Combined use of the GRACE ACS risk score and comorbidity indices to increase the effectiveness of hospital mortality risk assessment in patients with acute coronary syndrome
- Authors: Zykov M.V.1,2,3, Dyachenko N.V.1,3, Velieva R.M.1, Kashtalap V.V.1,4, Barbarash O.L.1,4
-
Affiliations:
- Research Institute for Complex Issues of Cardiovascular Diseases
- Kuban State Medical University
- City Hospital No. 4 Sochi
- Kemerovo State Medical University
- Issue: Vol 94, No 7 (2022)
- Pages: 816-821
- Section: Original articles
- Submitted: 09.08.2022
- Accepted: 09.08.2022
- Published: 12.08.2022
- URL: https://ter-arkhiv.ru/0040-3660/article/view/109718
- DOI: https://doi.org/10.26442/00403660.2022.07.201742
- ID: 109718
Cite item
Full Text
Abstract
Aim. To assess the possibilities of using comorbidity indices together with the GRACE (Global Registry of Acute Coronary Events) scale to assess the risk of hospital mortality in acute coronary syndrome (ACS).
Materials and methods. The registry study included 2,305 patients with ACS. The frequency of coronary angiography was 54.0%, percutaneous coronary intervention (PCI) – 26.9%. Hospital mortality with ACS was 4.8%, with myocardial infarction – 9.4%. All patients underwent a comorbidity assessment according to the CIRS system (Cumulative Illness Rating Scale), according to the CCI (Charlson Comorbidity Index) and the CDS (Chronic Disease Score) scale, according to their own scale, which is based on the summation of 9 diseases (diabetes mellitus, atrial fibrillation, stroke, arterial hypertension, obesity, peripheral atherosclerosis, thrombocytopenia, anemia, chronic kidney disease). All patients underwent a mortality risk assessment using the GRACE ACS Risk scale.
Results. It was found that the CDS and CIRS indices are not associated with the risk of hospital mortality. With CCI≥3, the frequency of death outcomes increased from 4.1 to 6.1% (χ2=4.12, p=0.042). With an increase in the severity of comorbidity from minimal (no more than 1 disease) to severe (4 or more diseases) according to its own scale, hospital mortality increased from 1.2 to 7.4% (χ2=23.8, p<0.0001). In contrast to other scales of comorbidity, our own model more efficiently estimates the hospital prognosis both in the conservative treatment group (χ2=8.0, p=0.018) and in the PCI group (χ2=28.5, p=0.00001). It was in the PCI subgroup that the comorbidity factors included in their own model made it possible to increase the area under the ROC curve of the GRACE scale from 0.80 (0.74–0.87) to 0.90 (0.85–0.95).
Conclusion. CCI and its own comorbidity model, but not CDS and CIRS, are associated with the risk of hospital mortality. The model for assessing comorbidity on a 9-point scale, but not CCI, CDS and CIRS, can significantly improve the predictive value of the GRACE scale.
Full Text
Список сокращений
ИМ – инфаркт миокарда
ИМбпST – инфаркт миокарда без подъема сегмента ST
ИМпST – инфаркт миокарда с подъемом сегмента ST
ОКС – острый коронарный синдром
ОКСбпST – острый коронарный синдром без подъема сегмента ST
ОКСпST – острый коронарный синдром с подъемом сегмента ST
ЧКВ – чрескожное коронарное вмешательство
CCI – Charlson Comorbidity Index
CDS – Chronic Disease Score
CIRS – Cumulative Illness Rating Scale
GRACE – Global Registry of Acute Coronary Events
Введение
В условиях возрастающей смертности от болезней системы кровообращения [1] остается крайне актуальным поиск эффективных методов стратификации риска у больных с развившимся острым коронарным синдромом (ОКС), поскольку это позволит оптимизировать лечебно-диагностические мероприятия и улучшить прогноз в дальнейшем. В настоящее время имеется множество способов оценки риска раннего и отдаленного неблагоприятного исхода для больных с ОКС. В России и Европе популярной является шкала GRACE (Global Registry of Acute Coronary Events) [2–4], которая, однако, не всегда обладает хорошей предсказательной способностью, например для пациентов молодого возраста и пожилых больных [5], что побудило исследователей к многочисленным попыткам по ее улучшению [6–8].
Следует отметить, что большинство имеющихся шкал практически не учитывает феномен коморбидности, хотя известна его высокая распространенность и негативная прогностическая значимость, в том числе и при ОКС [9]. Для оценки коморбидности предложен ряд шкал (индексов), которые до настоящего времени не нашли широкого применения в практической медицине. Наиболее популярным из них является индекс коморбидности Charlson [10].
Цель исследования – оценить возможности совместного со шкалой GRACE использования различных индексов (шкал) коморбидности – CIRS (Cumulative Illness Rating Scale), CCI (Charlson Comorbidity Index) и CDS (Chronic Disease Score) – для оценки риска госпитальной летальности при ОКС.
Материалы и методы
Участники исследования и условия проведения
Представленные ниже результаты основаны на данных регистра ОКС. В исследование включены 2305 пациентов, последовательно госпитализированных в стационар ГБУЗ «ГБ №4 г. Сочи» в 2016 и 2017 г. Включение больных в регистр на протяжении 2 лет было сплошным и осуществлялось в день выписки (смерти) при условии подтвержденного диагноза инфаркта миокарда (ИМ) или нестабильной стенокардии. Частота ОКС с подъемом сегмента ST (ОКСпST) равнялась 30,4% (n=701). При ОКС без подъема сегмента ST (ОКСбпST, n=1604) ИМ зарегистрирован в 29,7% случаев. Средний возраст пациентов составил 67,2 (66,7–67,7) года, большинство из них (60,4%) – мужчины. Острую сердечную недостаточность II–IV классов по Killip регистрировали у каждого 5-го больного с ИМ (n=226). Перенесенный ИМ до госпитализации в стационар зафиксирован в 27,4% случаев. Коронарная ангиография выполнена 54,0% пациентов, чрескожное коронарное вмешательство (ЧКВ) – 26,9%. Госпитальная летальность при ОКС составила 4,8%, при ИМ с подъемом сегмента ST (ИМпST, n=701) – 10,7%, при ИМ без подъема сегмента ST (ИМбпST, n=476) – 7,6%.
Методы оценки целевых показателей
Всем пациентам проведен анализ выраженности коморбидности по системе CIRS [среднее значение составило 10,7 (10,6–10,8)], по CCI [среднее значение – 2,0 (1,9–2,1)] и шкале хронических заболеваний CDS [среднее значение – 2,9 (2,8–3,0)], а также рассчитан балл по шкале госпитальной летальности GRACE ACS Risk Model.
Для последующего анализа данных пациентов разделили, во-первых, по риску госпитальной летальности, оцененному по шкале GRACE ACS Risk Model (4 квартиля). В 1-й квартиль вошли пациенты с риском до 102 баллов, во 2-й – от 103 до 123 баллов, в 3-й – от 124 до 149 баллов, в 4-й – >150 баллов. Во-вторых, пациентов разделили по выраженности коморбидности в зависимости от числа сопутствующих 9 наиболее часто выявляемых заболеваний (сахарного диабета, фибрилляции предсердий, инсульта в анамнезе, артериальной гипертензии, ожирения, периферического атеросклероза, тромбоцитопении, анемии, хронической болезни почек со скоростью клубочковой фильтрации, оцененной по формуле CKD-EPI, <60 мл/мин на 1,73 м2). В 1-ю группу коморбидности вошли пациенты, имеющие не более 1 заболевания (n=487), во 2-ю (умеренной коморбидности) – от 2 до 3 заболеваний (n=1131), в 3-ю (выраженной коморбидности) – >4 заболеваний (n=687).
Статистический анализ
Статистическая обработка результатов исследования осуществлена при помощи программы SPSS Statistics v. 22.0.0.0 (IBM Corp., США). Различия в сравниваемых группах считали достоверными при уровне статистической значимости р<0,05.
Результаты
Установлено, что только индекс CCI и собственная модель учета коморбидности (но не CDS и CIRS) связаны с риском госпитальной летальности (табл. 1). Так, при ССI≥3 частота летальных исходов возрастала с 4,1 до 6,1% (р=0,042). При этом согласно данным, представленным в табл. 1, индекс Charlson позволяет достоверно оценить прогноз только в подгруппе ЧКВ, тогда как собственная модель, оценивающая выраженность коморбидности по 9 ранее описанным заболеваниям, эффективна и в группе консервативного лечения и значительно более сильная (значение χ2 выше в 2,5 раза) в группе ЧКВ.
Таблица 1. Частота госпитальной летальности (n, %) в зависимости от степени тяжести коморбидности, оцененной по CCI и по собственной модели, у больных с ОКС (n=619) в зависимости от стратегии лечения Table 1. In-hospital mortality rate (n, %) depending on the severity of comorbidity, assessed by CCI and own model, in patients with acute coronary syndrome – ACS (n=619) depending on the treatment strategy | ||||||||
Группы | CCI | р | Собственная модель | р | ||||
0 | 1–2 | ≥3 | 0–1 | 2–3 | 4–9 | |||
Группа консервативного лечения (n=1686) | 17 (6,0) | 25 (3,5) | 37 (5,4) | χ2=4,3, р=0,12 | 5 (2,0) | 36 (4,3) | 38 (6,3) | χ2=8,0, р=0,018 |
Группа ЧКВ (n=619) | 6 (2,2) | 15 (6,4) | 11 (10,1) | χ2=11,1, р=0,004 | 1 (0,4) | 18 (6,0) | 13 (15,1) | χ2=28,5, р=0,00001 |
Общая выборка (n=2305) | 23 (4,1) | 40 (4,2) | 48 (6,1) | χ2=4,12, р=0,042 | 6 (1,2) | 54 (4,8) | 51 (7,4) | χ2=23,8, р=0,00001 |
ROC-анализ показал, что наилучшей прогностической ценностью в отношении госпитальной летальности при ОКС обладает шкала GRACE [C-статистика составила 0,91 (0,89–0,94), р<0,00001], тогда как для CCI, CDS и CIRS этот показатель не превышал 0,57. Для собственной модели, основанной на идентификации 9 факторов коморбидности, значение площади под ROC-кривой оказалось также низким в общей выборке – 0,64 (0,59–0,69) и значительно выше в подгруппе ЧКВ – 0,76 (0,71–0,84).
Факторы коморбидности, вошедшие в собственную 9-балльную шкалу, позволили существенно повысить предсказательную способность шкалы GRACE в подгруппе пациентов, подвергшихся ЧКВ: значение площади под ROC-кривой для шкал GRACE и GRACE+K9 составило 0,80 (0,74–0,87) и 0,90 (0,85–0,95) соответственно.
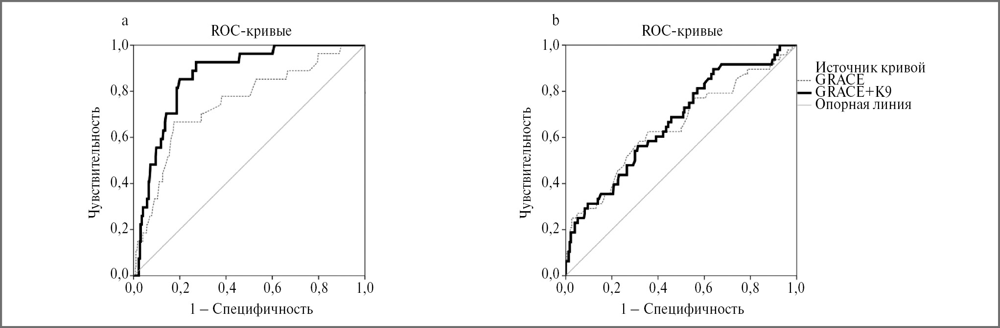
Как и следовало ожидать, шкала GRACE обладает лучшей прогностической способностью у пациентов с ОКСбпST в сравнении с ОКСпST. Значения площади под ROC-кривой составили 0,91 (0,88–0,95) и 0,71 (0,66–0,76) соответственно. Еще ниже оказалось значение С-статистики в подгруппе пациентов с ОКСпST и консервативным лечением, чем после ЧКВ: 0,65 (0,56–0,74) и 0,75 (0,65–0,85) соответственно. Именно в подгруппе ОКСпST и ЧКВ (n=423) при добавлении в уравнение регрессии Кокса к балльной шкале GRACE данных собственной модели, оценивающей коморбидность по 9 баллам, существенно повысились и значения χ2 (с 41,3 до 52,2), и площади под ROC-кривой [до 0,87 (0,81–0,92)]. В подгруппе ОКСпST без ЧКВ (n=278) χ2 в регрессии Кокса повысился лишь с 50,2 до 51,8, а С-статистика – только до 0,67 (0,58–0,75); рис. 1.
Рис. 1. RОС-кривые шкалы GRACE и объединенной шкалы GRACE с собственной моделью коморбидности (GRACE+K9) в отношении прогнозирования госпитальной летальности при ОКСпST в подгруппах ЧКВ (a) и консервативного лечения (b).
Статистически значимые и важные для практического использования данные получены в подгруппе ОКСпST и ЧКВ (табл. 2). Так, несмотря на высокий балл по шкале GRACE (≥150), отсутствие коморбидности ассоциируется с отсутствием какой-либо вероятности летального исхода. У пациентов с промежуточным значением баллов по шкале GRACE (103–149) идентификация коморбидности позволяет повысить вероятность прогнозирования неблагоприятного исхода после ЧКВ в подгруппе с ОКСпST.
Таблица 2. Госпитальная летальность (n, %) в зависимости от степени риска по шкале GRACE и тяжести коморбидности у больных с ОКСпST, подвергшихся ЧКВ (n=423), и пациентов с консервативной стратегией лечения (n=278) Table 2. Hospital mortality (n, %) depending on the degree of risk according to the GRACE scale and the severity of comorbidity in patients with non-ST elevation ACS who underwent percutaneous coronary intervention (n=423) and patients with a conservative treatment strategy (n=278) | ||||||||
Квартили по шкале GRACE, баллы | Число заболеваний у больных с консервативной стратегией лечения | р | Число заболеваний у больных, подвергшихся ЧКВ | p | ||||
0–1 | 2–3 | 4–9 | 0–1 | 2–3 | 4–9 | |||
28–102 | 0 | 0 | 0 | – | 0 | 0 | 0 | – |
103–123 | 0 | 0 | 0 | – | 0 | 1 (3,9) | 1 (11,1) | χ2=3,6, р=0,16 |
124–149 | 0 | 1 (3,1) | 3 (20,0) | χ2=6,2, р=0,04 | 0 | 1 (1,3) | 2 (16,7) | χ2=15,1, р=0,0005 |
150–304 | 3 (12,0) | 20 (24,1) | 21 (23,6) | χ2=1,8, р=0,41 | 0 | 13 (15,7) | 9 (28,1) | χ2=14,1, р=0,008 |
Обсуждение
В настоящем исследовании только индекс коморбидности CCI и собственная модель оценки коморбидности (но не CDS и CIRS) ассоциировались с риском госпитальной летальности. В доступной литературе нами не найдено источников, в которых оценивалась бы прогностическая значимость шкал коморбидности CDS и CIRS у пациентов с ОКС. Однако имеется ряд исследований, анализирующих прогностическую силу CCI у пациентов с ОКС. Так, S. Erickson и соавт. показали, что шкала CCI достоверно предсказывает госпитальную смертность у пациентов после ОКС, однако проигрывает по мощности шкале GRACE. Добавление к шкале GRACE индекса коморбидности Charlson незначительно увеличивает площадь под ROC-кривой [11]. По данным D. Radovanovic и соавт., шкала CCI достоверно ассоциировалась с госпитальной летальностью. Однако площадь под ROC-кривой для CCI составляла лишь 0,67. Авторами установлено, что добавление к индексу CCI возраста увеличивало площадь под ROC-кривой до 0,76 [12]. P. Erne и соавт. также показали независимую прогностическую роль индекса коморбидности CCI в большой выборке пациентов, которая, однако, уступала по значимости острой сердечной недостаточности по Killip [13]. При количественной оценке коморбидности показано увеличение летальности на госпитальном этапе у больных с ИМ пропорционально увеличению числа заболеваний [14]. Интересными представляются результаты исследования S. Canivell и соавт. Авторами был выбран другой дизайн исследования для анализа вклада коморбидности в прогноз у пациентов после ОКС. Всех пациентов разделили на группы: без коморбидности, имеющих сердечно-сосудистую коморбидность, имеющих несердечно-сосудистую коморбидность и имеющих оба вида коморбидности. Число баллов по шкале GRACE, доля пациентов с ОКСбпST и частота летальности достоверно увеличивались в вышеуказанном порядке упоминания групп [15].
Шкала GRACE, согласно собственным и другим данным, обладает высокой прогностической силой для госпитального прогноза (C-статистика составила 0,91) и, соответственно, превосходит таковую для шкал коморбидности, как и в исследовании S. Erickson и соавт. [11]. Это обусловлено тем, что ни одна из существующих моделей коморбидности не учитывает характер течения ОКС (например, нарушения гемодинамики и ритма сердца, острую сердечную недостаточность, повышение активности кардиоспецифических ферментов и прочее), что, вероятно, является определяющим для госпитального прогноза.
При детальном анализе установлено, что наименьшую предсказательную силу шкала GRACE имеет у пациентов с ОКСпST, что нашло как подтверждение [16], так и опровержение [17] в литературных источниках. Существует метаанализ, в котором получены данные о равной площади под ROC-кривой шкалы GRACE для госпитального прогноза как у пациентов с ОКСпST, так и с ОКСбпST [18]. Добавление к шкале GRACE собственной модели коморбидности значительно улучшает предсказательную силу первой, в особенности у пациентов с ОКСпST, подвергшихся ЧКВ. Возможно, это обусловлено особой уязвимостью перед ранними осложнениями после ЧКВ у пациентов с ОКСпST ввиду неразвитого коллатерального кровоснабжения миокарда. Следует предположить, что тромбоз стента чаще развивается именно у коморбидных пациентов. Исследований, посвященных непосредственной оценке роли коморбидности в развитии ранних осложнений после ЧКВ, нами не найдено, однако не вызывает сомнений вклад отдельных ее компонентов (сахарного диабета, почечной дисфункции, систолической дисфункции миокарда).
Таким образом, негативное прогностическое влияние коморбидности на исход госпитализации после ОКС неоспоримо, но не является определяющим. Отметим, что неблагоприятный эффект ранее упомянутых компонентов коморбидности считается доказанным и описан в клинических рекомендациях [3, 4]. Тем не менее до сих пор отсутствовала комплексная оценка влияния нескольких заболеваний на течение ОКС. Худший краткосрочный прогноз у коморбидных пациентов может быть обусловлен несколькими причинами, это в том числе и «плохое» следование клиническим рекомендациям [19]. Выше уже упоминалось о связи риска тромбозов стента с рядом компонентов коморбидности [20]. Опубликованы результаты исследования B. Hudzik и соавт. о повышении объема тромбоцитов с увеличением тяжести коморбидности [21], что ассоциируется со склонностью к гиперагрегации [22]. Авторы объясняют обнаруженную ассоциацию влиянием системного воспаления, поскольку была показана прямая связь концентрации цитокинов с выраженностью коморбидности [23, 24]. Воспаление может реализовывать свое негативное действие не только через тромбоциты, но и посредством дестабилизации атеросклеротических бляшек, что приводит к повторным сердечно-сосудистым катастрофам [25]. Имеются данные о том, что коморбидность инициирует воспаление в микрососудистом русле миокарда с последующим каскадом реакций и, как следствие, ведет к развитию сердечной недостаточности [26]. Этот механизм может играть большую роль и в постинфарктном ремоделировании миокарда.
Заключение
Коморбидность, оцениваемая по моделям CCI, CDS и CIRS, в отличие от шкалы GRACE ACS Risk Score, не является существенным фактором, предопределяющим госпитальный прогноз. Коморбидность, определяемая по собственной модели с идентификацией 9 факторов (но не CCI, CDS и CIRS), позволяет улучшить прогностическую значимость шкалы GRACE ACS Risk Score у пациентов с ОКСпST, подвергшихся ЧКВ.
Раскрытие интересов. Авторы декларируют отсутствие явных и потенциальных конфликтов интересов, связанных с публикацией настоящей статьи.
Disclosure of interest. The authors declare that they have no competing interests.
Вклад авторов. Авторы декларируют соответствие своего авторства международным критериям ICMJE. Все авторы в равной степени участвовали в подготовке публикации: разработка концепции статьи, получение и анализ фактических данных, написание и редактирование текста статьи, проверка и утверждение текста статьи.
Authors’ contribution. The authors declare the compliance of their authorship according to the international ICMJE criteria. All authors made a substantial contribution to the conception of the work, acquisition, analysis, interpretation of data for the work, drafting and revising the work, final approval of the version to be published and agree to be accountable for all aspects of the work.
Источник финансирования. Исследование выполнено в рамках фундаментальной темы ФГБНУ НИИ КПССЗ №0419-2022-0002 «Разработка инновационных моделей управления риском развития болезней системы кровообращения с учетом коморбидности на основе изучения фундаментальных, клинических, эпидемиологических механизмов и организационных технологий медицинской помощи в условиях промышленного региона Сибири», № гос. регистрации 122012000364-5 от 20.01.2022.
Funding source. The study was carried out within the framework of the fundamental topic of Research Institute for Complex Issues of Cardiovascular Diseases, No. 0419-2022-0002 "Development of innovative models for managing the risk of developing diseases of the circulatory system, taking into account comorbidity based on the study of fundamental, clinical, epidemiological mechanisms and organizational technologies of medical care in an industrial region of Siberia", state no. registration 122012000364-5 dated 01.20.2022.
About the authors
Mikhail V. Zykov
Research Institute for Complex Issues of Cardiovascular Diseases; Kuban State Medical University; City Hospital No. 4 Sochi
Author for correspondence.
Email: mvz83@mail.ru
ORCID iD: 0000-0003-0954-9270
д-р мед. наук, вед. науч. сотр. лаб. нейрососудистой патологии отд. клинической кардиологии; доц. каф. медицинской реабилитации; врач-кардиолог отд-ния кардиологии №1
Russian Federation, Kemerovo; Krasnodar; SochiNikita V. Dyachenko
Research Institute for Complex Issues of Cardiovascular Diseases; City Hospital No. 4 Sochi
Email: mvz83@mail.ru
ORCID iD: 0000-0002-1627-0545
прикрепленный соискатель; врач-кардиолог, рентгенэндоваскулярный хирург отд-ния рентгенохирургических методов диагностики и лечения
Russian Federation, Kemerovo; SochiRufana M. Velieva
Research Institute for Complex Issues of Cardiovascular Diseases
Email: mvz83@mail.ru
ORCID iD: 0000-0002-2848-6810
аспирант, врач-кардиолог
Russian Federation, KemerovoVasily V. Kashtalap
Research Institute for Complex Issues of Cardiovascular Diseases; Kemerovo State Medical University
Email: mvz83@mail.ru
ORCID iD: 0000-0003-3729-616X
д-р мед. наук, проф., зав. отд. клинической кардиологии; проф. каф. кардиологии и сердечно-сосудистой хирургии
Russian Federation, Kemerovo; KemerovoOlga L. Barbarash
Research Institute for Complex Issues of Cardiovascular Diseases; Kemerovo State Medical University
Email: mvz83@mail.ru
ORCID iD: 0000-0002-4642-3610
акад. РАН, д-р мед. наук, проф., дир.; зав. каф. кардиологии и сердечно-сосудистой хирургии
Russian Federation, Kemerovo; KemerovoReferences
- Российский статистический ежегодник. 2021. Статистический сборник. М.: Росстат, 2021. Режим доступа: https://rosstat.gov.ru/storage/mediabank/Ejegodnik_2021.pdf. Ссылка активна на 07.07.2022 [Rossiiskii statisticheskii ezhegodnik. 2021. Statisticheskii sbornik. Moscow: ROSSTAT, 2021. Available at: https://rosstat.gov.ru/storage/mediabank/Ejegodnik_2021.pdf. Accessed: 07.07.2022 (in Russian)].
- Алиева М.Г. Стратификация риска, регистры и прогностические шкалы при остром коронарном синдроме. Юг России: экология, развитие. 2017;12(3):159-65 [Alieva MG. Risk stratification, registers and prognostic scales in acute coronary syndrome. South of Russia: Ecology, Development. 2017;12(3):159-65 (in Russian)]. doi: 10.18470/1992-1098-2017-3-159-165
- Барбараш О.Л., Дупляков Д.В., Затейщиков Д.А., и др. Острый коронарный синдром без подъема сегмента ST электрокардиограммы. Клинические рекомендации 2020. Российский кардиологический журнал. 2021;26(4):4449 [Barbarash OL, Duplyakov DV, Zateischikov DA, et al. 2020 Clinical practice guidelines for Acute coronary syndrome without ST segment elevation. Russian Journal of Cardiology. 2021;26(4):4449 (in Russian)]. doi: 10.15829/1560-4071-2021-4449
- Collet JP, Thiele H, Barbato E, et al. 2020 ESC Guidelines for the management of acute coronary syndromes in patients presenting without persistent ST-segment elevation. Eur Heart J. 2021;42(14):1289-367. doi: 10.1093/eurheartj/ehaa575. Erratum in: Eur Heart J. 2021;42(19):1908. Erratum in: Eur Heart J. 2021;42(19):1925
- Gerber Y, Weston SA, Enriquez-Sarano M, et al. Contemporary Risk Stratification After Myocardial Infarction in the Community: Performance of Scores and Incremental Value of Soluble Suppression of Tumorigenicity-2. J Am Heart Assoc. 2017;6(10):e005958. doi: 10.1161/JAHA.117.005958
- Liu XJ, Wan ZF, Zhao N, et al. Adjustment of the GRACE score by HemoglobinA1c enables a more accurate prediction of long-term major adverse cardiac events in acute coronary syndrome without diabetes undergoing percutaneous coronary intervention. Cardiovasc Diabetol. 2015;14:110. doi: 10.1186/s12933-015-0274-4
- Bai XF, Zhang YP, Zhou J, et al. Combination of the CYP2C19 metabolizer and the GRACE risk score better predicts the long-term major adverse cardiac events in acute coronary syndrome undergoing percutaneous coronary intervention. Thromb Res. 2018;170:142-7. doi: 10.1016/j.thromres.2018.08.016
- Widera C, Pencina MJ, Meisner A, et al. Adjustment of the GRACE score by growth differentiation factor 15 enables a more accurate appreciation of risk in non-ST-elevation acute coronary syndrome. Eur Heart J. 2012;33(9):1095-104. doi: 10.1093/eurheartj/ehr444
- Зыков М.В., Кашталап В.В., Быкова И.С., и др. Связь мультиморбидности с риском развития сердечно-сосудистых осложнений у пациентов с острым коронарным синдромом. Кардиологический вестник. 2018;2:59-65 [Zykov MV, Kashtalap VV, Bykova IS, et al. The relationship between multimorbidity and cardiovascular risk in patients with acute coronary syndrome. Kardiologicheskii vestnik. 2018;2:59-65 (in Russian)]. doi: 10.17116/cardiobulletin201813259
- Оганов Р.Г., Денисов И.Н., Симаненков В.И., и др. Коморбидная патология в клинической практике. Клинические рекомендации. Кардиоваскулярная терапия и профилактика. 2017;16(6):5-56 [Oganov RG, Denisov IN, Simanenkov VI, et al. Comorbidities in practice. Clinical guidelines. Cardiovascular Therapy and Prevention. 2017;16(6):5-56 (in Russian)]. doi: 10.15829/1728-8800-2017-6-5-56
- Erickson SR, Cole E, Kline-Rogers E, Eagle KA. The Addition of the Charlson Comorbidity Index to the GRACE Risk Prediction Index Improves Prediction of Outcomes in Acute Coronary Syndrome. Popul Health Manag. 2014;17(1):54-9. doi: 10.1089/pop.2012.0117
- Radovanovic D, Seifert B, Urban P, et al. Validity of Charlson Comorbidity Index in patients hospitalised with acute coronary syndrome. Insights from the nationwide AMIS Plus registry 2002–2012. Heart. 2014;100(4):288-94. doi: 10.1136/heartjnl-2013-304588
- Erne P, Gutzwiller F, Urban P, et al. Characteristics and Outcome in Acute Coronary Syndrome Patients with and without Established Modifiable Cardiovascular Risk Factors: Insights from the Nationwide AMIS Plus Registry 1997–2010. Cardiology. 2012;121(4):228-36. doi: 10.1159/000337324
- Tisminetzky M, Gurwitz JH, Miozzo R, et al. Impact of cardiac- and noncardiac-related conditions on adverse outcomes in patients hospitalized with acute myocardial infarction. J Comorb. 2019;9:2235042X19852499. doi: 10.1177/2235042X19852499
- Canivell S, Muller O, Gencer B, et al. Prognosis of cardiovascular and non-cardiovascular multimorbidity after acute coronary syndrome. PLoS One. 2018;13(4):e0195174. doi: 10.1371/journal.pone.0195174
- Granger CB, Goldberg RJ, Dabbous O, et al. Predictors of hospital mortality in the global registry of acute coronary events. Arch Intern Med. 2003;163(19):2345-53. doi: 10.1001/archinte.163.19.2345
- Chen YH, Huang SS, Lin SJ. TIMI and GRACE Risk Scores Predict Both Short-Term and Long-Term Outcomes in Chinese Patients with Acute Myocardial Infarction. Acta Cardiol Sin. 2018;34(1):4-12. doi: 10.6515/ACS.201801_34(1).20170730B
- D'Ascenzo F, Biondi-Zoccai G, Moretti C, et al. TIMI, GRACE and alternative risk scores in Acute Coronary Syndromes: Ameta-analysis of 40 derivation studies on 216,552 patients and of 42 validation studies on 31,625 patients. Contemp Clin Trials. 2012;33(3):507-14. doi: 10.1016/j.cct.2012.01.001
- Эрлих А.Д., Барбараш О.Л., Кашталап В.В., Грацианский Н.А. Степень следования клиническим руководствам при остром коронарном синдроме без подъема ST: связь с исходами, предикторы «плохого» лечения (результаты регистра «РЕКОРД-3»). Комплексные проблемы сердечно-сосудистых заболеваний. 2016;(2):75-82 [Erlikh AD, Barbarash OL, Kashtalap VV, Gratsiansky NA. Compliance with clinical practice guidelines for non ST-segment elevation acute coronary syndrome: association between outcomes and predictors of poor management (RECoRd-3 registry data). Complex Issues of Cardiovascular Diseases. 2016;(2):75-82 (in Russian)]. doi: 10.17802/2306-1278-2016-2-75-82
- Byrne RA, Joner M, Kastrati A. Stent thrombosis and restenosis: what have we learned and where are we going? The Andreas Grüntzig Lecture ESC 2014. Eur Heart J. 2015;36(47):3320-31. doi: 10.1093/eurheartj/ehv511
- Hudzik B, Korzonek-Szlacheta I, Szkodziński J, et al. Association between multimorbidity and mean platelet volume in diabetic patients with acute myocardial infarction. Acta Diabetol. 2018;55(2):175-83. doi: 10.1007/s00592-017-1079-6
- Choi DH, Kang SH, Song H. Mean platelet volume: a potential biomarker of the risk and prognosis of heart disease. Korean J Intern Med. 2016;31(6):1009-17. doi: 10.3904/kjim.2016.078
- Fabbri E, An Y, Zoli M, et al. Aging and the burden of multimorbidity: associations with inflammatory and anabolic hormonal biomarkers. J Gerontol A Biol Sci Med Sci. 2015;70(1):63-70. doi: 10.1093/gerona/glu127
- Ferreira GD, Simões JA, Senaratna C, et al. Physiological markers and multimorbidity: A systematic review. J Comorb. 2018;8(1):2235042X18806986. doi: 10.1177/2235042X18806986
- Castellon X, Bogdanova V. Chronic Inflammatory Diseases and Endothelial Dysfunction. Aging Dis. 2016;7(1):81-9. doi: 10.14336/AD.2015.0803
- Paulus WJ, Tschöpe C. A novel paradigm for heart failure with preserved ejection fraction comorbidities drive myocardial dysfunction and remodeling through coronary microvascular endothelial inflammation. J Am Coll Cardiol. 2013;62(4):263-71. doi: 10.1016/j.jacc.2013.02.092
Supplementary files



