Influence of chronic obstructive pulmonary disease on hospital outcomes of percutaneous coronary interventions in patients with acute coronary syndrome
- Authors: Frolov A.A.1,2, Fedotov V.D.1,3, Frolov I.A.2, Pochinka I.G.1,2, Protasova N.V.2, Kouzova G.N.2, Mukhin A.S.1, Kuzmichev K.V.1,2
-
Affiliations:
- Privolzhsky Research Medical University
- City Clinical Hospital No. 13 of the Nizhny Novgorod Avtozavodsky District
- Nizhny Novgorod Scientific Research Institute of Hygiene and Occupational Diseases
- Issue: Vol 96, No 3 (2024): Issues of pulmonology
- Pages: 253-259
- Section: Original articles
- Submitted: 25.08.2022
- Accepted: 30.03.2024
- Published: 16.04.2024
- URL: https://ter-arkhiv.ru/0040-3660/article/view/109982
- DOI: https://doi.org/10.26442/00403660.2024.03.202638
- ID: 109982
Cite item
Full Text
Abstract
Aim. To evaluate the impact of chronic obstructive pulmonary disease (COPD) on hospital outcomes of percutaneous coronary interventions (PCI) in patients with acute coronary syndrome (ACS).
Materials and methods. A cohort prospective study of the COPD effect on mortality and coronary microvascular obstruction (CMVO, no-reflow) development after PCI in ACS was carried out. 626 patients admitted in 2019–2020 were included, 418 (67%) – men, 208 (33%) – women. Median age – 63 [56; 70] years. Myocardial infarction with ST elevation identified in 308 patients (49%), CMVO – in 59 (9%) patients (criteria: blood flow <3 grade according to TIMI flow grade; perfusion <2 points according to Myocardial blush grade; ST segment resolution <70%). 13 (2.1%) patients died. Based on the questionnaire "Chronic Airways Diseases, A Guide for Primary Care Physicians, 2005", 2 groups of patients were identified: 197 (31%) with COPD (≥17 points) and 429 (69%) without COPD (<17 points). Groups were compared on unbalanced data (÷2 Pearson, Fisher exact test). The propensity score was calculated, and a two-way logistic regression analysis was performed. The data were balanced by the Kernel “weighting” method, logistic regression analysis was carried out using “weighting” coefficients. Results as odds ratio (OR) and 95% confidence interval.
Results. The conducted research allowed us to obtain the following results, depending on the type of analysis: 1) analysis of unbalanced data in patients with COPD: OR death 3.60 (1.16–11.12); p=0.03; OR CMVO 0.65 (0.35–1.22); p=0,18; 2) two-way analysis with propensity score: OR death 3.86 (1.09–13.74); p=0.04; OR CMVO 0.61 (0.31–1.19); p=0.15; 3) regression analysis with "weight" coefficients: OR death 12.49 (2.27–68.84); p=0.004; OR CMVO 0.63 (0.30–1.33); p=0.22.
Conclusion. The presence of COPD in patients with ACS undergoing PCI increases mortality and does not affect the incidence of CMVO.
Full Text
Список сокращений
ДИ – доверительный интервал
ИМ – инфаркт миокарда
ИМТ – индекс массы тела
ИОА – инфаркт-ответственная артерия
КМСО – коронарная микрососудистая обструкция
ОКС – острый коронарный синдром
ОР – относительный риск
ОСН – острая сердечная недостаточность
ОШ – отношение шансов
СКФ – скорость клубочковой фильтрации
ХОБЛ – хроническая обструктивная болезнь легких
ЧКВ – чрескожное коронарное вмешательство
TIMI – Thrombolysis in Myocardial Infarction
Актуальность
Острый коронарный синдром (ОКС) занимает лидирующие позиции среди причин смерти и характеризуется частым наличием коморбидности [1]. Одним из наиболее встречающихся сопутствующих заболеваний у пациентов с ОКС является хроническая обструктивная болезнь легких (ХОБЛ), которая выявляется, по данным литературы, в 5–18% случаев [2]. Для приведенной коморбидности характерно наличие общих факторов риска (курение) и пересекающихся патогенетических механизмов (хроническое воспаление, гипоксия, эндотелиальная дисфункция, тромбообразование) [3]. Сочетание двух заболеваний может потенцировать их негативное влияние и ухудшать прогноз [3]. Согласно авторам, пациенты с сопутствующей ХОБЛ имеют более тяжелое атеросклеротическое поражение коронарных артерий [4], у них более высокий риск смерти и развития повторных неблагоприятных коронарных событий в раннем и отдаленном периоде наблюдения [5, 6].
Чрескожные коронарные вмешательства (ЧКВ) являются важным компонентом современного лечения ОКС. Наличие указанной коморбидности может увеличивать риск развития таких пери- и послеоперационных осложнений, как коронарный тромбоз, рестеноз стента и феномен коронарной микрососудистой обструкции (КМСО, англ. coronary microvascular obstruction, или no-reflow) [4, 7]. Изучение связи ХОБЛ с КМСО представляет особый интерес, т.к. известно, что патогенез данного осложнения во многом связан с течением воспаления, наличием дисфункции эндотелия и повышенным тромбообразованием [3, 8]. Следует отметить, что в некоторых работах приведенные взаимосвязи не подтверждаются [9]. Одной из вероятных причин подобных разночтений является гиподиагностика ХОБЛ у пациентов с ОКС в реальной клинической практике [10]. В настоящее время стандартом диагностики ХОБЛ является исследование функции внешнего дыхания с выполнением постбронходилатационного теста. Однако у пациентов, поступающих с диагнозом ОКС, приведенная методика рутинно не применяется (в том числе ввиду наличия противопоказаний к применению бронходилататоров). Точность регистрации ХОБЛ, согласно данным анамнеза и оценки медицинских документов, очень низка (чувствительность – 23%, специфичность – 91%) [2]. Трудности с диагностикой приводят к недооценке клинических рисков рассматриваемой коморбидности и назначению неоптимального лечения [5]. Кроме того, они ставят под сомнение выводы работ, посвященных изучению сочетания ОКС и ХОБЛ, где последняя регистрировалась на основании данных первичной медицинской документации.
Компромиссным вариантом, который может обеспечить приемлемую точность регистрации ХОБЛ непосредственно при поступлении, является использование специальных вопросников. Так, для вопросника «Chronic Airways Diseases: A Guide for Primary Care Physicians, 2005» [11] характерны чувствительность 72,0%, специфичность 82,7%, площадь под ROC-кривой 0,84 [2]. Данное исследование призвано уточнить влияние ХОБЛ на частоту развития КМСО и госпитальных летальных исходов после выполнения ЧКВ у пациентов с ОКС.
Цель исследования – оценить влияние ХОБЛ на госпитальные исходы ЧКВ у пациентов с ОКС.
Материалы и методы
Дизайн исследования
Проведено одноцентровое проспективное когортное исследование влияния ХОБЛ на госпитальные исходы ОКС у пациентов после ЧКВ. Включение и наблюдение пациентов выполняли в ГБУЗ НО «ГКБ №13 Автозаводского района» г. Нижнего Новгорода», Россия. Протокол исследования одобрен локальным этическим комитетом.
Участники исследования
В исследование включили пациентов, последовательно поступивших с 31 декабря 2019 г. по 3 января 2020 г. Критерии включения: подтвержденный диагноз ОКС; успешное ЧКВ с имплантацией стента; получение согласия пациента на участие в исследовании; состояние пациента, не ограничивающее возможность адекватно ответить на вопросник для диагностики ХОБЛ. Диагноз ОКС ставили и подтверждали в соответствии с актуальными клиническими рекомендациями [1]. Для диагностики ХОБЛ использовали вопросник «Chronic Airways Diseases: A Guide for Primary Care Physicians, 2005» [11]. Критерием диагноза ХОБЛ являлась сумма баллов по вопроснику, составляющая 17 и более. Включение в исследование производили в операционной после окончания ЧКВ.
Исходы и анализируемые показатели
Из неблагоприятных исходов отмечали развитие КМСО по итогу выполнения ЧКВ и смерть в ходе госпитализации. Феномен КМСО диагностировали согласно критериям Европейского общества кардиологов [1]:
1) Thrombolysis in Myocardial Infarction (TIMI) flow grade [12] в инфаркт-ответственной артерии (ИОА) после ЧКВ менее 3 баллов;
2) перфузия миокарда после ЧКВ по Myocardial blush grade [12] менее 2 баллов;
3) резолюция изменений сегмента ST на электрокардиограмме менее 70% в течение 60–90 мин после ЧКВ.
В качестве потенциальных конфаундеров регистрировали различные демографические, анамнестические и клинические параметры (табл. 1). Пороговые значения выбраны в соответствии с клиническими рекомендациями и нормой для использованных лабораторных анализаторов [1, 12, 13]. Регистрацию указанных параметров проводили в операционной непосредственно после включения в исследование. Информацию о результатах госпитализации выгружали из внутрибольничной базы данных.
Таблица 1. Характеристика общей выборки и групп сравнения по основным показателям и исходам
Table 1. Characteristics of the overall sample and comparison groups by main indicators and results
Параметр | Общая выборка (n=626), абс. (%) | Нет ХОБЛ, (n=429), абс. (%), | Есть ХОБЛ, (n=197), абс. (%), | p (нет ХОБЛ / есть ХОБЛ) |
Возраст ≥75 лет | 81 (13) | 49 (11) | 32 (16) | 0,10 |
Мужской пол | 418 (67) | 271 (63) | 147 (75) | 0,005 |
ИМТ<18,5 кг/м2 | 5 (1) | 0 (0) | 5 (3) | 0,003 |
СД | 128 (20) | 99 (23) | 29 (15) | 0,02 |
ИМ в анамнезе | 119 (19) | 69 (16) | 50 (25) | 0,006 |
Курение | 251 (40) | 131 (31) | 120 (61) | <0,001 |
ИМ с подъемом сегмента ST | 308 (49) | 198 (46) | 110 (56) | 0,02 |
ОСН III–IV класса по Киллипу | 9 (1) | 5 (1) | 4 (2) | 0,47 |
Время «боль-госпитализация» >12 ч | 259 (41) | 182 (42) | 77 (39) | 0,43 |
SYNTAX score >22 баллов | 73 (12) | 45 (10) | 28 (14) | 0,18 |
TIMI thrombus grade 4–5-й степени [12] | 209 (34) | 150 (35) | 59 (30) | 0,22 |
Коллатерали по Rentrop <2-й степени [12] | 578 (92) | 391 (91) | 187 (95) | 0,10 |
TIMI flow grade до ЧКВ <3-й степени | 365 (58) | 256 (60) | 109 (55) | 0,31 |
Имплантация более 2 стентов | 62 (10) | 38 (9) | 24 (12) | 0,20 |
Постдилатация ИОА | 371 (59) | 265 (62) | 106 (54) | 0,06 |
Гемоглобин <90 г/л | 6 (1) | 4 (1) | 2 (1) | 1,00 |
Лейкоциты >9,0×109 ед./л | 235 (38) | 159 (37) | 76 (39) | 0,72 |
СКФ по CKD-EPI <60 мл/мин/1,73 м2 | 116 (19) | 75 (18) | 41 (21) | 0,32 |
Глюкоза >10 ммоль/л | 74 (12) | 48 (12) | 26 (13) | 0,47 |
Коронарная микрососудистая обструкция (no-reflow) | 59 (9) | 45 (10) | 14 (7) | 0,18 |
Смерть на госпитальном этапе | 13 (2,1) | 5 (1,2) | 8 (4,1) | 0,03 |
Примечание. Здесь и далее на рис. 3–5: СД – сахарный диабет. | ||||
Расчет мощности и статистический анализ
Размер выборки рассчитан по Келси [14]. Так, 626 пациентов достаточно для оценки увеличения относительного риска (ОР) и отношения шансов (ОШ) развития КМСО у пациентов с ХОБЛ до 2,0 и 2,25 соответственно и увеличения ОР и ОШ госпитальной смерти до 4,0 и 4,26.
Количественные данные представлены в виде медиан и интерквартильных интервалов [Q1; Q3], а качественные данные – абсолютными значениями и процентными долями. Для оценки значимости различий качественных данных использовали хи-квадрат Пирсона, хи-квадрат Пирсона с поправкой Йетса или точный критерий Фишера. Различия считались статистически значимыми при р<0,05.
С целью коррекции искажения результатов вследствие влияния конфаундеров применяли метод псевдорандомизации (англ. propensity score matching) [14]. На основании расчета индекса соответствия (англ. propensity score) группы сбалансировали по основным показателям методом взвешивания Кернела [14]. Критерием эффективной балансировки являлось значение стандартизированной доли смещения <10%. Для изучения влияния качественных факторов на бинарный исход применяли логистический регрессионный анализ с использованием «весовых» коэффициентов, полученных в результате взвешивания методом Кернела.
Для обработки пропусков использовали метод «mean substitution» (пропущенные значения заменяли модой) [14].
Статистическую обработку проводили с помощью программ Statistica 12.0 (StatSoft, США), EpiInfo 7.2 (CDC, США) и Stata 16.0 (StataCorp LLC, США).
Результаты
Из 1014 кандидатов в исследование включены 626 пациентов, из них 418 (67%) – мужчины, 208 (33%) – женщины. Медиана возраста – 63 [56; 70] года. Схема включения/исключения пациентов в исследование представлена на рис. 1. На основании ответов на вопросник выделены 2 группы больных: 429 (69%) без ХОБЛ и 197 (31%) с ХОБЛ. Клиническая характеристика включенных в исследование пациентов и сравнение по основным показателям и исходам представлены в табл. 1. Пациентов наблюдали в течение периода госпитализации. Медиана продолжительности госпитализации составила 11 [9; 14] дней. Отметим, что по данным анамнеза ХОБЛ выявлена только у 86 (14%) больных. Ни один из них ранее не получал адекватной бронходилатационной терапии.
Рис. 1. Схема включения/исключения в исследование.
Fig. 1. Study flowchart.
Пропущенные данные отмечены в следующих показателях: индекс массы тела – ИМТ (пропущено 4% значений), гемоглобин (19%), лейкоциты (21%), глюкоза (23%) и скорость клубочковой фильтрации – СКФ (29%). Развитие неблагоприятных исходов отслежено у всех включенных в исследование пациентов.
Оценка влияния ХОБЛ на развитие неблагоприятных исходов без учета влияния конфаундеров показала, что для пациентов с ХОБЛ ОР смерти на госпитальном этапе статистически значимо увеличивался до 3,48 (95% доверительный интервал – ДИ 1,15–10,51), ОШ – до 3,60 (95% ДИ 1,16–11,12); p=0,03. Статистически значимого влияния ХОБЛ на развитие КМСО не выявлено: ОР 0,68 (95% ДИ 0,38–1,20), ОШ 0,65 (95% ДИ 0,35–1,22); p=0,18.
Скорректированные результаты, полученные в ходе двухфакторного логистического регрессионного анализа с учетом факта наличия ХОБЛ и рассчитанного ранее индекса соответствия, подтвердили указанные данные:
1) анализ в отношении исхода «смерть на госпитальном этапе»: ОШ для ХОБЛ 3,86 (95% ДИ 1,09–13,74); p=0,04;
2) анализ в отношении исхода «КМСО»: ОШ для ХОБЛ 0,61 (95% ДИ 0,31–1,19); p=0,15.
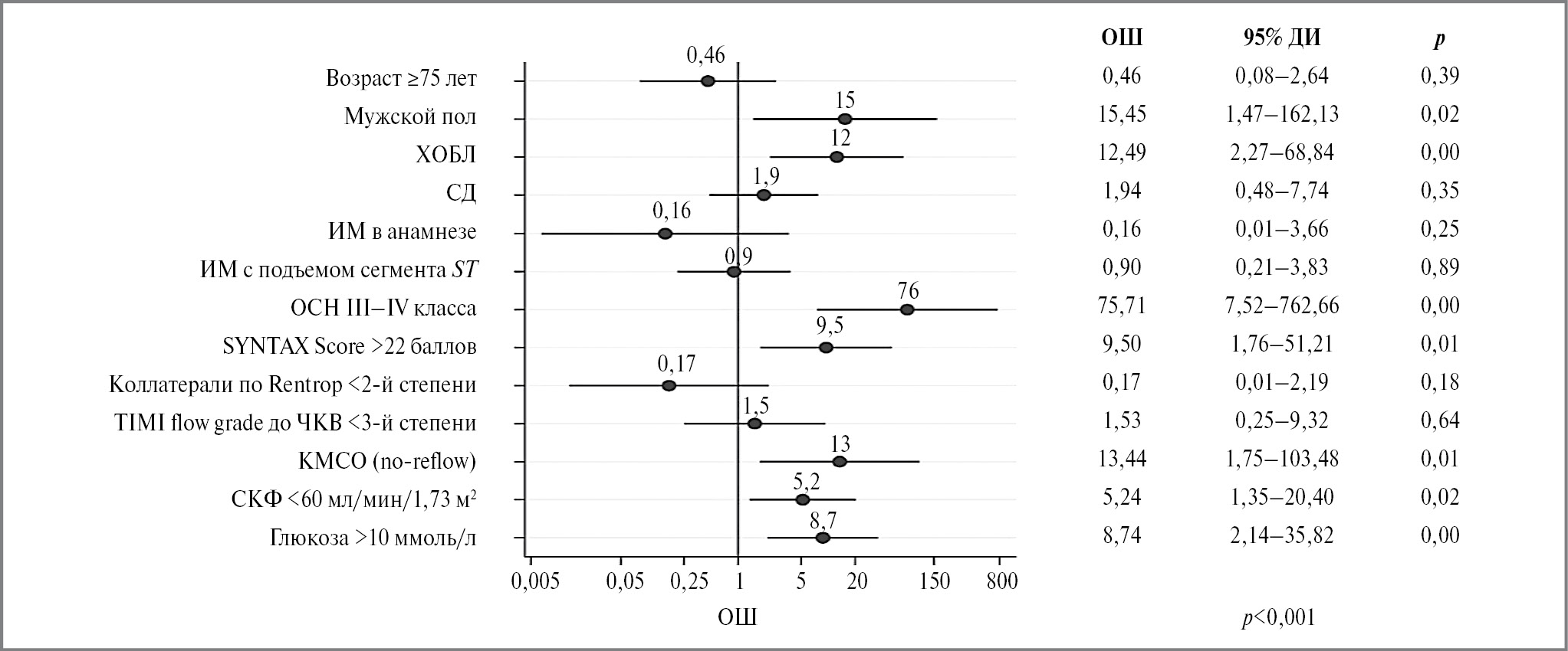
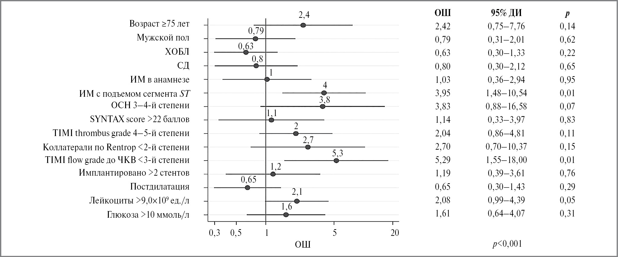
Анализ гистограммы распределения индекса соответствия в исследуемых группах продемонстрировал существенный дисбаланс по данному показателю (рис. 2). Для устранения несоответствия выполнена балансировка показателей методом «взвешивания», в результате которой стандартизированная доля смещения для всех параметров составила менее 10% (рис. 3). Результаты логистического регрессионного анализа с использованием «весовых» коэффициентов также подтвердили статистически значимое влияние ХОБЛ на госпитальную летальность и опровергли влияние на развитие КМСО (рис. 4, 5).
Рис. 2. Гистограмма распределения значений индекса соответствия между исследуемыми группами.
Fig. 2. Histogram of the propensity score distribution between the studied groups.
Рис. 3. Результат балансировки показателей между группами сравнения.
Fig. 3. The result of balancing indicators between comparison groups.
Рис. 4. Результаты логистического регрессионного анализа с использованием «весовых» коэффициентов в отношении исхода «смерть на госпитальном этапе».
Fig. 4. Results of logistic regression analysis using "weight" coefficients in relation to the outcome "hospital mortality".
Рис. 5. Результаты логистического регрессионного анализа с использованием «весовых» коэффициентов в отношении исхода «КМСО».
Fig. 5. Results of logistic regression analysis using "weight" coefficients in relation to the outcome "Coronary microvascular obstruction".
Обсуждение
Обсуждение ключевых результатов
У пациентов с ОКС, подвергнутых ЧКВ, ХОБЛ является частой сопутствующей патологией. В случае использования для диагностики вопросника «Chronic Airways Diseases: A Guide for Primary Care Physicians, 2005» частота регистрации составляет 31%. Клинический профиль подобных пациентов типичен для ХОБЛ: преобладают худые курящие мужчины, имеющие коронарный анамнез и характеризующиеся более тяжелым течением ОКС (чаще инфаркт миокарда – ИМ – с подъемом сегмента ST). Наличие ХОБЛ является независимым предиктором смерти на госпитальном этапе и не влияет на развитие КМСО: ОШ смерти 3,86 (95% ДИ 1,09–13,74); p=0,04; ОШ КМСО 0,61 (95% ДИ 0,31–1,19); p=0,15.
Интерпретация результатов
Статистический анализ, проведенный с учетом влияния принципиальных конфаундеров, подтвердил роль ХОБЛ как независимого предиктора госпитальной смерти у пациентов с ОКС. По данным литературы, влияние ХОБЛ на прогноз ОКС может реализовываться как через общий патогенез, так и вследствие внешних причин [10]. В данной работе связь с ишемической болезнью сердца прослеживается четко. Для пациентов с ХОБЛ характерны мужской пол, коронарный анамнез, общие факторы риска (курение, возраст), тяжелое течение ОКС [3, 10]. При этом некоторые закономерности, отмеченные в литературе, подтверждения не нашли. Например, наличие ХОБЛ не ассоциировано с более поздней госпитализацией, что, согласно данным авторов, обусловлено стертой клинической картиной ОКС на фоне ХОБЛ [6, 9].
Несколько неожиданным выглядит отсутствие описанной некоторыми авторами связи ХОБЛ с КМСО [7]. На первый взгляд, подобная ассоциация имеет патогенетическое обоснование, т.к. общими компонентами данных состояний являются эндотелиальная дисфункция, воспаление и тромбоз [3, 11, 13]. По всей видимости, отсутствие влияния на риск развития КМСО можно объяснить крайней гетерогенностью патогенеза данного осложнения. К развитию феномена no-reflow могут приводить различные механизмы, комбинация которых у каждого пациента отличается [8]. Отметим, что в рамках данной работы также не прослежено четкой связи с основными предикторами КМСО (время поступления, уровень глюкозы, тромбоз ИОА, выраженность коллатералей, тяжесть острой сердечной недостаточности – ОСН).
Следует подчеркнуть, что значения ОШ, полученные в ходе логистического регрессионного анализа с использованием «весовых» коэффициентов (см. рис. 4, 5), не следует оценивать с клинических позиций. Данный способ математического анализа использовали для того, чтобы сбалансировать группы сравнения по всем различающимся параметрам с целью подтверждения или опровержения роли исследуемого фактора как предиктора неблагоприятного исхода. Побочным следствием подобной балансировки становится снижение значимости в рамках анализа других известных предикторов негативного прогноза.
Отметим, что факт наличия ХОБЛ не учитывается в таких стандартных прогностических моделях ОКС, как GRACE и TIMI [1]. При этом исследование свидетельствует, что ХОБЛ является недооцененным фактором риска и существенно влияет на прогноз ОКС, даже несмотря на проведенное ЧКВ. Таким образом, обсуждаемый вопросник не только является инструментом выявления ХОБЛ, но и может быть полезен для прогнозирования исходов ОКС. Полученные данные могут быть использованы для последующего отбора пациентов на спирометрию с перспективой коррекции базисной терапии.
Ограничения и обобщаемость (внешняя валидность)
Проведенное исследование и интерпретация его результатов имеют ряд ограничений. Полученная частота регистрации ХОБЛ (31%) согласуется с данными других авторов, использовавших обсуждаемый вопросник [2]. Однако отсутствие верификации ХОБЛ с помощью спирометрии является причиной определенной гипердиагностики (при оценке функции внешнего дыхания доля ХОБЛ у пациентов с ОКС не превышает 20%) [2]. Кроме того, в исследовании не анализировали тяжесть ХОБЛ и проводимую терапию, хотя известно, что выраженность болезни, характер ее течения и частота обострений влияют на прогноз [6].
На результаты исследования могло повлиять искажение данных, допущенное на различных этапах сбора и оценки информации. Итог устного опроса мог зависеть от тяжести состояния пациента. Исключение пациентов в силу тяжести состояния, неэффективности ЧКВ или отказа могло исказить репрезентативность выборки, однако подобных больных было немного (см. рис. 1). Некоторые потенциальные конфаундеры (например, предшествующая медикаментозная терапия) могли быть не учтены. В исследование включали только пациентов после успешного ЧКВ, следовательно, необходимо осторожно экстраполировать полученные результаты на всех больных, поступающих с диагнозом ОКС.
Несмотря на указанные ограничения, выборка включенных в исследование пациентов представляется вполне репрезентативной больным с ОКС из реальной клинической практики.
Заключение
Каждый третий больной, подвергнутый ЧКВ по поводу ОКС, имеет сопутствующую ХОБЛ. Наличие ХОБЛ сопровождается увеличением риска смерти в стационаре, но не влияет на частоту развития КМСО при выполнении ЧКВ. Вопросник «Chronic Airways Diseases: A Guide for Primary Care Physicians, 2005» может использоваться не только как инструмент выявления ХОБЛ, но и для оценки госпитального прогноза у пациентов с ОКС.
Раскрытие интересов. Авторы декларируют отсутствие явных и потенциальных конфликтов интересов, связанных с публикацией настоящей статьи.
Disclosure of interest. The authors declare that they have no competing interests.
Вклад авторов. Авторы декларируют соответствие своего авторства международным критериям ICMJE. Все авторы в равной степени участвовали в подготовке публикации: разработка концепции статьи, получение и анализ фактических данных, написание и редактирование текста статьи, проверка и утверждение текста статьи.
Authors’ contribution. The authors declare the compliance of their authorship according to the international ICMJE criteria. All authors made a substantial contribution to the conception of the work, acquisition, analysis, interpretation of data for the work, drafting and revising the work, final approval of the version to be published and agree to be accountable for all aspects of the work.
Источник финансирования. Работа выполнена в рамках программы «Приоритет 2030».
Funding source. The work was carried out within the framework of the Priority 2030 program.
Соответствие принципам этики. Протокол исследования был одобрен локальным этическим комитетом ФГБОУ ВО ПИМУ, протокол №17 от 11.10.2019. Одобрение и процедуру проведения протокола получали по принципам Хельсинкской конвенции.
Ethics approval. The study was approved by the local ethics committee of Privolzhsky Research Medical University, Nizhny Novgorod, Russia, Protocol 17 of 11.10.2019. The approval and procedure for the protocol were obtained in accordance with the principles of the Helsinki Convention.
Информированное согласие на публикацию. Пациенты подписали форму добровольного информированного согласия на публикацию медицинской информации.
Consent for publication. Written consent was obtained from the patients for publication of relevant medical information and all of accompanying images within the manuscript.
About the authors
Alexey A. Frolov
Privolzhsky Research Medical University; City Clinical Hospital No. 13 of the Nizhny Novgorod Avtozavodsky District
Email: frolov-al-al@yandex.ru
ORCID iD: 0000-0001-7228-7563
канд. мед. наук, ассистент каф. госпитальной хирургии им. Б.А. Королева ФГБОУ ВО ПИМУ, врач отд-ния рентгенохирургических методов диагностики и лечения ГБУЗ НО «ГКБ №13 Автозаводского района г. Нижнего Новгорода»
Russian Federation, Nizhny Novgorod; Nizhny NovgorodVasily D. Fedotov
Privolzhsky Research Medical University; Nizhny Novgorod Scientific Research Institute of Hygiene and Occupational Diseases
Author for correspondence.
Email: basil11@yandex.ru
ORCID iD: 0000-0003-4307-9321
канд. мед. наук, доц. каф. госпитальной терапии и общей врачебной практики им. В.Г. Вогралика ФГБОУ ВО ПИМУ, ст. науч. сотр. клинического отд. ФБУН ННИИГП
Russian Federation, Nizhny Novgorod; Nizhny NovgorodIgor A. Frolov
City Clinical Hospital No. 13 of the Nizhny Novgorod Avtozavodsky District
Email: dr.iafrolov@gmail.com
ORCID iD: 0000-0003-2955-304X
врач отд-ния рентгенохирургических методов диагностики и лечения, ГБУЗ НО «ГКБ №13 Автозаводского района г. Нижнего Новгорода»
Russian Federation, Nizhny NovgorodIlya G. Pochinka
Privolzhsky Research Medical University; City Clinical Hospital No. 13 of the Nizhny Novgorod Avtozavodsky District
Email: pochinka4@yandex.ru
ORCID iD: 0000-0001-5709-0703
д-р мед. наук, доц., зав. каф. эндокринологии и внутренних болезней ФГБОУ ВО ПИМУ, зав. кардиологическим отд-нием ГБУЗ НО «ГКБ №13 Автозаводского района г. Нижнего Новгорода»
Russian Federation, Nizhny Novgorod; Nizhny NovgorodNatalia V. Protasova
City Clinical Hospital No. 13 of the Nizhny Novgorod Avtozavodsky District
Email: protasova.n1962@gmail.com
ORCID iD: 0000-0003-2099-8325
врач отд-ния рентгенохирургических методов диагностики и лечения ГБУЗ НО «ГКБ №13 Автозаводского района г. Нижнего Новгорода»
Russian Federation, Nizhny NovgorodGalina N. Kouzova
City Clinical Hospital No. 13 of the Nizhny Novgorod Avtozavodsky District
Email: Koyzovagalina42@gmail.com
ORCID iD: 0000-0001-5848-6216
врач отд-ния рентгенохирургических методов диагностики и лечения ГБУЗ НО «ГКБ №13 Автозаводского района г. Нижнего Новгорода»
Russian Federation, Nizhny NovgorodAleksey S. Mukhin
Privolzhsky Research Medical University
Email: prof.mukhin@mail.ru
ORCID iD: 0000-0003-2336-8900
д-р мед. наук, проф., зав. каф. госпитальной хирургии им. Б.А. Королева ФГБОУ ВО ПИМУ
Russian Federation, Nizhny NovgorodKirill V. Kuzmichev
Privolzhsky Research Medical University; City Clinical Hospital No. 13 of the Nizhny Novgorod Avtozavodsky District
Email: kir2010k@yandex.ru
ORCID iD: 0000-0002-1513-0313
ассистент каф. эндокринологии и внутренних болезней ФГБОУ ВО ПИМУ, врач приемного отд-ния ГБУЗ НО «ГКБ №13 Автозаводского района г. Нижнего Новгорода»
Russian Federation, Nizhny Novgorod; Nizhny NovgorodReferences
- Ibanez B, James S, Agewall S, et al. 2017 ESC Guidelines for the management of acute myocardial infarction in patients presenting with ST-segment elevation: The Task Force for the management of acute myocardial infarction in patients presenting with ST-segment elevation of the European Society of Cardiology (ESC). Eur Heart J. 2018;39(2):119-77. doi: 10.1093/eurheartj/ehx393
- Mooe T, Stenfors N. The Prevalence of COPD in Individuals with Acute Coronary Syndrome: A Spirometry-Based Screening Study. COPD. 2015;12(4):453-61. doi: 10.3109/15412555.2014.974742
- Morgan AD, Zakeri R, Quint JK. Defining the relationship between COPD and CVD: what are the implications for clinical practice? Ther Adv Respir Dis. 2018;12:1753465817750524. doi: 10.1177/1753465817750524
- Januszek R, Siudak Z, Dziewierz A, et al. Chronic obstructive pulmonary disease affects the angiographic presentation and outcomes of patients with coronary artery disease treated with percutaneous coronary interventions. Pol Arch Intern Med. 2018;128(1):24-34. doi: 10.20452/pamw.4145
- Поликутина О.М., Слепынина Ю.С., Баздырев Е.Д., Барбараш О.Л. Исходы чрескожного коронарного вмешательства у больных инфарктом миокарда с подъемом сегмента ST и сопутствующей хронической обструктивной болезнью легких. Российский кардиологический журнал. 2017;(11):31-5 [Polikutina OM, Slepynina YuS, Bazdyrev ED, Barbarash OL. Outcomes of percutaneous coronary intervention in ST elevation myocardial infarction and chronic obstructive pulmonary disease. Russian Journal of Cardiology. 2017;(11):31-5 (in Russian)]. doi: 10.15829/1560-4071-2017-11-31-35
- Зафираки В.К., Скалецкий К.В., Космачева Е.Д. Предикторы повторной реваскуляризации миокарда в отдаленном периоде после чрескожных коронарных вмешательств у больных с сочетанием ишемической болезни сердца и хронической обструктивной болезни легких. CardioСоматика. 2019;10(4):6-11 [Zafiraki VK, Skaletsky KV, Kosmacheva ED. Predictors of repeat myocardial revascularization for the long-term after percutaneous coronary interventions in patients with combination of coronary artery disease and chronic obstructive pulmonary disease. CardioSomatics. 2019;10(4):6-11 (in Russian)]. doi: 10.26442/22217185.2019.4.190664
- Januszek R, Dziewierz A, Siudak Z, et al. Chronic obstructive pulmonary disease and periprocedural complications in patients undergoing percutaneous coronary interventions. PLoS One. 2018;13(10):e0204257. doi: 10.1371/journal.pone.0204257
- Фролов А.А., Починка И.Г., Шахов Б.Е., и др. Феномен коронарной микрососудистой обструкции (no-reflow) при проведении чрескожных коронарных вмешательств у пациентов с инфарктом миокарда. Патология кровообращения и кардиохирургия. 2020;24(1):18-27 [Frolov AA, Pochinka IG, Shakhov BE, et al. Coronary microvascular obstruction (the no-reflow phenomenon) during percutaneous coronary interventions in patients with myocardial infarction. Patologiya Krovoobrashcheniya i Kardiokhirurgiya. 2020;24(1):18-27 (in Russian)]. doi: 10.21688/1681-3472-2020-1-18-27
- Зафираки В.К., Космачева Е.Д. Периоперационные осложнения и отдаленные результаты чрескожных коронарных вмешательств при стабильной стенокардии у больных хронической обструктивной болезнью легких. Кубанский научный медицинский вестник. 2017;(6):54-8 [Zafiraki VK, Kosmacheva ED. Perioperative complications and remote results of percutaneous coronary interventions in patients with stable angina and chronic obstructive pulmonary disease. Kuban Scientific Medical Bulletin. 2017;(6):54-8 (in Russian)]. doi: 10.25207/1608-6228-2017-24-6-54-58
- Goedemans L, Bax JJ, Delgado V. COPD and acute myocardial infarction. Eur Respir Rev. 2020;29(156). doi: 10.1183/16000617.0139-2019
- Tinkelman DG, Price DB, Nordyke RJ, et al. Symptom-based questionnaire for differentiating COPD and asthma. Respiration. 2006;73(3):296-305. doi: 10.1159/000090141
- Kaur G, Baghdasaryan P, Natarajan B, et al. Pathophysiology, Diagnosis, and Management of Coronary No-Reflow Phenomenon. Int J Angiol. 2021;30(1):15-21. doi: 10.1055/s-0041-1725979
- Collet JP, Thiele H, Barbato E, et al. 2020 ESC Guidelines for the management of acute coronary syndromes in patients presenting without persistent ST-segment elevation. Eur Heart J. 2021;42(14):1289-367. doi: 10.1093/eurheartj/ehaa575
- Benedetto U, Head SJ, Angelini GD, Blackstone EH. Statistical primer: propensity score matching and its alternatives. Eur J Cardiothorac Surg. 2018;53(6):1112-7. doi: 10.1093/ejcts/ezy167
Supplementary files








