, что уровни мРНК адипонектина и ИЛ-6 в ЭЖТ напрямую связаны с увеличением тяжести атеросклеротического поражения коронарного русла при ИБС, поскольку с увеличением числа пораженных сосудов по данным коронароангиографии уровень мРНК адипонектина снижался на фоне повышения мРНК ИЛ-6 [24]. Кроме того, известно, что уровни адипонектина обратно коррелируют с прогрессированием кальцификации КА [25]. В исследованиях показано, что мутации гена адипонектина тесно связаны с развитием и прогрессированием ИБС [26]. А у мышей с дефицитом аполипопротеина Е применение аденовируса с адипонектином снижает образование бляшек в синусе аорты на 30% [27].
Заключение
Результаты проведенного исследования указывают на то, что «атеропротективный» потенциал ЖТ зависит от ее локализации. Так, адипоциты ЭЖТ пациентов с ИБС характеризуются ярко выраженным снижением мРНК адипонектина: зарегистрирован минимальный уровень экспрессии адипонектина по сравнению с адипоцитами другой локализации. Данная особенность ЭЖТ может оказывать негативное влияние как на адипоциты, так и на кардиомиоциты, что может способствовать усугублению атеросклеротических процессов и связанных с ними осложнений. Корреляция экспрессии адипонектина ЭЖТ с прогрессированием поражения коронарных сосудов и снижением ФВ ЛЖ делает его важным показателем развития осложнений ИБС.
About the authors
E. V. Belik
Research Institute for Complex Issues of Cardiovascular Disease
Author for correspondence.
Email: sionina.ev@mail.ru
ORCID iD: 0000-0003-3996-3325
мл.н.с. лаб. исследований гомеостаза отд. диагностики сердечно-сосудистых заболеваний
Russian Federation, KemerovoO. V. Gruzdeva
Research Institute for Complex Issues of Cardiovascular Disease
Email: sionina.ev@mail.ru
ORCID iD: 0000-0002-7780-829X
д.м.н., зав. лаб. исследований гомеостаза отд. диагностики сердечно-сосудистых заболеваний
Russian Federation, KemerovoO. E. Akbasheva
Siberian State Medical University
Email: sionina.ev@mail.ru
ORCID iD: 0000-0003-0680-8249
д.м.н., проф. каф. биохимии и молекулярной биологии с курсом клинической лабораторной диагностики, заместитель декана медико-биологического фак-та
Russian Federation, TomskYu. A. Dyleva
Research Institute for Complex Issues of Cardiovascular Disease
Email: sionina.ev@mail.ru
ORCID iD: 0000-0002-6890-3287
к.м.н., с.н.с. лаб. исследований гомеостаза отд. диагностики сердечно-сосудистых заболеваний
Russian Federation, KemerovoD. A. Borodkina
Research Institute for Complex Issues of Cardiovascular Disease
Email: sionina.ev@mail.ru
ORCID iD: 0000-0002-6221-3509
к.м.н., с.н.с. лаб. исследований гомеостаза отд. диагностики сердечно-сосудистых заболеваний
Russian Federation, KemerovoM. Yu. Sinitsky
Research Institute for Complex Issues of Cardiovascular Disease
Email: sionina.ev@mail.ru
ORCID iD: 0000-0002-4824-2418
к.б.н., с.н.с. лаб. геномной медицины отд. экспериментальной и клинической кардиологии
Russian Federation, KemerovoA. V. Sotnikov
Research Institute for Complex Issues of Cardiovascular Disease
Email: sionina.ev@mail.ru
ORCID iD: 0000-0002-1828-5652
врач сердечно-сосудистый хирург кардиохирургического отд-ния
Russian Federation, KemerovoK. A. Kozyrin
Research Institute for Complex Issues of Cardiovascular Disease
Email: sionina.ev@mail.ru
врач сердечно-сосудистый хирург кардиохирургического отд-ния
Russian Federation, KemerovoN. K. Brel
Research Institute for Complex Issues of Cardiovascular Disease
Email: sionina.ev@mail.ru
ORCID iD: 0000-0002-5643-4022
врач-рентгенолог отд-ния лучевой диагностики
Russian Federation, KemerovoD. Yu. Naumov
Research Institute for Complex Issues of Cardiovascular Disease
Email: sionina.ev@mail.ru
лаборант-исследователь лаб. интервенционных методов диагностики и лечения
Russian Federation, KemerovoA. A. Shilov
Research Institute for Complex Issues of Cardiovascular Disease
Email: sionina.ev@mail.ru
ORCID iD: 0000-0002-4639-7416
к.м.н., с.н.с. лаб. интервенционных методов диагностики и лечения
Russian Federation, KemerovoE. E. Bychkova
Research Institute for Complex Issues of Cardiovascular Disease
Email: sionina.ev@mail.ru
ORCID iD: 0000-0002-0500-2449
лаборант-исследователь лаб. исследований гомеостаза отд. диагностики сердечно-сосудистых заболеваний
Russian Federation, KemerovoV. N. Karetnikova
Research Institute for Complex Issues of Cardiovascular Disease
Email: sionina.ev@mail.ru
ORCID iD: 0000-0002-9801-9839
д.м.н., проф., зав. лаб. патофизиологии мультифокального атеросклероза отд. мультифокального атеросклероза
Russian Federation, KemerovoO. L. Barbarash
Research Institute for Complex Issues of Cardiovascular Disease
Email: sionina.ev@mail.ru
ORCID iD: 0000-0002-4642-3610
чл.-кор. РАН, д.м.н., проф., дир.
Russian Federation, KemerovoReferences
- Fantuzzi G, Mazzone T. Adipose tissue and atherosclerosis: exploring the connection. Arterioscler Thromb Vasc Biol. 2007;27(5):996-1003. doi: 10.1161/atvbaha.106.131755
- Neeland IJ, Patel RS, Eshtehardi P, et al. Coronary angiographic scoring systems: An evaluation of their equivalence and validity. Am Heart J. 2012;164:547-52. doi: 10.1016/j.ahj.2012.07.007
- Sianos G, Morel MA, Kappetein AP, et al. The SYNTAX Score: an angiographic tool grading the complexity of coronary artery disease. EuroInterv. 2005;1:219-27.
- Груздева О.В., Акбашева О.Е., Дылева Ю.А. и др. Адипокиновый и цитокиновый профили эпикардиальной и подкожной жировой ткани у пациентов с ишемической болезнью сердца. Бюллетень экспериментальной биологии и медицины. 2017;63(5):560-3 [Gruzdeva OV, Akbasheva OE, Dyleva YuA, et al. Adipokine and cytokine profiles of epicardial and subcutaneous adipose tissue in patients with coronary artery disease. Bulletin of Experimental Biology and Medicine. 2017;63(5):560-3 (In Russ.)].
- Дылева Ю.А., Груздева О.В., Белик Е.В. и др. Экспрессия гена и содержание адипонектина в жировой ткани у пациентов с ишемической болезнью сердца. Биомедицинская химия. 2019;65(3):239-44 [Dyleva YuA, Gruzdeva OV, Belik EV, et al. Gene expression and adiponectin content in adipose tissue in patients with coronary artery disease. Biomeditsinskaya Khimiya. 2019;65(3):239-44 (In Russ.)].
- Kershaw EE, Flier JS. Adipose tissue as an endocrine оrgan. J Clin Endocrinol Metabolism. 2004;89(6):2548-56. doi: 10.1210/jc.2004-0395
- Pineiro R, Iglesias MJ, Gallego R, et al. Adiponectin is synthesized and secreted by human and murine cardiomyocytes. FEBS Lett. 2005;579:5163-9. doi: 10.1016/j.febslet.2005.07.098
- Libby P. Inflammation in atherosclerosis. Nature. 2002;420(6917):868-74. doi: 10.1038/nature01323
- Chandran M, Phillips SA, Ciaraldi T, Henry RR. Adiponectin: more than just another fat cell hormone? Diabetes Care. 2003;26:2442-50. doi: 10.2337/diacare.26.8.2442
- Kumada M, Kihara S, Ouchi N, et al. Adiponectin specifically increased tissue inhibitor of metalloproteinase-1 through interleukin-10 expression in human macrophages. Circulation. 2004;109:2046-9. doi: 10.1161/01.cir.0000127953.98131.ed
- Koenig W, Khuseyinova N, Baumert J, et al. Serum concentrations of adiponectin and risk of type 2 diabetes mellitus and coronary heart disease in apparently healthy middle-aged men: results from the 18-year follow-up of a large cohort from southern Germany. J Am Coll Cardiol. 2006;48:1369-77. doi: 10.1016/j.jacc.2006.06.053
- Pischon T. Plasma adiponectin levels and risk of myocardial infarction in men. JAMA. 2004;291:1730-7. doi: 10.1001/jama.291.14.1730
- Kumada M, Kihara S, Sumitsuji S, et al. Association of hypoadiponectinemia with coronary artery disease in men. Arterioscler Thromb Vasc Biol. 2003;23:85-9. doi: 10.1161/01.atv.0000048856.22331.50
- Matthias B, Shai I, Rimm E. Adiponectin and Future Coronary Heart Disease Events Among Men With Type 2 Diabetes. Am J Epidem. 2007;165:164-74.
- Wannamethee SG, Whincup PH, Lennon L, Sattar N. Circulating adiponectin levels and mortality in elderly men with and without cardiovascular disease and heart failure. Arch Intern Med. 2007;167:1510-7. doi: 10.1001/archinte.167.14.1510
- George J. Circulating adiponectin levels predict outcome in patients with severe congestive heart failure. Heart. 2006;92:1420-4. doi: 10.1136/ hrt.2005.083345
- Kistorp C, Faber J, Galatius S, et al. Plasma adiponectin, body mass index, and mortality in patients with chronic heart failure. Circulation. 2005;112:1756-62. doi: 10.1161/circulationaha.104.530972
- Vela D, Buja LM, Madjid M, et al. The role of periadventitial fat in atherosclerosis: An adipose subset with potential diagnostic and therapeutic implications (Review). Arch Pathol Lab Med. 2007;131(3):481-7.
- Sacks H, Fain J. Human epicardial adipose tissue: A review. Am Heart J. 2007;153(6):907-17. doi: 10.1016/j.ahj.2007.03.019
- Iacobellis G, Pistilli D, Gucciardo M, Leonetti F. Adiponectin expression in human epicardial adipose tissue in vivo is lower in patients with coronary artery disease. Cytokine. 2005;29(6):251-5. doi: 10.1016/ j.cyto.2004.11.002
- Bambacea C, Telescab M, Zoicoa E, et al. Adiponectin gene expression and adipocyte diameter: a comparison between epicardial and subcutaneous adipose tissue in men. Cardiovasc Pathology. 2011;20: е153–e156. doi: 10.1016/j.carpath.2010.07.005
- Nacci C, Leo V, De Benedictis L, et al. Infliximab therapy restores adiponectin expression in perivascular adipose tissue and improves endothelial nitric oxide-mediated vasodilation in mice with type 1 diabetes. Vasc Pharmacol. 2016;87:83-91. doi: 10.1016/j.vph.2016.08.007
- Yamauchi T, Kamon J, Waki H, et al. Globular adiponectin protected ob/ob mice from diabetes and ApoE-deficient mice from atherosclerosis. J Biol Chem. 2003;278:2461-8. doi: 10.1074/jb
- Eiras S, Teijeira-Fernández E, Shamagian LG, et al. Extension of coronary artery disease is associated with increased IL-6 and decreased adiponectin gene expression in epicardial adipose tissue. Cytokine. 2008;43(2):174-80. doi: 10.1016/j.cyto.2008.05.006
- Chatterjee TK, Stoll LL, Denning GM, et al. Proinflammatory phenotype of perivascular adipocytes: influence of high-fat feeding. Circ Res. 2009;104:541-9. doi: 10.1161/circresaha.108.182998
- Maahs DM, Ogden LG, Kinney GL, et al. Low plasma adiponectin levels predict progression of coronary artery calcification. Circulation. 2005;111:747-53. doi: 10.1161/01.cir.0000155251.03724.a5
- Araki T, Emoto M, Teramura M, et al. Effect of adiponectin on carotid arterial stiffness in type 2 diabetic patients treated with pioglitazone and metformin. Metabolism. 2006;55:996-1001. doi: 10.1016/j.metabol. 2006.03.008
Supplementary files




