Основные результаты клинических исследований эффективности, безопасности и фармакокинетики перспективного противотуберкулезного препарата макозинон (PBTZ169)
- Авторы: Марьяндышев А.О.1, Хохлов А.Л.2, Смердин С.В.3, Щербакова В.С.4, Игумнова О.В.4, Озерова И.В.5, Болгарина А.А.4, Никитина Н.А.4
-
Учреждения:
- ФГБОУ ВО «Северный государственный медицинский университет» Минздрава России
- ФГБОУ ВО «Ярославский государственный медицинский университет» Минздрава России
- ГБУЗ МО «Московский областной клинический противотуберкулезный диспансер»
- ООО «НИАРМЕДИК ФАРМА»
- ФГБНУ «Научно-исследовательский институт фармакологии им. В.В. Закусова»
- Выпуск: Том 92, № 3 (2020)
- Страницы: 61-72
- Раздел: Передовая статья
- Статья получена: 26.04.2020
- Статья опубликована: 27.03.2020
- URL: https://ter-arkhiv.ru/0040-3660/article/view/33905
- DOI: https://doi.org/10.26442/00403660.2020.03.000621
- ID: 33905
Цитировать
Полный текст
Аннотация
Туберкулез – хроническое инфекционное заболевание, как правило, локализующееся в органах дыхания и представляющее одну из важнейших глобальных социальных и медико-биологических проблем здравоохранения, связанную с распространением устойчивых к терапии форм (туберкулез с множественной и широкой лекарственной устойчивостью). Одной из наиболее перспективных мишеней для разработки антимикотических лекарственных препаратов является фермент DprE1, участвующий в синтезе клеточной стенки микобактерий. В ряду препаратов – ингибиторов DprE1 наиболее изучен препарат PBTZ169 (международное непатентованное наименование макозинон), клинические исследования (КИ) эффективности и безопасности которого проводились как на территории Российской Федерации (спонсор ООО «НИАРМЕДИК ПЛЮС»), так и за рубежом (спонсоры Фонд Innovative Medicines for Tuberculosis, École polytechnique fédérale de Lausanne и Bill and Melinda Gates Foundation). В публикации описаны результаты завершенных КИ I, IIа и Ib фаз, проведенных на территории Российской Федерации.
Цель. Цель I фазы КИ заключалась в оценке безопасности, переносимости и фармакокинетики препарата PBTZ169, капсулы 40 мг, после однократного и многократного применения натощак в возрастающих дозах у здоровых добровольцев. Цель IIа фазы КИ заключалась в изучении эффективности (по параметру ранней бактерицидной активности – РБА), безопасности и фармакокинетики препарата PBTZ169, капсулы 80 мг, в разных дозах при применении в качестве монотерапии у пациентов с впервые выявленным туберкулезом органов дыхания с бактериовыделением и сохраненной чувствительностью к изониазиду и рифампицину. Цель Ib фазы КИ заключалась в оценке безопасности, переносимости, фармакокинетики препарата PBTZ169, капсулы 80 мг, при однократном, двукратном и многократном применении натощак в возрастающих дозах, а также влияния пищи на его биодоступность у здоровых добровольцев.
Материалы и методы. Проанализированы данные, полученные в результате I, IIа и Ib фаз КИ PBTZ169, в ходе которых 100 здоровых добровольцев и 15 пациентов с впервые выявленным туберкулезом легких принимали исследуемый препарат PBTZ169, капсулы 40 и 80 мг, в диапазоне доз от 40 до 1280 мг. В ходе КИ I фазы изучались безопасность, переносимость и фармакокинетика применяемых доз натощак и после еды при однократном и многократном применении. Оценка безопасности включала определение нежелательных явлений/серьезных нежелательных явлений, жизненно важных функций, данных электрокардиографии и лабораторных анализов всех добровольцев, принимавших исследуемый препарат. В ходе КИ IIа фазы помимо изучения безопасности, переносимости и фармакокинетики оценивали эффективность препарата по параметру РБА с использованием посева мокроты на агар с подсчетом КОЕ/мл (основной метод) и метода количественной полимеразной цепной реакции (вспомогательный метод).
Результаты. В ходе всех КИ показан высокий профиль безопасности и переносимости, описаны основные фармакокинетические параметры препарата и эффективность по показателю РБА. Сделано заключение о тенденции линейности фармакокинетики в диапазоне дозировок до 640 мг при однократном и многократном приеме препарата PBTZ169, установлена статистически значимая РБА препарата после монотерапии в дозе 640 мг/сут, а также сделан вывод о предпочтительном режиме приема препарата PBTZ169 после приема пищи. Во всех КИ продемонстрированы хорошая переносимость и благоприятный профиль безопасности препарата в исследованном диапазоне доз.
Заключение. Одним из наиболее перспективных и изученных на сегодняшний день препаратов – ингибиторов DprE1, новой мишени клеточной стенки микобактерий, является PBTZ169 (макозинон), разработкой которого занимается российская фармацевтическая компания ООО «НИАРМЕДИК ПЛЮС».
Полный текст
ВИЧ – вирус иммунодефицита человека
ВОЗ – Всемирная организация здравоохранения
ДИ – доверительный интервал
КИ – клиническое исследование
МБТ – микобактерия туберкулеза
МЛУ-ТБ – туберкулез с множественной лекарственной
устойчивостью
НЯ – нежелательные явления
ПТП – противотуберкулезные препараты
ПЦР – полимеразная цепная реакция
РБА – ранняя бактерицидная активность
РКИ – рандомизированное клиническое исследование
СНЯ – серьезные нежелательные явления
СО – стандартное отклонение
ФК – фармакокинетика
ШЛУ-ТБ – туберкулез с широкой лекарственной устойчивостью
Cmax – максимальная концентрация
DprE – декапренилфосфорил-d-рибоз-эпимераза
EMA – Европейское агентство по лекарственным средствам
FDA – Управление по контролю пищевых продуктов и лекарств в США
Tmax – время достижения максимальной концентрации
Введение
Туберкулез как хроническое инфекционное заболевание представляет одну из важнейших глобальных социальных и медико-биологических проблем здравоохранения. Возбудителями туберкулеза являются патогенные микобактерии класса Actinobacteria, семейства Mycobacteriaceae, образующие группу Mycobacterium tuberculosis complex. Большинство случаев заболевания туберкулезом вызывается Mycobacterium tuberculosis, среди которых выделяют штаммы «старые» и современные – M. tuberculosis кластеров (Beijing, Haarlem, LAM, Ural и др.). Инфекционный процесс, как правило, локализуется в органах дыхания, однако может протекать в диссеминированном виде. Следует отметить, что туберкулезу свойственно многообразие клинических и патоморфологических проявлений [1].
Микобактерии туберкулеза (МБТ) обладают высокой изменчивостью, важным свойством которой является формирование устойчивости, в том числе с участием генетических механизмов, к противотуберкулезным препаратам (ПТП). Это создало серьезную проблему общественного здравоохранения во всем мире – распространение туберкулеза с множественной (МЛУ-ТБ) и широкой лекарственной устойчивостью (ШЛУ-ТБ) [2, 3]. Так, показано, что наиболее распространенный в России штамм M. tuberculosis кластера Beijing обладает высокой трансмиссивностью и способностью к быстрому формированию лекарственной устойчивости к ПТП [1].
По оценкам Всемирной организации здравоохранения (ВОЗ) [4], в 2017 г. туберкулезом заболели 10 млн человек, в том числе 1 млн детей, и 1,6 млн человек (из них 0,3 млн человек с вирусом иммунодефицита человека – ВИЧ и 230 тыс. детей) умерли от этой болезни. Отмечено 558 тыс. новых случаев туберкулеза с устойчивостью к рифампицину – одному из самых эффективных препаратов 1-й линии, – из которых в 82% случаев зарегистрирован МЛУ-ТБ, из них примерно у 8,5% пациентов был установлен ШЛУ-ТБ.
В настоящее время в мировой практике основным способом лечения туберкулеза является комплексное применение нескольких препаратов, что сопряжено с повышением количества нежелательных реакций в противотуберкулезной терапии. Но в связи с быстрым распространением в мире штаммов возбудителя этого заболевания, устойчивых к традиционным препаратам (изониазиду, рифампицину, салицилатам и антибиотикам широкого спектра действия, включая современные фторхинолоны), перспективным путем повышения эффективности лечения туберкулеза и других микобактериозов в последние годы стало создание принципиально новых ПТП путем скрининга новых природных молекул или химической модификации известных структур. При создании и поиске новых перспективных лекарств для лечения микобактериозов следует учитывать, что помимо требований к высокой противомикробной активности такие препараты должны отвечать и другим требованиям, таким как минимальная выраженность нежелательных реакций, отсутствие существенного подавления эндогенной кишечной микрофлоры, пригодность и удобство для перорального приема.
Одной из наиболее перспективных лекарственных мишеней для терапии туберкулеза является динамическая клеточная стенка МБТ, представляющая собой высокогидрофобную структуру, которая защищает бактерии от стресса, атак иммунной системы во время инфекции и имеет решающее значение для ее вирулентности и патогенности [5]. В то же время это довольно уязвимая часть клетки, поскольку она служит мишенью для таких наиболее важных ПТП, как изониазид, этамбутол, этионамид, D-циклосерин, а также многих перспективных препаратов, находящихся в разработке.
Так, к перспективным мишеням клеточной стенки для разработки антимикобактериальных лекарственных препаратов относится DprE1 – одна из двух субъединиц фермента-каталазы декапренилфосфорил-d-рибоз-эпимеразы (DprE), участвующая в одном из важнейших этапов биосинтеза липоарабиноманнана, являющегося, в свою очередь, одной из критических составляющих клеточной стенки МБТ [5, 6].
Впервые о важной роли DprE1 в качестве мишени для разработки лекарственных препаратов заявлено в 2009 г., когда появились первые публикации о новом классе лекарств-кандидатов – бензотиазинонах (1,3-бензотиазин- 4-оны), выступающих в качестве суицидных ингибиторов этого фермента и проявляющих высокую активность в экспериментах in vitro и in vivo [7, 8]. Минимальные ингибирующие концентрации нескольких представителей этого класса лекарственных препаратов против различных МБТ были впечатляющими и варьировались от <0,1 до 80 нг/мл для быстро растущих микобактерий и от 0,1 до 30 нг/мл для представителей M. tuberculosis complex [8, 9].
После публикации оригинальной статьи, раскрывающей структуру и противотуберкулезную активность бензотиазинонов [8], разными группами ученых инициированы исследования по поиску и разработке новых ингибиторов DprE1, которые были бы достаточно липофильными, чтобы иметь высокую антимикобактериальную активность, и обладали бы улучшенными фармакокинетическими и фармакодинамическими параметрами BTZ043 [10]. Добавление пиперазина к химическому структурному каркасу BTZ привело к появлению еще более эффективных производных – серии PBTZ, лучшим из которых было выбрано соединение PBTZ169.
Следует отметить, что PBTZ169 показал полную совместимость и синергию действия [11] со всеми другими одобренными и экспериментальными апробированными ПТП: в комбинации с бедаквилином и пиразинамидом или по отдельности с каждым из них, клофазимином, деламанидом, сутезолидом, кломифеном [10, 12].
Препарат PBTZ169, которому в 2018 г. ВОЗ присвоила международное непатентованное наименование macozinone (макозинон), продвинулся дальше всех препаратов – ингибиторов DprE1, находящихся на разных этапах разработки [25].
По оценкам ведущих мировых экспертов, на сегодняшний день PBTZ169, ингибирующий фермент клеточной стенки микобактерий декапренил-b-D-рибозо-2-эпимеразу в наномолярных концентрациях (минимальная ингибирующая концентрация ~0,2 нг/мл), является одним из самых активных из известных в мире кандидатных лекарственных средств, действующих на клетки микобактерий [8, 13].
Уникальность мишени PBTZ169 обеспечивает высокую активность препарата в отношении не только стандартных форм туберкулеза, но и в отношении мультирезистентных форм, что показано в специально проделанных работах с клинически изолированными штаммами, собранными в разных частях земного шара [14].
В проведенных исследованиях на базе Центрального научно-исследовательского института туберкулеза (Москва) продемонстрирована крайне высокая специфическая активность PBTZ169 (бактериостатическая и бактерицидная) в отношении МЛУ/ШЛУ-штаммов, в том числе в отношении самых опасных штаммов МБТ, большинство из которых были устойчивы как минимум к 9 основным и резервным ПТП. Кроме того, при инкубации in vitro с PBTZ169 в концентрации 0,037 мкг/мл происходило полное подавление роста всех штаммов, выделенных от ВИЧ-негативных и от большинства ВИЧ-инфицированных больных [15].
На основании данного исследования можно заключить, что PBTZ169 в настоящее время является одним из наиболее перспективных ПТП, активных в отношении штаммов МБТ, резистентных ко всем известным препаратам.
Клинические исследования (КИ) эффективности и безопасности макозинона [16] на территории Российской Федерации проводятся российской фармацевтической компанией ООО «НИАРМЕДИК ПЛЮС», которая завершила КИ I, IIa и Ib фазы.
Цель КИ I фазы заключалась в оценке безопасности, переносимости и фармакокинетики (ФК) препарата PBTZ169, капсулы 40 мг, после однократного и многократного применения натощак в возрастающих дозах у здоровых добровольцев.
Целью КИ IIа фазы стали исследование эффективности (по параметру ранней бактерицидной активности – РБА), безопасности и изучение ФК препарата PBTZ169, капсулы 80 мг, в разных дозах при применении в качестве монотерапии у пациентов с впервые выявленным туберкулезом органов дыхания с бактериовыделением и сохраненной чувствительностью к изониазиду и рифампицину.
Цель КИ Ib фазы заключалась в оценке безопасности, переносимости, изучении ФК препарата PBTZ169 в капсулах 80 мг при применении в возрастающих дозах, а также влияния пищи на его биодоступность у здоровых добровольцев.
Материалы и методы
В связи с тем, что разработка препарата PBTZ169 ведется в рамках масштабного международного проекта, участниками которого являются ООО «НИАРМЕДИК ПЛЮС», École Polytechnique Fédérale de Lausanne (Швейцария), международные фонды im4TB и Bill & Melinda Gates Foundation, при создании концепции программы КИ PBTZ169 требовалось следование международным стандартам при проведении КИ для оригинальных ПТП, в связи с чем учитывались рекомендации и требования международных регуляторных органов – Управления по контролю пищевых продуктов и лекарств в США (FDA) и Европейского агентства по лекарственным средствам (ЕМА) [17, 18].
В ходе проведенного открытого с рандомизацией внутри когорт исследования I фазы исследуемый препарат PBTZ169, капсулы 40 мг, принимали 40 здоровых добровольцев (табл. 1): 30 добровольцев при однократном применении натощак (по 6 добровольцев в каждой когорте) в возрастающих дозах (40, 80, 160, 320, 640 мг – 1–5-я когорты соответственно) на I этапе исследования и 10 добровольцев при многократном применении натощак (по 5 добровольцев в каждой когорте) в течение 14 дней в дозах 320 и 640 мг (6 и 7-я когорты соответственно) на II этапе исследования. В ходе исследования изучены безопасность и переносимость, а также оценена ФК препарата PBTZ169.
Таблица 1. Демографические характеристики участников КИ I фазы
Когорта 1 (n=6) | Когорта 2 (n=6) | Когорта 3 (n=6) | Когорта 4 (n=6) | Когорта 5 (n=6) | Когорта 6 (n=5) | Когорта 7 (n=5) | |
Возраст, среднее ± СО, лет | 28,8±5,00 | 27,8±5,64 | 31,8±6,55 | 31,2±6,85 | 29,0±7,18 | 22,6±2,61 | 28,6±6,50 |
Пол, n (%): | |||||||
Мужской | 6 (100,0) | 6 (100,0) | 6 (100,0) | 6 (100,0) | 6 (100,0) | 5 (100,0) | 5 (100,0) |
Женский | 0 (0) | 0 (0) | 0 (0) | 0 (0) | 0 (0) | 0 (0) | 0 (0) |
Включение добровольцев в каждую следующую когорту проводили минимум через 7 дней после того, как добровольцы из предыдущей когорты получали препарат (для I этапа) или получали последнюю дозу препарата (для II этапа).
На I этапе каждый здоровый доброволец получил только по одной дозе исследуемого препарата утром натощак (10 ч ночного голодания), запивая 300 мл бутилированной воды. На II этапе каждый доброволец в стационарных условиях получал исследуемый препарат ежедневно натощак (10 ч ночного голодания) один раз в день утром в одно и то же время ±15 мин в постоянной дозе (в зависимости от когорты), запивая 300 мл бутилированной воды. Продолжительность применения препарата составила 14 дней.
У добровольцев проведены следующие анализы:
- взятие образцов венозной крови для определения концентрации PBTZ169 при однократном (до и после приема препарата: до 24 ч – для когорт 1 и 2, до 48 ч – для когорт 3 и 4, до 72 ч – для когорты 5) и многократном приеме препарата (до и после приема 1, 7-й и последней, 14-й, доз препарата в течение 24 ч после приема; после приема последней, 14-й, дозы препарата также взяты образцы крови в точках 48 ч и 72 ч);
- сбор мочи для оценки ФК в каждой из когорт в течение первых 24 ч после приема первой (I и II этап) и последней дозы (II этап).
В течение всего периода приема препарата PBTZ169 и времени отбора проб крови для ФК после приема препарата добровольцы находились под наблюдением в условиях стационара, после чего наблюдение продолжали в амбулаторных условиях.
После выписки из стационара добровольцы из когорт 1–5 посещали исследовательский центр через 5±1 дней после приема препарата для проведения процедур последующего наблюдения (оценка безопасности), а добровольцы из когорт 6 и 7 – через 1 и 2 сут для взятия крови в точках 48 ч и 72 ч, а также через 7±1 сут и 14±1 сут после последнего приема препарата (день 19±1 и день 28±1 исследования) для проведения процедур последующего наблюдения (оценка безопасности).
Завершающий визит проводился через 14±1 дней после приема препарата, а для добровольцев, участвующих на II этапе, – через 21±1 день после приема последней дозы (день 35±1 исследования).
Оценка безопасности включала определение нежелательных явлений (НЯ)/серьезных нежелательных явлений (СНЯ), жизненно важных функций, данных электрокардиографии, физикального обследования и лабораторных анализов в популяции безопасности. Текущая оценка получаемых данных и безопасности субъектов в ходе исследования осуществлялась независимым советом по оценке данных и безопасности субъектов исследования, состоящим из медицинских экспертов.
Все параметры безопасности представлены с помощью показателей описательной статистики. Параметры ФК определялись с помощью программы WinNonlin (Phoenix Inc.) по результатам измерения концентраций препарата.
В многоцентровом пилотном открытом рандомизированном КИ (РКИ) IIа фазы в параллельных группах с активным контролем принимали участие 16 пациентов (табл. 2) с впервые выявленным туберкулезом органов дыхания с бактериовыделением и сохраненной чувствительностью к изониазиду и рифампицину. В КИ оценивали эффективность (по параметру РБА), безопасность и ФК препарата PBTZ169, капсулы 80 мг, в дозах 160, 320 и 640 мг/сут при пероральном применении в качестве монотерапии в течение 14 дней. Препараты исследования принимали 16 пациентов в следующем соотношении: PBTZ169, капсулы, в дозе 160 мг/сут – 4 пациента (1-я группа); PBTZ169, капсулы, в дозе 320 мг/сут – 4 пациента (2-я группа); PBTZ169, капсулы, в дозе 640 мг/сут – 7 пациентов (3-я группа); изониазид, таблетки, в стандартной дозе 600 мг/сут – 1 пациент (4-я группа).
Таблица 2. Демографические характеристики участников КИ IIa фазы
Группа | ||||||
PBTZ169, 160 мг (n=4) | PBTZ169, 320 мг (n=4) | PBTZ169, 640 мг (n=7) | PBTZ169 (n=15) | Изониазид (n=1) | Всего (n=16) | |
Возраст, среднее ± СО, лет | 49,0±13,0 | 48,8±10,7 | 43,7±14,8 | 46,5±12,7 | 41,0±0,0 | 46,1±12,3 |
Пол, n (%): | ||||||
Мужской | 4 (100,0) | 4 (100,0) | 5 (71,4) | 13 (86,7) | 1 (100,0) | 16 (87,5) |
Женский | 0 (0) | 0 (0) | 2 (28,6) | 2 (13,3) | 0 (0) | 2 (12,5) |
Согласно рекомендациям FDA и EMA эффективность и безопасность новых ПТП у пациентов с впервые выявленным туберкулезом оцениваются в первую очередь в исследованиях РБА – первом, обязательном и очень важном этапе КИ [13, 14]. Основной целью исследований РБА являются предварительная оценка эффективности новых ПТП или их комбинаций, сравнение эффективности разных доз и выбор эффективных доз. Ключевыми критериями дизайна проведения исследований РБА являются небольшие когорты пациентов и короткий период наблюдения, требуемые для получения качественных результатов. Демонстрация РБА, приемлемого профиля безопасности и переносимости в таких исследованиях позволяет переходить к более длительным исследованиям и изучать кандидатный лекарственный ПТП у больших популяций пациентов в составе комбинированной терапии. Исследования РБА рассматриваются зарубежными регуляторными органами (FDA и EMA) и профессиональными сообществами фтизиатров в качестве наиболее оптимального подхода для первоначальной клинической оценки оригинальных ПТП или формирования нового режима терапии.
Необходимо отметить, что КИ подобного рода (изучение РБА) согласно рекомендованной международной практике по разработке новых ПТП в РФ ранее не проводились. В связи с этим многие исследовательские центры имели ограниченный опыт организации и проведения КИ, соответствующих требованиям ICH GCP. Помимо этого на скорость набора пациентов, создав серьезные ограничения, повлияли очень жесткие критерии включения/исключения пациентов в КИ, предусмотренные протоколом КИ, рекомендованные FDA и применяемые при проведении исследований РБА у современных зарубежных ПТП (бедаквилин и деламанид), такие как, например, невключение особых популяций пациентов, составляющих большую часть популяции больных туберкулезом (пациенты с коинфекцией ВИЧ и гепатитами, тяжелыми формами заболевания, пациенты с сопутствующими заболеваниями и лица без определенного места жительства). Так, несмотря на то, что по данным официальной статистики в 2016 г. показатели первичной заболеваемости (впервые выявленные пациенты с туберкулезом) составили 78 121 человека, только 2480 пациентов (популяции из всей РФ) потенциально подходили для включения на этап прескрининга для участия в данных исследованиях, а в итоге на этап прескрининга КИ был набран 771 пациент (31,09% от общего расчетного числа пациентов РФ, пригодных для включения в прескрининг). Вследствие жестких критериев невключения (недостаточная интенсивность бактериовыделения, выявление первичной лекарственной устойчивости к ПТП, предыдущая терапия туберкулеза, выявление коинфекции ВИЧ, хронического гепатита С/В и сопутствующих заболеваний, наличие у пациентов алкогольной или наркотической зависимости, медико-социальный профиль пациентов) произошло выбывание пациентов из группы прескрининга, после чего только 16 пациентов были рандомизированы в КИ. По итогам консультаций с исследователями, анализа литературных данных по проведенным подобным исследованиям за рубежом было принято решение о достаточности набранного числа пациентов (16 человек) для проведения статистического анализа. Данное решение в виде поправки одобрено Минздравом России.
Исследование IIа фазы состояло из следующих этапов:
- Скрининг продолжительностью до 10 дней.
- Период монотерапии продолжительностью 14 дней.
- Наблюдение продолжительностью 7 дней.
Процедуры скрининга выполнялись в течение 10 дней до рандомизации и могли проводиться амбулаторно или в стационарных условиях.
Пациентов, соответствовавших критериям отбора, рандомизировали. При проведении процедуры рандомизации пациенту случайным образом присваивали рандомизационный номер, который генерировался IWRS. В соответствии с рандомизационным номером каждый пациент был распределен в одну из четырех групп, указанных выше.
В течение всего периода монотерапии и последующего наблюдения пациенты находились в стационаре.
Утром на 1-м визите у всех пациентов собирали ночную мокроту, после чего каждый из них получал монотерапию исследуемым препаратом (PBTZ169 или изониазид) в определенной дозе в течение 14 последовательных дней. Через 14 дней после начала монотерапии (на 15-й день исследования, визит 8) препарат PBTZ169 у пациентов из групп 1–3 отменяли, а еще через 3 дня после завершения монотерапии (18-й день исследования, визит 10) пациентам начинали лечение препаратами стандартной терапии. Пациентам в группе 4 (изониазид в стандартной дозе) лечение препаратами стандартной противотуберкулезной терапии продолжали без перерыва.
У всех пациентов в группах 1, 2 и 3 (монотерапия препаратом PBTZ169) для определения концентрации PBTZ169 проводили отбор образцов венозной крови до первого приема препарата (временная точка 0 мин) и далее в следующие моменты времени после первого приема препарата: через 0:20, 0:40, 1:00, 1:30, 2:00, 2:30, 3:00, 4:00, 6:00, 8:00, 10:00, 12:00 и 24:00 (ч:мин). Также отбор образцов крови проводили до последнего приема препарата PBTZ169 (временная точка 0 мин) и далее в следующие моменты времени после последнего приема препарата: через 0:20, 0:40, 1:00, 1:30, 2:00, 2:30, 3:00, 4:00, 6:00, 8:00, 10:00, 12:00, 24:00, 48:00 и 72:00 (ч:мин).
Согласно руководству ЕМА, оценка РБА основана на определении количества живых микобактерий в мокроте пациента на протяжении периода монотерапии препаратом. В качестве основного метода для определения количества микобактерий использовали посев мокроты на агар с подсчетом КОЕ/мл, который можно считать общепринятым [19–22]. Метод количественной ПЦР для определения количества клеток микобактерий в мокроте использовали в качестве вспомогательного метода для вторичного анализа [23].
В качестве основного анализа эффективность терапии оценивали по изменению log10 КОЕ/мл мокроты (для метода с посевом на агар) через 14 дней после начала терапии по сравнению с исходными значениями, а в качестве вторичного анализа – через 2 и 7 дней после начала терапии. РБА оценивали как изменение log10 КОЕ/мл мокроты, нормированное на день проводимой терапии с двусторонним 95% доверительным интервалом (ДИ).
Значения для разных уровней доз изучаемого препарата сравнивали с помощью теста Краскела–Уоллиса на двустороннем 5% уровне значимости. Наличие тренда для первичного показателя эффективности с ростом уровня дозы (рост РБА0–14 для возрастающих доз) проверялось с помощью теста Джонкхира–Терпстры.
Аналогичный анализ показателей эффективности (по изменениям log10 клеток/мл) был проведен на основе количественного определения количества клеток микобактерий с помощью количественной полимеразный цепной реакции (ПЦР).
Дополнительно согласованность результатов двух методов определения количества микобактерий анализировали с помощью графических методов, а также расчета коэффициентов корреляции между индивидуальными измерениями, полученными с помощью двух методов количественного определения.
Дескриптивная статистика для измерений концентрации и фармакокинетических параметров включает среднее значение, стандартное отклонение (СО), медиану, минимальное и максимальное значения, коэффициент вариации (%), число валидных случаев (N). Для значений концентрации, фармакокинетических параметров, C и AUC также были рассчитаны геометрические средние значения и геометрический коэффициент вариации.
Актуальные значения времени взятия пробы использовали при расчете индивидуальных значений фармакокинетических параметров с помощью некомпартментного подхода.
Был проведен дополнительный анализ для сопоставления показателей ФК и фармакодинамики. Для показателей РБА0–14, РБА2–14 в качестве фармакокинетических параметров для сопоставления использовали Cmax,ss и AUC0–24,ss, оцененные после многократного дозирования через 14 дней терапии, для показателя РБА0–2 – максимальная концентрация (Cmax), минимальная и AUC0–24, оцененные после первого приема препарата.
Оценка безопасности проводилась аналогично оценке безопасности и переносимости, проводимых в ходе I фазы КИ, в том числе с привлечением экспертного совета, состоящего из ведущих фтизиатров Российского общества фтизиатров.
В завершенном открытом проспективном несравнительном исследовании Ib фазы [16] препарата PBTZ169, капсулы 80 мг, приняли участие 60 здоровых добровольцев (6 когорт по 10 добровольцев в каждой; табл. 3). В ходе исследования на I этапе были изучены безопасность, переносимость и ФК препарата при однократном пероральном применении натощак в возрастающих дозах (640 мг – когорта 1, 960 мг – когорта 2, 1280 мг – когорта 4) или двукратном применении (когорта 3 – 1280 мг, по 640 мг два раза в день с промежутком 12 ч: утром натощак и второй раз через 12 ч после первого приема). На данном этапе также оценено влияние пищи при однократном приеме препарата в дозе 640 мг (когорта 1, дважды в двух периодах: 1А – натощак в первом периоде и после приема пищи во втором периоде, 1Б – после приема пищи в первом периоде и натощак во втором периоде). На II этапе изучены безопасность, переносимость и оценена ФК PBTZ169 в дозе 1280 мг один раз в день после приема пищи при применении в течение 14 дней (5-я когорта).
Таблица 3. Демографические характеристики участников КИ Ib фазы
Когорта | |||||||
1А (n=10) | 1Б (n=10) | 2 (n=10) | 3 (n=10) | 4 (n=10) | 5 (n=10) | Всего (n=60) | |
Возраст, среднее ± СО, лет | 27,2±5,25 | 23,0±2,26 | 23,7±3,95 | 27,1±5,09 | 30,1±9,10 | 26,7±5,01 | 26,3±5,79 |
Пол, n (%): | |||||||
Мужской | 5 (50,0) | 7 (70,0) | 1 (10,0) | 5 (50,0) | 6 (60,0) | 4 (40,0) | 28 (46,7) |
Женский | 5 (50,0) | 3 (30,0) | 9 (90,0) | 5 (50,0) | 4 (40,0) | 6 (60,0) | 32 (53,3) |
Оценка безопасности включала регистрацию НЯ/СНЯ, жизненно важных функций, данных электрокардиографии, физикального обследования и лабораторных анализов в популяции безопасности и проводилась аналогично оценке безопасности и переносимости выше описанных КИ I и IIа фазы. Оценка получаемых данных и безопасности субъектов в ходе исследования осуществлялась независимым комитетом мониторинга данных.
Описательные статистические данные для измерений концентрации и фармакокинетических параметров включали среднее значение, СО, медиану, минимальное и максимальное значения, коэффициент вариации (%), число валидных случаев (n). Для значений концентрации, фармакокинетических параметров, C и AUC также предоставлены и рассчитаны геометрические средние значения и геометрический коэффициент вариации.
При оценке влияния пищи на ФК препарата PBTZ169 в качестве исследуемого (T) способа применения рассматривался прием 8 капсул 80 мг после приема пищи, в качестве референтного (R) способа применения – прием 8 капсул 80 мг натощак, и оценивались относительная биодоступность и относительная степень всасывания.
После проведения логарифмического преобразования основные фармакокинетические показатели (Cmax и AUC) анализировались с помощью дисперсионного анализа ANOVA. Полученные точечные оценки и 90% ДИ для разности средних значений параметра ФК после его логарифмической трансформации (lnT–lnR) потенцировались для получения точечной оценки и соответствующих границ 90% ДИ для отношения геометрических средних (T/R).
Результаты
В ходе проведенного исследования I фазы показано, что препарат PBTZ169, капсулы 40 мг, при однократном и многократном применении натощак в возрастающих дозах (40, 80, 160, 320, 640 мг – для однократного; 320 и 640 мг – для многократного) у здоровых добровольцев обладал приемлемым профилем безопасности и хорошо переносился, не вызывал клинически значимых отклонений показателей жизненно важных функций (артериальное давление, частота сердечных сокращений, температура тела, частота дыхательных движений).
В ходе исследования выявлены следующие НЯ, имевшие связь с исследуемым препаратом: головная боль (всего 4 случая у 4 добровольцев – «возможная» связь) и повышение уровня глюкозы крови (всего 1 случай у 1 добровольца – «вероятная» связь). При возрастании дозы макозинона как при однократном, так и при многократном применении (II этап) увеличения частоты НЯ выявлено не было.
В исследовании показано, что при однократном применении натощак препарат быстро всасывался в кровь – Cmax достигалась в течение 1,5–2,5 ч, а при многократном – в течение 1,5–2,0 ч (медиана показателя). Данные основных параметров ФК PBTZ169 в плазме при однократном и многократном применении натощак представлены в табл. 4.
Таблица 4. Основные усредненные фармакокинетические параметры препарата PBTZ169 в плазме при однократном и многократном применении натощак в разных дозах
Фармакокинети- ческий параметр | Однократный прием, нг/мл | |||||
Когорта 1 (40 мг) | Когорта 2 (80 мг) | Когорта 3 (160 мг) | Когорта 4 (320 мг) | Когорта 5 (640 мг) | ||
Сmax | 40,67±15,28 | 66,99±33,81 | 135,85±46,32 | 156,25±65,54 | 349,67±145,92 | |
AUC0-t, нг¥ч/мл | 260,47±119,06 | 381,17±149,39 | 994,49±462,00 | 1193,70±212,53 | 2880,86±1219,30 | |
AUC0-∞, нг¥ч/мл | 349,25±206,53 | 452,83±148,58 | 1096,36±543,62 | 1329,65±250,95 | 3028,04±1286,88 | |
Многократный прием, нг/мл | ||||||
Когорта 6 (320 мг) | Когорта 7 (640 мг) | |||||
День 1 | День 7 | День 14 | День 1 | День 7 | День 14 | |
Сmax | 190,82±37,51 | 243,22±59,51 | 300,55±82,24 | 250,54±144,33 | 278,64±70,68 | 453,73±111,85 |
AUC0-∞, нг¥ч/мл | 1450,21±586,73 | 2747,33±795,07 | 3410,12±1204,07 | 1696,28±993,13 | 3024,29±726,15 | 4358,90±649,33 |
В результате исследования сделан вывод, что для препарата характерно линейно пропорциональное увеличение Cmax и AUC0–t при повышении дозы в пределах изученного диапазона 40–640 мг при однократном применении. Также препарат характеризуется большим объемом распределения – средние значения варьировали при однократном применении от 2762,47 до 6359,85 л и при многократном применении от 2957,51 до 6521,98 л. Период полувыведения составлял в среднем 10,1818,18 ч (однократное применение) и 9,4714,56 ч (многократное применение). Почечный клиренс препарата составлял в среднем от 7,16 до 17,72 мл/ч при однократном применении и в среднем от 5,7 до 11,2 мл/ч при многократном применении.
В многоцентровом пилотном открытом КИ IIа фазы анализ первичной переменной эффективности продемонстрировал статистически значимую РБА через 14 дней после начала монотерапии (РБА0–14) для группы терапии PBTZ169, 640 мг, с использованием методов подсчета КОЕ на агаре и количественной ПЦР (определения ДНК МБТ); см. табл. 2, 3. При использовании метода количественной ПЦР для данной группы терапии значения РБА0–14 (по средним значениям из двух измерений) и РБА0–14 (по максимальным значениям из двух измерений) составили 0,098 log10 клеток/мл в день (95% ДИ 0,021–0,175) и 0,100 log10 клеток/мл в день (95% ДИ 0,021–0,180) соответственно (табл. 5).
Таблица 5. Показатели РБА (динамика средних изменений log10 числа клеток в 1 мл мокроты, ПЦР, среднее по двум измерениям на визите)
Группа | |||||
PBTZ169 (160 мг) | PBTZ169 (320 мг) | PBTZ169 (640 мг) | Изониазид | ||
РБА0-14 | Среднее | 0,038 | -0,014 | 0,097 | -0,099 |
СО | 0,081 | 0,048 | 0,136 | ||
РБА0-2 | Среднее | -0,110 | 0,007 | 0,085 | -0,627 |
СО | 0,872 | 0,084 | 0,397 | ||
РБА0-7 | Среднее | -0,044 | -0,004 | 0,116 | -0,408 |
СО | 0,076 | 0,081 | 0,186 | ||
При использовании метода с посевом мокроты на агар с подсчетом КОЕ/мл наблюдалась тенденция проявления РБА через 14 дней для группы с максимальной дозировкой исследуемого препарата (640 мг). В данном случае значения РБА0–14 (по средним значениям из двух измерений) и РБА0–14 (по максимальным значениям из двух измерений) составили 0,071 log10 КОЕ/мл в день (95% ДИ 0–0,143) и 0,080 log10 КОЕ/мл в день (95% ДИ 0,002–0,158) соответственно (табл. 6).
Таблица 6. Показатели РБА (динамика средних изменений log10 КОЕ в 1 мл мокроты, посев на агар, среднее по двум измерениям на визите)
Группа | |||||
PBTZ169, 160 мг (n=4) | PBTZ169, 320 мг (n=4) | PBTZ169, 640 мг (n=7) | Изониазид (n=1) | ||
РБА0-14 | Среднее | 0,061 | 0,015 | 0,071 | 0,237 |
СО | 0,085 | 0,025 | 0,126 | ||
РБА0-2 | Среднее | 0,496 | 0,124 | -0,003 | -0,243 |
СО | 0,615 | 0,095 | 0,452 | ||
РБА0-7 | Среднее | 0,078 | 0,026 | 0,064 | 0,090 |
СО | 0,136 | 0,069 | 0,102 | ||
Анализ согласованности результатов двух методов определения количества микобактерий продемонстрировал тесную, статистически значимую корреляцию между ними (р<0,001).
Помимо изучения эффективности препарата по данным РБА в КИ проводилась оценка изменения параметров ФК на фоне многократного дозирования по сравнению с однократным, которую проводили с помощью расчета отношений кумуляции для фармакокинетических параметров AUC0–24 и Cmax (AUC0–24,ss/AUC0–24, день 1, и Cmax,ss/Cmax, день 1) после их логарифмического преобразования. В результате проведенной оценки установлено наличие статистической значимости изменения фармакокинетического параметра AUC0–24 на фоне многократного дозирования по сравнению с однократным приемом: в 2,9 раза в группе терапии PBTZ169 (320 мг) и в 2,1 раза в группе терапии PBTZ169 (640 мг). Было также установлено наличие статистической значимости изменения параметра ФК Cmax на фоне многократного дозирования по сравнению с однократным приемом: в 3,4 раза для группы терапии PBTZ169 (320 мг).
Таким образом, исследование фармакокинетических параметров продемонстрировало пропорциональную зависимость показателей Cmax, AUC0–24, AUC0–∞ от дозы как при однократном, так и при многократном приеме исследуемого препарата, что позволяет сделать заключение о тенденции к линейности ФК в диапазоне дозировок 160–640 мг при однократном и многократном приеме.
В ходе КИ не было зарегистрировано ни одного случая летального исхода, а единственный случай СНЯ не имел связи с терапией препаратом PBTZ169. К моменту завершения исследования все НЯ разрешились.
В открытом проспективном исследовании Ib фазы при однократном применении натощак препарата PBTZ169, капсулы 80 мг, показано его быстрое всасывание (медиана показателя время достижения Cmax – Tmax 1,5–1,75 ч), и в возрастающих дозах наблюдалась менее чем пропорциональная зависимость для показателей Cmax, AUC0–24, AUC0–∞ (см. рис. 1 на цветной вклейке; табл. 7). Усредненные по когортам фармакокинетические параметры препарата PBTZ169 при однократном или двукратном пероральном приеме в разных дозах представлены в табл. 7.
Рис. 1 Пропорциональность различных доз препарата PBTZ 169 (640-960-1280 мг) при его однократном приеме натощак.
Таблица 7. Усредненные по когортам фармакокинетические параметры препарата PBTZ169 при однократном или двукратном (два раза в день) пероральном приеме в разных дозах
Когорта | |||||||
1 (1А+1Б), 640 мг однократно натощак (n=20) | 1 (1А+1Б), 640 мг однократно после еды (n=20) | 2, 960 мг однократно натощак (n=10) | 3, 640 мг 2 раза в сутки (n=10) | 4, 1280 мг однократно натощак (n=10) | 5 (день 1), 1280 мг 1 раз в сутки после еды (n=10) | ||
AUC0–t, нг¥ч/мл | среднее ± СО | 181,63±112,236 | 575,19±221,735 | 258,42±174,149 | 342,03±141,061 | 220,77±124,754 | 1111,90±463,267* |
геометрическое среднее | 152,88 | 535,38 | 189,37 | 319,04 | 198,99 | 1022,44* | |
геометрический коэффициент вариации, % | 66,4 | 40,8 | 130,9 | 40,1 | 46,5 | 46,3 | |
AUC0–∞, нг¥ч/мл | среднее ± СО | 175,98±104,828 | 584,06±221,531 | 267,94±175,918 | 348,56±141,198 | 228,93±124,855 | 1153,89±482,189 |
геометрическое среднее | 150,91 | 544,97 | 201,50 | 325,66 | 207,54 | 1065,07 | |
геометрический коэффициент вариации, % | 61,6 | 40,1 | 119,3 | 39,8 | 45,3 | 45,0 | |
Cmax, нг/мл | среднее ± СО | 86,435±70,385 | 164,81±89,84 | 77,07±48,401 | 78,10±35,616** | 90,64±51,686 | 298,11±141,356 |
геометрическое среднее | 63,36 | 145,11 | 61,84 | 71,74** | 78,97 | 271,07 | |
геометрический коэффициент вариации, % | 96,6 | 54,8 | 90,6 | 44,8 | 58,6 | 47,7 | |
Tmax, ч | 1,5 (0,5–4,0) | 3,0 (2,0–4,0) | 1,75 (0,5–3,0) | 1,25 (0,5–3,0)*** | 1,0 (1,0–1,5) | 2,00 (1,5–6,0) | |
Период полувыве- дения, ч | среднее ± СО | 5,46±3,134 | 7,86±3,063 | 7,68±2,043 | 6,33±5,275 | 8,00±4,258 | 10,07±4,294 |
Примечание. Фармакокинетические параметры представлены в виде «среднее ± стандартное отклонение», за исключением параметра Tmax, который представлен в виде медианы (минимальное значение–максимальное значение) и AUC0–t/AUC0–∞, который представлен в виде доли. Для основных фармакокинетических показателей (AUC0–t, AUC0–∞, Cmax) также представлены геометрическое среднее и геометрический коэффициент вариации. *Для когорты 5 приведено значение AUC0–24 на основе измерений в течение 24 ч (только день 1 многократного дозирования). **Для когорты 3 приведено значение Cmax за весь период оценки в течение 72 ч. ***Для когорты 3 приведено значение Tmax относительно момента времени приема в любом из двух интервалов дозирования. | |||||||
Сводные результаты анализа относительной биодоступности и относительной степени всасывания по средним значениям первичных фармакокинетических параметров, полученным на основании концентрации препарата PBTZ169 при разных режимах приема в плазме крови, представлены в табл. 8.
Таблица 8. Сводные результаты статистического сравнения с помощью ANOVA первичных фармакокинетических параметров препарата PBTZ169 в плазме крови (AUC0–∞, AUC0–t и Cmax)
Фармакокинети-ческие параметры | Среднее геометрическое, оцененное с помощью ANOVA | Коэффициент внутрииндивидуальной вариации, % | Отношение средних геометрических после еды/натощак, % | 90% ДИ | |
после еды | натощак | ||||
AUC0–∞, нг×ч/мл | 544,97 | 158,17 | 28,64 | f=344,54 | 293,99–403,80 |
AUC0–t, нг×ч/мл | 535,38 | 152,88 | 28,18 | f’=350,20 | 300,94–407,52 |
Cmax, нг/мл | 145,11 | 63,36 | 46,97 | f’’=229,03 | 179,29–292,56 |
Коэффициенты внутрииндивидуальной вариации при приеме препарата PBTZ169 для основных фармакокинетических параметров оценены с помощью ANOVA в пределах 28,64–46,97%.
90% ДИ для отношений средних геометрических значений параметров AUC0–∞ (f), AUC0–t (f’) и Cmax (f’’), рассчитанных на основании показателей концентрации препарата PBTZ169 в плазме, находятся вне установленных пределов 80,00–125,00%, что говорит о наличии влияния пищи на фармакокинетические показатели препарата PBTZ169.
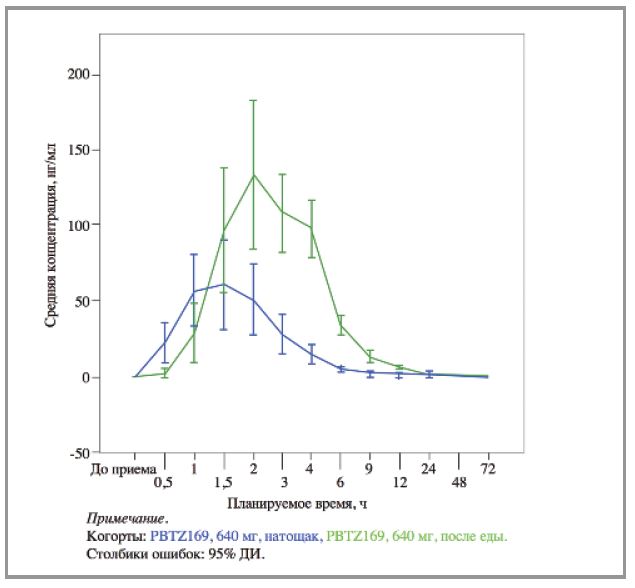
По результатам анализа относительной биодоступности и относительной степени всасывания установлено, что после приема пищи наблюдается существенное статистически значимое увеличение основных фармакокинетических параметров препарата PBTZ169 при применении в дозе 640 мг в сравнении с применением препарата натощак: параметра AUC0–∞ в 3,45 раза, параметра AUC0–t (f’) – в 3,5 раза и параметра Cmax – в 2,29 раза (см. рис. 2 на цветной вклейке; табл. 7).
Рис. 2 Влияние пищи на динамику концентрации в плазме крови препарата PBTZ169 (640 мг) при однократном применении.
Также показано, что препарат всасывался и выводился из организма значительно медленнее при применении после приема пищи (для параметра Tmax медиана увеличилась в 2 раза, а для среднего значения параметра период полувыведения наблюдалось увеличение в 1,44 раза); см. табл. 7.
При сравнении ФК разных режимов дозирования для суточной дозы (по 640 мг два раза в день и дозы 1280 мг однократно натощак) отмечено увеличение параметров AUC0–∞ и AUC0–t в 1,5–1,6 раза (см. рис. 3 на цветной вклейке; табл. 7).
Рис. 3 Сравнение ФК разных режимов дозирования препарата PBTZ169 для суточной дозы 1280 мг (по 640 мг два раза в день – Т и дозы 1280 мг однократно натощак – R)
Отношение средних между показателями AUC0–∞ и AUC0–t для когорт 3 и 4 составило 153,68 и 160,32%. Для параметра Cmax отмечено небольшое уменьшение (в 1,1 раза) значений для дозы 640 мг 2 раза в день (отношение средних составило 90,84%). 90% ДИ для отношения (доза 640 мг два раза в день/доза 1280 мг однократно) средних геометрических значений основных фармакокинетических параметров приведены в табл. 9. Во всех трех случаях ДИ находятся вне установленных пределов 80,00–125,00%, что говорит о статистической значимости наблюдаемых различий.
Таблица 9. Сводные результаты статистического сравнения с помощью ANOVA первичных фармакокинетических параметров препарата PBTZ169 в плазме крови (AUC0–∞, AUC0–t и Cmax) для дозы 640 мг два раза в день (T) и дозы 1280 мг (R) однократно.
Фармакокинетические параметры | Отношение средних геометрических, % | 90% ДИ для геометрических средних | Значимость |
AUC0–∞, нг×ч/мл | 153,68 | 112,87–209,24 | 0,027 |
AUC0–t, нг×ч/мл | 160,32 | 116,17–221,24 | 0,020 |
Cmax, нг/мл | 90,84 | 62,19–132,69 | 0,665 |
При многократном применении в дозе 1280 мг однократно после приема пищи средние значения Cmax в плазме составляли 298,11±141,356 нг/мл в день 1, 374,20± 225,691 нг/мл в день 7 и 325,86±144,131 нг/мл в день 14; средние значения параметра AUC0–∞ – 1153,89± 482,189, 1479,16±594,599 и 1501,97±483,483 нг/мл соответственно (см. рис. 4 на цветной вклейке). Cmax достигалась в течение 2,0 ч (медиана показателя).
Рис. 4 Динамика изменения концентрации в плазме крови перед приемом препарата PBTZ169 в дозе 1280 мг при многократном применении в течение 14 дней.
В течение всего РКИ препарат PBTZ169, капсулы 80 мг, при обеих схемах введения обладал приемлемым профилем безопасности и хорошо переносился. Случаев СНЯ в ходе исследования на обоих этапах выявлено не было.
На I этапе КИ связь с макозиноном отмечена для 19 НЯ у 15 (30%) добровольцев из 50, принявших хотя бы одну дозу препарата (связь была расценена во всех случаях как «возможная»). Увеличения частоты НЯ в зависимости от увеличения дозы (640, 960 или 1280 мг) или режима приема препарата (натощак или после принятия пищи в дозе 640 мг) не было обнаружено.
На II этапе исследования при многократном применении макозинона в дозе 1280 мг после еды связь c препаратом отмечена для 6 НЯ в 50% случаев, которые были отнесены к следующим классам систем органов: нарушения со стороны желудочно-кишечного тракта (боль в животе и диарея), метаболические и обменные нарушения (2 случая гиперкреатинемии) и нарушения со стороны нервной системы (2 случая головной боли). В одном случае (головная боль у добровольца) связь НЯ с приемом препарата исследования расценена главным исследователем как «вероятная». В остальных случаях связь НЯ с применением исследуемого препарата расценена как «возможная».
Обсуждение
В ходе трех проведенных клинических исследований I, IIa и Ib фаз были изучены ФК, безопасность и переносимость препарата PBTZ169, капсулы 40 и 80 мг, в диапазоне доз от 40 до 1280 мг при однократном, двукратном и многократном приеме (до 14 дней).
Результаты изучения ФК показали, что PBTZ169 определялся в плазме крови всех добровольцев и пациентов, получавших исследуемый препарат.
Показано, что при однократном применении натощак препарат PBTZ169 быстро всасывался, и скорость его всасывания не зависела от вводимой дозы; медиана показателя Tmax составила 1,5–2,5 ч в диапазоне доз 40–640 мг (I фаза); 1,5–1,75 ч – в диапазоне доз 640–1280 мг (Ib фаза). Среднее время удержания препарата в организме составляло в среднем 13,02–19,30 ч и не зависело от вводимой дозы (I фаза).
Согласно полученным фармакокинетическим данным продемонстрирована тенденция к пропорциональности значений показателей Cmax, AUC0–t от дозы как при однократном, так и при многократном приеме в пределах изученного диапазона 40–640 мг (I фаза, IIа фаза). При однократном применении натощак в возрастающих дозах (640, 960, 1280 мг) для показателей Cmax, AUC0–24, AUC0–∞ наблюдалась менее чем пропорциональная зависимость.
При сравнении ФК разных режимов дозирования для суточной дозы 1280 мг (640 мг два раза в день и дозы 1280 мг однократно натощак) наблюдалось увеличение фармакокинетических показателей AUC0–∞ и AUC0–t в 1,5–1,6 раза (Ib фаза). Для параметра Cmax отмечено небольшое уменьшение (в 1,1 раза) значений для дозы 640 мг 2 раза в день. Все наблюдаемые различия между режимами приема статистически значимы.
По результатам анализа относительной биодоступности и относительной степени всасывания установлено, что после приема пищи наблюдается существенное статистически значимое увеличение основных фармакокинетических параметров препарата PBTZ169 при применении в дозе 640 мг. Препарат всасывался и выводился из организма значительно медленнее при применении после приема пищи в сравнении с применением препарата натощак. Полученные данные позволяют сделать вывод о предпочтительном режиме приема препарата PBTZ169 после приема пищи.
Как видно из результатов фармакокинетических исследований, проведенных в процессе I фазы КИ, еще раз подтверждены экспериментальные данные о низкой растворимости и биодоступности PBTZ169, общей и одной из основных проблем нового класса ПТП бензотиазинонов. При этом важно подчеркнуть, что фармакокинетические исследования также показали, что PBTZ169 обладает лучшей растворимостью в кислой среде, преимущественно всасывается в желудке.
Изучение безопасности и переносимости препарата макозинон, как упоминалось выше, проведено в ходе всех трех КИ (I фаза, IIа фаза, Ib фаза).
В исследованиях I фазы у здоровых добровольцев (I фаза и Ib фаза) и IIa фазы у пациентов с впервые выявленным туберкулезом легких продемонстрированы хорошая переносимость и благоприятный профиль безопасности в исследованном диапазоне доз. Увеличения частоты НЯ в зависимости от увеличения дозы или режима приема препарата (натощак или после принятия пищи) не обнаружено ни при однократном, ни при многократном приеме препарата здоровыми добровольцами. Изменения средних значений некоторых показателей жизненно важных функций, лабораторных, инструментальных и физикального обследований не имели тенденции к повышению при увеличении дозового уровня.
Помимо безопасности и переносимости во IIа фазе РКИ изучена эффективность препарата макозинон, капсулы 80 мг, по параметру РБА при пероральном применении в качестве монотерапии в течение 14 дней. Анализ первичной переменной эффективности продемонстрировал статистически значимую РБА через 14 дней после начала монотерапии (РБА0–14) для группы терапии PBTZ169 (640 мг) с использованием методов подсчета КОЕ на агаре и количественной ПЦР (определения ДНК МБТ).
Таким образом, одним из наиболее перспективных и изученных на сегодняшний день препаратов – ингибиторов DprE1, новой мишени клеточной стенки микобактерий, является PBTZ169, или макозинон (ООО «НИАРМЕДИК ПЛЮС»), для которого показан высокий профиль безопасности и переносимости, описаны основные фармакокинетические параметры препарата и эффективность по показателю РБА. В ходе завершенных в РФ КИ сделано заключение о тенденции к линейности ФК в диапазоне дозировок до 640 мг при однократном и многократном приеме препарата PBTZ169, установлена статистически значимая РБА препарата после монотерапии в дозе 640 мг/сут, а также сделан вывод о предпочтительном режиме приема препарата PBTZ169 после приема пищи. Во всех КИ продемонстрированы хорошая переносимость и благоприятный профиль безопасности препарата в исследованном диапазоне доз как у здоровых добровольцев, так и у пациентов с впервые выявленным туберкулезом легких с бактериовыделением и сохраненной чувствительностью к изониазиду и рифампицину.
Отдельно стоит отметить данные, полученные международными партнерами по проекту – Швейцарским федеральным технологическим институтом (Лозанна, Швейцария).
В ходе проведенных исследований по созданию новых форм комбинированных режимов терапии туберкулеза (на животных моделях) были использованы комбинации PBTZ169 с новейшим зарегистрированным ПТП – бедаквилином, и одним из наиболее эффективных ПТП – пиразинамидом. В результате экспериментов in vivo показано, что совместное применение PBTZ169 с бедаквилином и пиразинамидом дает уникальный синергетический эффект в части антимикобактериальной активности [10–12].
Учитывая тот факт, что глобальный тренд в лечении туберкулеза, определенный ВОЗ, – создание новых режимов терапии (с минимизацией количества используемых препаратов и сокращением длительных сроков лечения), по мнению ведущих мировых экспертов в области туберкулеза, PBTZ169 может стать основой для создания нового режима химиотерапии лекарственно-устойчивых форм туберкулеза, в том числе и в комбинации с наиболее эффективными на сегодняшний день противотуберкулезными лекарственными средствами.
Данный тезис о возможности создания нового режима терапии туберкулеза с использованием уникальной комбинации PBTZ169 с наиболее эффективными на сегодняшний день ПТП, был выдвинут международным научным руководителем данного проекта, президентом Института Луи Пастера (Париж, Франция), доктором Стюартом Коулом, на его докладе на прошедшей 14–15 ноября 2017 г. в Москве первой Глобальной министерской конференции ВОЗ «Ликвидировать туберкулез в эпоху устойчивого развития: многосекторальный подход».
Дальнейшая программа проведения КИ препарата макозинон будет базироваться на принципах создания новых эффективных режимов химиотерапии устойчивых форм туберкулеза с использованием комбинаций с современными препаратами (в том числе с бедаквилином, деламанидом и пиразинамидом) для выбора оптимального режима лечения пациентов, больных МЛУ-ТБ и ШЛУ-ТБ.
Последующие планируемые КИ для выбора оптимального комбинированного режима терапии будут так же, как и предыдущие, проведены в соответствии с мировыми стандартами и существующими приоритетными мировыми трендами в новых режимах терапии туберкулеза с множественными и широкими лекарственно-устойчивыми формами [17, 18, 24].
Проведение клинических исследований PBTZ 169 I и IIa фаз было поддержано государственным контрактом №14411.2049999.19.066 Министерства промышленности и торговли Российской Федерации в рамках Федеральной целевой программы «Развитие фармацевтической и медицинской промышленности Российской Федерации на период до 2020 года и дальнейшую перспективу».
Авторы выражают благодарность контрактно-исследовательской организации «ОСТ-Рус» за помощь в проведении клинических исследований PBTZ 169 I, Ib и IIa фаз.
Об авторах
Андрей Олегович Марьяндышев
ФГБОУ ВО «Северный государственный медицинский университет» Минздрава России
Email: Viktoriya.Shcherbakova@nearmedic.ru
ORCID iD: 0000-0002-8485-5625
чл.-кор. РАН, д.м.н., проф., зав. каф. фтизиопульмонологии
Россия, АрхангельскАлександр Леонидович Хохлов
ФГБОУ ВО «Ярославский государственный медицинский университет» Минздрава России
Email: Viktoriya.Shcherbakova@nearmedic.ru
ORCID iD: 0000-0002-0032-0341
чл.-кор. РАН, д.м.н., проф., зав. каф. клинической фармакологии
Россия, ЯрославльСергей Викторович Смердин
ГБУЗ МО «Московский областной клинический противотуберкулезный диспансер»
Email: Viktoriya.Shcherbakova@nearmedic.ru
ORCID iD: 0000-0002-2602-214X
д.м.н., проф., гл. внештатный специалист-фтизиатр Минздрава Московской области, глав. врач
Россия, МоскваВиктория Сергеевна Щербакова
ООО «НИАРМЕДИК ФАРМА»
Автор, ответственный за переписку.
Email: Viktoriya.Shcherbakova@nearmedic.ru
ORCID iD: 0000-0002-7251-8744
к.б.н., рук. сектора
Россия, ОбнинскОльга Валентиновна Игумнова
ООО «НИАРМЕДИК ФАРМА»
Email: Viktoriya.Shcherbakova@nearmedic.ru
ORCID iD: 0000-0002-8927-6745
магистр, проектный менеджер
Россия, ОбнинскИрина Витальевна Озерова
ФГБНУ «Научно-исследовательский институт фармакологии им. В.В. Закусова»
Email: Viktoriya.Shcherbakova@nearmedic.ru
ORCID iD: 0000-0002-4053-9479
к.б.н., с.н.с.
Россия, МоскваАлена Артуровна Болгарина
ООО «НИАРМЕДИК ФАРМА»
Email: Viktoriya.Shcherbakova@nearmedic.ru
ORCID iD: 0000-0003-3345-6998
магистр, рук. сектора
Россия, ОбнинскНаталья Александровна Никитина
ООО «НИАРМЕДИК ФАРМА»
Email: Viktoriya.Shcherbakova@nearmedic.ru
ORCID iD: 0000-0002-0444-5934
к.б.н., рук. сектора
Россия, ОбнинскСписок литературы
- Клинические рекомендации от 2018 г. Туберкулез органов дыхания у взрослых. Российское общество фтизиатров. [Clinical guidelines from 2018. Respiratory tuberculosis in adults. Russian Society of TB Specialists (In Russ.)]. http://cr.rosminzdrav.ru/#!/schema/943
- World Health Organization, “ANTI-TUBERCULOSIS DRUG RESISTANCE IN THE WORLD Third Global Report The WHO/IUATLD Global Project on Anti-tuberculosis Drug Resistance Surveillance,” 2004. https://apps.who.int/iris/handle/10665/66493
- https://www.who.int/tb/post2015_TBstrategy.pdf?ua=1,%20accessed%20 5%20March%202015
- https://www.who.int/ru/news-room/fact-sheets/detail/tuberculosis
- Mikusova K, Makarov V, Neres J. DprE1 – from the Discovery to the Promising Tuberculosis Drug Target. Curr Pharm Des. 2014;20(27):4249-73. doi: 10.2174/138161282027140630122724
- Neres J, Pojer F, Molteni E. Ets. Structural basis for benzothiazinone-mediated killing of Mycobacterium tuberculosis. Sci Transl Med. 2012;4(150):150ra-121. doi: 10.1126/scitranslmed.3004395
- Makarov V, Cole ST, Möllmann U. Leibniz Institute For Natural Product Research And Infection Biology E.V. Hans-Knöll-Institut (Hki). New benzothiazinone derivatives and their use as antibacterial agents. WO patent WO2007134625A1. May 24, 2006.
- Makarov V, Manina G, Mikusova K, et al. Benzothiazinones kill Mycobacterium tuberculosis by blocking arabinan synthesis. Science. 2009;324(5928):801-4. doi: 10.1126/science.1171583
- Черноусова Л.Н., Андреевская С.Н., Смирнова Т.Г. и др. Лекарственно-устойчивый туберкулез: перспективы ускоренной диагностики и химиотерапии. Бактериология. 2017;2(1):25-34 [Chernousova LN, Andreevskaya SN, Smirnova TG. Drug-resistant tuberculosis: prospects for accelerated diagnosis and chemotherapy. Bacteriology. 2017;2(1):25-34 (In Russ.)]. doi: 10.20953/2500-1027-2017-1-25-34
- Makarov V, Lechartier B, Zhang M, et al. Towards a new combination therapy for tuberculosis with next generation benzothiazinones. EMBO Mol Med. 2014;6(3):372-83. doi: 10.1002/emmm.201303575
- Lechartier B, Hartkoorn RC, Cole ST. In vitro combination studies of benzothiazinone lead compound BTZ043 against Mycobacterium tuberculosis. Antimicrob Agents Chemother. 2012;56(11):5790-3. doi: 10.1128/AAC.01476-12
- Lupien A, Vocat A, Shi-Yan Foo C, et al. Optimized Background Regimen for Treatment of Active Tuberculosis with the Next-Generation Benzothiazinone Macozinone (PBTZ169). Antimicrob Agents Chemother. 2018;62(11):e00840-18. doi: 10.1128/AAC.00840-18
- Cole S, Zumla AI, Gillespie SH, et al. New antituberculosis drugs, regimens, and adjunct therapies: needs, advances, and future prospects. Lancet Infect Dis. 2014;14(4):327-40. doi: 10.1016/S1473-3099(13)70328-1
- Pasca MR, Degiacomi G, de Jesus Lopes Ribeiro AL, et al. Clinical Isolates of Mycobacterium tuberculosis in Four European Hospitals Are Uniformly Susceptible to Benzothiazinones. Antimicrobial Agents Chemother. 2010;54(4):1616-8. doi: 10.1128/AAC.01676-09
- Черноусова Л.Н., Андреевская С.Н., Смирнова Т.Г. и др. Активность in vitro лекарственного кандидата PBTZ169, гидрохлорид, в отношении клинических штаммов Mycobacterium tuberculosis с широкой лекарственной устойчивостью. Туберкулез и болезни легких. 2016;94(9):73-9 [Chernousova LN, Andreevskaya SN, Smirnova TG, et al. In vitro Activity of the Drug Candidate hydrochloride PBTZ169 against Clinical Strains of extensively drug-resistant tuberculosis. Tuberculosis and lung disease. 2016;94(9):73-9 (In Russ.)]. doi: 10.21292/2075-1230-2016-94-9-73-79
- https://clinicaltrials.gov/ct2/results?cond=&term=PBTZ169&cntry= &state=&city=&dist=
- U.S. Department of Health and Human Services Food and Drug Administration Center for Drug Evaluation and Research (CDER), Guidance for Industry Pulmonary Tuberculosis: Developing Drugs for Treatment. DRAFT GUIDANCE. 2013. https://www.fda.gov/media/87194/ download
- European Medicines Agency, “Addendum to the guideline on the evaluation of medicinal products indicated for treatment of bacterial infections to address the clinical development of new agents to treat pulmonary disease due to Mycobacterium tuberculosis”. 20 July 2017. https://www.ema.europa.eu/en/documents/scientific-guideline/addendum-guideline-evaluation-medicinal-products-indicated-treatment- bacterial-infections-address_en.pdf
- Donald PR, Diacon AH. The early bactericidal activity of anti-tuberculosis drugs: a literature review. Tuberculosis. 2008;88(Suppl.1):75-83. doi: 10.1016/S1472-9792(08)70038-6
- Rustomjee R, Diacon AH, Allen J, et al. Early bactericidal activity and pharmacokinetics of the diarylquinoline TMC207 in treatment of pulmonary tuberculosis. Antimicrob Agents Chemother. 2008;52(8):2831-5. doi: 10.1128/AAC.01204-07
- Pletz MWR, de Roux A, Roth A, et al. Early Bactericidal Activity of Moxifloxacin in Treatment of Pulmonary Tuberculosis: A Prospective, Randomized Study. Antimicrob Agents Chemother. 2004;48(3):780-2. doi: 10.1128/AAC.48.3.780-782.2004
- Mitchison DA, Davies GR. Assessment of the Efficacy of New Anti-Tuberculosis Drugs. Open Infect Dis J. 2009;2(1):59-76. doi: 10.2174/1874279300802010059
- Word Health Organization Regional Office for Europe, Algorithm for laboratory diagnosis and treatment-monitoring of pulmonary tuberculosis and drug-resistant tuberculosis using state-of-the-art rapid molecular diagnostic technologies. 2017. http://www.euro.who.int/__data/assets/pdf_file/0006/333960/ELI-Algorithm.pdf?ua=1
- Word Health Organization, Guidelines for the programmatic management of drug-resistant tuberculosis, 2011 update. https://www.who. int/tb/challenges/mdr/programmatic_guidelines_for_mdrtb/en/
- WHO Drug Information Volume 32, N° 3, 2018. Available online: https://www.who.int/medicines/publications/druginformation/issues/ DrugInformation2018_Vol32-3/en/ (accessed on 15th February 2020)
Дополнительные файлы


