Remissions and progression of C3 glomerulopathy
- Authors: Karunnaya A.V.1, Dobronravov V.A.1
-
Affiliations:
- Pavlov First Saint Petersburg State Medical University
- Issue: Vol 94, No 6 (2022)
- Pages: 718-724
- Section: Original articles
- Submitted: 04.08.2022
- Accepted: 04.08.2022
- Published: 04.08.2022
- URL: https://ter-arkhiv.ru/0040-3660/article/view/109607
- DOI: https://doi.org/10.26442/00403660.2022.06.201564
- ID: 109607
Cite item
Full Text
Abstract
Aim. To analyze the outcomes of C3-glomerulopathy (C3-GP) and determine the associated factors.
Materials and methods. A retrospective single-center study included 60 patients with newly diagnosed C3-GP (with primary C3-GP – pC3-GP – 82%). Of these, 48 (80%) patients had clinical data to assess the following disease outcomes: development of remission and disease progression (by a composite endpoint that included initiation of chronic dialysis or a decrease in estimated glomerular filtration rate – eGFR – <15 mL/min/1.73 m2 or a decrease in eGFR≥30% of baseline at the time of renal biopsy). The median follow-up period was 25 (7; 52) months.
Results. At early follow-up (median 4 [3; 9] months) remission was registered in 35% of patients; at the end of follow-up, in 48% (for pC3-GP, 32 and 41%). Disease progression occurred in 17 patients. In the overall group the likelihood of achieving early remission was higher with treatment (Expβ=6.4, 95% confidence interval – CI 1.4–29.3; p=0.017). Early remission was associated with the presence of remission at the end of follow-up (Expβ=6.3, 95% CI 2.2–18.4; p=0.001). Specific treatment (Expβ=0.308, 95% CI 0.108–0.881; p=0.028) and late remission (Expβ=0.079, 95% CI 0.017–0.368; p=0.001) were associated with reduced risk of disease progression in multivariable models (adjusted for eGFR, mean blood pressure). The same results were obtained for the group of patients with pC3-GP.
Conclusion. C3-GP is a variant of severe complement-mediated glomerular damage with unfavorable renal prognosis, which requires timely personalized expert-level diagnostics with clarification of etiopathogenesis of the disease followed by therapy aimed at achieving remission to improve outcomes.
Full Text
Список сокращений
АД – артериальное давление
БПД – болезнь плотных депозитов
вС3-ГП – вторичная С3-гломерулопатия
ГКС – глюкокортикостероиды
ДИ – доверительный интервал
ИСТ – иммуносупрессивная терапия
ММФ – микофенолата мофетил
ПО – плазмообмен
пС3-ГП – первичная С3-гломерулопатия
рСКФ – расчетная скорость клубочковой фильтрации
С3-ГП – С3-гломерулопатия
ЦФ – циклофосфамид
Введение
С3-гломерулопатия (С3-ГП) относится к орфанным заболеваниям [1], а ее развитие и прогрессирование обусловлены повреждением почек на фоне дисрегуляции альтернативного пути комплемента. Систематизированные в 2012 г. концепции этиопатогенеза и клинико-морфологических проявлений С3-ГП как отдельной группы специфических заболеваний привели к существенному улучшению диагностики [2–4]. В то же время стратегии лечения и оценки его эффективности до настоящего времени не определены, а прогноз С3-ГП остается неблагоприятным. Около 50% случаев достигают выраженной дисфункции почек и/или терминальной почечной недостаточности в течение 10 лет от момента постановки диагноза [5–7].
На данном этапе изучения этой новой для нефрологии группы заболеваний накопление и анализ данных об исходах в зависимости от клинико-морфологических проявлений и применяемого лечения в различных популяциях представляются необходимыми для поиска и определения подходов к эффективному лечению, улучшения прогноза. Наряду с несколькими ретроспективными когортными исследованиями, опубликованными в последние годы [5–11], настоящее исследование направлено на оценку течения и исходов С3-ГП, а также определение клинико-морфологических факторов, связанных с прогрессированием заболевания.
Материалы и методы
Пациенты, клинические и морфологические показатели
В ретроспективное обсервационное исследование включены пациенты с впервые установленным диагнозом С3-ГП в клинике Научно-исследовательского института нефрологии ФГБОУ ВО «Первый СПбГМУ им. акад. И.П. Павлова» в период с 01.01.2006 по 15.09.2021 (n=60). Случаи С3-ГП, ассоциированные с развитием плазмоклеточных дискразий (n=9) или аутоиммунными заболеваниями (n=2), отнесены к вторичным (вС3-ГП). Остальные случаи в исследуемой группе (n=49) представлены вариантами первичной С3-ГП (пС3-ГП).
Критерии селекции случаев, используемые в исследовании, клинико-морфологические характеристики исследуемой группы пациентов, а также регистрируемые показатели, используемые для анализа, детально описаны нами в недавней публикации [12].
Лечение
Регистрировали информацию о проведенном лечении:
а) ренопротективном – ингибиторами ангиотензин- превращающего фермента или блокаторами рецептора ангиотензина II;
б) об иммуносупрессивной терапии (ИСТ) – глюкокортикостероидами (ГКС), микофенолата мофетилом (ММФ), циклофосфамидом (ЦФ), циклоспорином, такролимусом, ритуксимабом;
в) с помощью моноклональных антител к компоненту системы комплемента 5;
г) о плазмообмене (ПО);
д) клон-ориентированной терапии при плазмоклеточных дискразиях (бортезомиб + ГКС±ЦФ). При анализе данных пациентов, которые получали только поддерживающее ренопротективное лечение, относили к группам «без лечения», а все остальные случаи – к группам «с лечением».
Наблюдение и оцениваемые исходы
На протяжении всего периода наблюдения регистрировали случаи и сроки летальных исходов и их причины. Прогрессирование заболевания оценивали по композитной точке, включавшей следующие почечные исходы: начало хронического диализа, снижение расчетной скорости клубочковой фильтрации (рСКФ) менее 15 мл/мин/1,73 м2 и снижение рСКФ≥30% от исходной. Регистрировали время наступления этих событий.
Ремиссии С3-ГП определяли по следующим критериям:
- полная – протеинурия ниже 500 мг/сут в отсутствие снижения рСКФ>29% от исходного;
- частичная – снижение суточной протеинурии больше чем на 50% от исходного уровня и ее абсолютное значение менее 3,5 г/сут/1,73 м2 при условии отсутствия снижения рСКФ≥30% от исходного.
К отсутствию ремиссии относили случаи, не удовлетворявшие критериям полной/частичной ремиссии.
Наступление ремиссии оценивали в ранние сроки после начала ренопротективной или специфической терапии и по окончании периода наблюдения.
Статистический анализ
Для описательной статистики использовали частоты (доли, проценты), медианы и интерквартильный размах (25%; 75%). Межгрупповые различия в зависимости от типа переменных оценивали при помощи критерия хи-квадрат, U-теста Манна–Уитни. Кумулятивные доли доживших до исхода рассчитывали по методу Каплана– Мейера. Полными наблюдениями являлись случаи, достигшие исхода, цензурированными – без исхода в период наблюдения. Для анализа связей исследуемых показателей с риском наступления исхода применяли одно- и мультивариантное моделирование на основе модели пропорциональных интенсивностей Кокса или логистической регрессии. Множественный линейный регрессионный анализ применяли для выявления ассоциаций между непрерывной зависимой переменной и независимыми показателями. Для использования в множественных регрессиях предварительно отобраны независимые переменные по результатам одновариантного регрессионного анализа, которые имели значение р<0,05 для коэффициента регрессии. Для построения моделей и определения независимых факторов, связанных с тем или иным исходом, использовали принудительное включение независимых переменных или пошаговое исключение. Различия, коэффициенты регрессии считали достоверными при значении р<0,05.
Результаты
Динамические данные, необходимые для оценки исходов заболевания, были доступны у 48 (80%) пациентов, из них 37 случаев – с пС3-ГП. В 8 случаях после ультраструктурного анализа определена болезнь плотных депозитов (БПД), у остальных – другие типы С3-ГП. Медиана периода наблюдения составила 25 (7; 52) мес (максимально – 135 мес).
Лечение
В исследуемой группе большинство (80%) пациентов получали лечение ингибиторами ангиотензинпревращающего фермента или блокаторами рецептора ангиотензина II.
Из 37 пациентов с пС3-ГП, динамические данные которых известны, лечение проведено у 21 (57%). Из них 17 пациентов получили ИСТ±ПО, 3 – только ПО, 1 – моноклональные антитела к компоненту системы комплемента 5 в сочетании с ГКС. ИСТ в большинстве случаев представлена монотерапией ГКС (n=10) или ГКС в сочетании с другими препаратами (n=7). В 5 случаях ИСТ дополняли ПО в индукционной фазе (2 [1; 4] процедуры).
Из 11 случаев вС3-ГП лечение назначено и проведено в 10 (91%). Показания к клон-ориентированной терапии при плазмоклеточных дискразиях определяли в соответствии с описанными ранее положениями [13].
Пациенты, которым назначали лечение, отличались на момент диагностики более высокой протеинурией (8,23 [5, 16; 13, 62] г/24 vs 4,61 [2, 61; 8, 16] г/24; р=0,027) и не имели различий по другим исходным клиническим показателям.
Ремиссии
В ранние сроки наблюдения (медиана 4 [3; 9] мес) ремиссия С3-ГП зарегистрирована в 18 (38%) из 48 случаев (полная – в 17%, частичная – в 21%). При дальнейшем наблюдении из 17 пациентов, достигших полной или частичной ремиссии, у 4 зарегистрировали обострение заболевания, потребовавшее изменения/усиления лечения (без достижения ремиссии в дальнейшем); еще 10 пациентов достигли ремиссии (полной или частичной). Таким образом, в конце наблюдения ремиссия в исследуемой группе зарегистрирована у 23 (48%) пациентов (полная – у 21%, частичная – у 27%). Ремиссии в группах пациентов с пС3-ГП и вС3-ГП детализированы в табл. 1.
Таблица 1. Ремиссии при первичной и вторичной С3-ГП / Table 1. Remissions in primary and secondary C3 glomerulopathy (C3-GP)
Ремиссия, период | Первичная С3-ГП (n=37) | Вторичная С3-ГП (n=11) |
Ранний период, абс. (%): · полная · частичная | 13 (35) 5 (14) 8 (21) | 5 (45) 3 (27) 2 (18) |
Завершение наблюдения, абс. (%): · полная · частичная | 15 (41) 4 (11) 11 (30) | 8 (73) 6 (55) 2 (18) |
Клинические факторы, ассоциированные с ремиссией
При одновариантном регрессионном анализе в общей группе вероятность наступления ранней ремиссии была независимо ассоциирована с проведенным лечением (Expβ=6,4, 95% доверительный интервал – ДИ 1,4–29,3; p=0,017) и с более высокими значениями альбумина в сыворотке крови (Expβ=0,936, 95% ДИ 0,884–0,992 на 1 г/л; p=0,025). Среди случаев пС3-ГП при одновариантном анализе альбумин крови и лечение имели достоверные связи с ранней ремиссией, однако не имели независимого характера (рис. 1).
Рис. 1. Кумулятивная частота ремиссий С3-ГП в ранние сроки наблюдения при проведении лечения и в случае его отсутствия: а – общая группа; b – при первичной С3-ГП. / Fig. 1. Cumulative rates of C3-GP remissions in the early follow-up period with and without treatment: a – all patients; b – with (upper line) and without treatment (lower line), in primary C3-GP.
Кроме того, лечение (β=-0,237±0,094; р=0,016) и исходная протеинурия (β=-0,817±0,096; р<0,001) явились независимыми предикторами абсолютной динамики протеинурии при ранних сроках наблюдения в множественных линейных регрессионных моделях.
Независимыми факторами, ассоциированными с развитием ремиссии в конце наблюдения в регрессии Кокса, стали ранняя ремиссия (Expβ=6,3, 95% ДИ 2,2–18,4; p=0,001) и умеренная или выраженная эндокапиллярная гиперклеточность (Expβ=0,09, 95% ДИ 0,011–0,816; p=0,032). Аналогичные результаты получены при анализе группы пС3-ГП и подтверждены с помощью логистического анализа с коррекцией по длительности наблюдения (данные не представлены).
Общая выживаемость и прогрессирование
Зарегистрировано 2 смертельных исхода, оба в течение первых 3 мес после биопсии. Их причинами стали инфекционные осложнения ИСТ (пС3-ГП) и прогрессия основного заболевания (множественная миелома) на фоне запоздалой диагностики и отсутствия возможности своевременной инициации клон-ориентированного лечения.
Заболевание прогрессировало у 17 пациентов (15 случаев – при пС3-ГП, 2 – при С3-ГП на фоне плазмоклеточной дискразии); рис. 2, а. Из них заместительная почечная терапия начата в 7 случаях (6 – при пС3-ГП). Кумулятивная доля случаев без прогрессирования недостоверно выше при вС3-ГП (рис. 2, b).
Рис. 2. Кумулятивная доля случаев без прогрессирования по композитной точке (заместительная почечная терапия, снижение рСКФ<15 мл/мин/1,73 м2, снижение рСКФ≥30%): a – в общей группе; b – в зависимости от варианта С3-ГП (первичная – сплошная линия, вторичная – пунктирная). / Fig. 2. Cumulative proportion of cases without progression by composite end-point (renal replacement therapy or eGFR decrease <15 ml/min/1.73 m2 or eGFR decrease ≥30%): a – in the general group; b – and in primary (solid line) or in secondary C3-GP (dash line).
Группу случаев прогрессирования С3-ГП отличали более выраженные фибропластические изменения почек и уровень артериального давления (АД), более низкие значения рСКФ и меньшая частота развития ремиссий (табл. 2). По остальным клиническим и морфологическим показателям различий не выявлено. Не было также существенных различий в прогнозе между подгруппами пациентов с БПД (n=8) и С3-гломерулонефритом (n=40).
Таблица 2. Клинические и морфологические показатели в группах пациентов с прогрессированием и без прогрессирования С3-ГП (приведены только достоверно отличающиеся показатели) / Table 2. Clinical and morphological data in groups of patients with and without progression of C3-GP (only significantly different indicators are given)
Показатель | Без прогрессирования (n=31) | Прогрессирование (n=17) | p |
рСКФ, мл/мин/1,73 м2 | 56 (31; 94)* | 30 (22; 57)* | 0,032 |
Среднее АД, max, мм. рт. ст. | 110 (97; 123)* | 123 (117; 130)* | 0,024 |
Ремиссия в ранние сроки, абс. (%) | 14 (45) | 3 (18) | 0,057 |
Глобальный склероз клубочков, % | 10 (0; 25) | 29 (11; 58) | 0,022 |
Интерстициальный фиброз и тубулярная атрофия, баллы | 1(0; 2) | 2 (1; 3) | 0,005 |
Примечание. Здесь и в табл. 3: max – максимальные значения. *Медиана (интерквартильный размах).
Клинические факторы, ассоциированные с почечным прогнозом
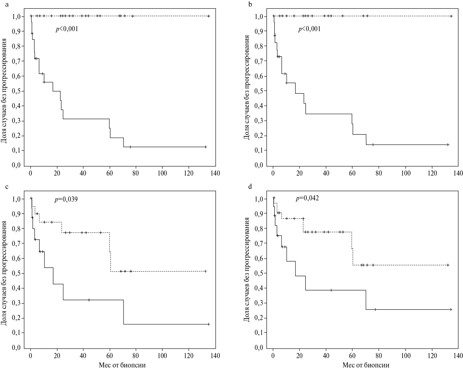
В общей группе при одновариантном регрессионном анализе Кокса снижение риска прогрессирования было связано с более высокими значениями рСКФ [Expβ=0,977 (95% ДИ 0,960–0,994) на 1 мл/мин/1,73 м2; р=0,007] на момент биопсии, полной или частичной ремиссией в ранние сроки [Expβ=0,277 (95% ДИ 0,079–0,970); р=0,045] и в конце наблюдения [Expβ=0,082 (95% ДИ 0,018–0,361); р=0,001], а также специфическим лечением, проведенным в любые сроки периода наблюдения [Expβ=0,374 (95% ДИ 0,143–0,979); р=0,045]; повышение риска – с более высокими значениями среднего максимального АД [Expβ=1,04 (95% ДИ 1,01–1,08) на 1 мм рт. ст.; p=0,005]; рис. 3.
Рис. 3. Кумулятивная доля случаев без прогрессирования по композитной точке (заместительная почечная терапия, снижение рСКФ<15 мл/мин/1,73 м2, снижение рСКФ≥30%) у пациентов, достигших (пунктирная линия) и не достигших (сплошная линия) отсроченной ремиссии: а – в общей группе; b – при первичной С3-ГП; у пациентов, получивших (пунктирная линия) и не получивших (сплошная линия) лечение: c – в общей группе; d – при пС3-ГП. / Fig. 3. Cumulative proportion of cases without progression by composite end-point (renal replacement therapy or eGFR decrease <15 ml/min/1.73 m2 or eGFR decrease ≥30%) in patients who achieved (dash lines) and did not achieve (solid lines) remission at the end of follow-up: а – in the general group; b – in primary C3-GP; in treated (dash lines) and untreated patients (solid lines): c – in the general group; d – in primary C3-GP.
В моделях Кокса (с коррекцией по рСКФ, среднему максимальному АД) со снижением риска прогрессирования заболевания в общей группе были ассоциированы специфическое лечение и отсроченная ремиссия. Ранняя ремиссия не имела независимой связи с вероятностью достижения комбинированной конечной точки прогноза (табл. 3). Аналогичные статистически достоверные ассоциации выявлены для пС3-ГП (данные не представлены).
Таблица 3. Связи лечения и ремиссии с рисками прогрессирования С3-ГП. Мультивариантный линейный регрессионный анализ факторов / Table 3. Relationships of treatment and remission with the risks of progression of C3-GP. Multivariate linear regression analysis
Модели | Лечение vs его отсутствие | Ранняя ремиссия vs ее отсутствие | Отсроченная ремиссия (в конце наблюдения) vs ее отсутствие | |||
ОР | 95% ДИ (р) | ОР | 95% ДИ (p) | ОР | 95% ДИ (p) | |
Одновариантная | 0,374 | 0,143–0,979 (р=0,045) | 0,277 | 0,079–0,970 (р=0,045) | 0,082 | 0,018–0,361 (р=0,001) |
Модель 1 (+рСКФ) | 0,278 | 0,100–0,778 (р=0,014) | 0,365 | 0,101–1,317 (р=0,19) | 0,073 | 0,016–0,333 (р=0,001) |
Модель 2 (+среднее АД max и рСКФ) | 0,308 | 0,108–0,881 (р=0,028) | 0,426 | 0,118–1,543 (р=0,36) | 0,079 | 0,017–0,368 (р=0,001) |
Примечание. ОР – относительный риск.
Кроме того, исходные значения рСКФ (β=0,64±0,09; p<0,001) и развитие ремиссии (β=0,34±0,09; p=0,001) прямо и независимо связаны с абсолютными значениями рСКФ к завершению наблюдения при линейном регрессионном анализе с пошаговым исключением переменных (с коррекцией по выраженности глобального склероза клубочков, интерстициального фиброза и тубулярной атрофии, среднему АД, лечению).
Почечная выживаемость в общей группе и при пС3-ГП в зависимости от достижения отсроченной ремиссии и лечения представлена на рис. 3.
Обсуждение
Результаты проведенного впервые в отечественной нефрологии анализа течения заболевания в представительной группе пациентов с С3-ГП подтверждают данные других серий наблюдений, продемонстрировавших низкую частоту ремиссий и значительную пропорцию случаев прогрессирования [5–7].
Прогрессирование С3-ГП закономерно ассоциировано с клинико-морфологическими индексами выраженности необратимых изменений почки – рСКФ, АД, глобальным склерозом клубочков, интерстициальным фиброзом и тубулярной атрофией [7, 11]. Мы, как и другие, не нашли существенных различий в прогнозе между подгруппой пациентов с БПД и другими типами С3-ГП, выделенными после ультраструктурного анализа [5–7], а также не подтвердили данные о возможной связи скорости прогрессирования заболевания с некротизирующим поражением клубочка [7].
Полученные результаты соответствуют опубликованным данным об отсутствии существенного негативного прогностического значения протеинурии при С3-ГП [5, 6, 11]. Более того, по нашим данным, исходная протеинурия прямо связана с абсолютным ее снижением на ранних сроках наблюдения в линейных регрессионных моделях. Следовательно, более высокие значения суточной протеинурии до терапии могут предопределять более выраженный эффект последней.
Ремиссии в ходе наблюдения мы зарегистрировали при пС3-ГП в 41% случаев, что соответствует данным других исследований, от 34 до 48% [6, 11]. Следует отметить, что отличия в выбранных критериях ремиссии и прогрессирования, а также возрастная гетерогенность когорт ограничивают прямые сопоставления [5, 6, 11].
Принципиально важно, что темпы прогрессирования отчетливо и независимо от индексов тяжести С3-ГП связаны с попытками применения специфического лечения, направленного на достижение ремиссии, и с развитием последней, как в общей группе, так и при пС3-ГП. Более того, 6-кратное увеличение вероятности достижения ранней ремиссии в случае лечения касалось и общей группы, и случаев пС3-ГП (см. рис. 1). В свою очередь, ранняя ремиссия ассоциируется с существенным увеличением вероятности ремиссии в конце наблюдения, подтверждая в целом данные параллельно проводимых исследований [14].
Продемонстрированные в данном исследовании отчетливые связи между лечением, развитием ремиссии и прогрессированием могут быть существенными для клинической практики. Они позволяют, во-первых, рассматривать попытки специфического лечения как центральный фактор улучшения прогноза, во-вторых, исходить из предположения о том, что лечение может быть оправдано у пациентов с разной степенью выраженности дисфункции почек и протеинурии.
Стратегия лечения С3-ГП должна быть основана на знании этиологии и патогенеза заболевания [15–17]. Вместе с тем рекомендованные в настоящее время подходы к лечению [3], основанные на описании серии случаев, экспертных мнениях, единичных обсервационных исследованиях, имеют низкие уровни убедительности и достоверности [10, 11]. Очевидно, низкая доля ремиссий отражает отсутствие способов лечения, которое было бы направлено на узловые моменты патогенеза заболевания с доказанной эффективностью. В этом плане примечательно, что в случаях вС3-ГП, этиологические факторы которой (плазмоклеточные дискразии и аутоиммунные заболевания) имеют хорошо определенные подходы к терапии с продемонстрированной эффективностью [18, 19], частота ремиссий выше (73%; р=0,06).
Подобные наблюдения также указывают на необходимость тщательной диагностики после выявления типичных светооптических и иммуноморфологических признаков С3-ГП, направленной на установление конкретных этиологических факторов, и дифференциальной диагностики первичных и вторичных вариантов заболевания. В частности, следует учитывать необходимость подтверждения/исключения моноклональных гаммапатий как причины С3-ГП в процессе ее дифференциальной диагностики, что требует соответствующих ресурсов и междисциплинарных подходов, зачастую выходящих за рамки традиционной нефрологии. Для диагностики С3-ГП необходимо проводить ультраструктурные исследования, поскольку патогенез, течение и подходы к терапии БПД и других вариантов заболевания могут отличаться. Более того, при выборе в пользу ИСТ в случаях пС3-ГП и прогнозировании ее эффективности очевидна необходимость выявления ведущего механизма патогенеза. По современным представлениям, основными причинами активации альтернативного пути комплемента при С3-ГП являются мутации генов регуляторных белков комплемента (CFH, CFB, CFI, CFHR1–5) и факторов комплемента; образование антител к компонентам системы комплемента (3, 4 и 5-нефритические факторы – антитела к соответствующим конвертазам комплемента или к регуляторным белкам комплемента – H, I, B) [2, 3].
Казалось бы, иммуномодулирующая терапия должна быть эффективной в первую очередь для спорадических, аутоиммунных случаев пС3-ГП или при возможном их сочетании с генетическими факторами [11]. Вместе с тем при скудности данных об эффективности анти-В-клеточной терапии при С3-ГП [20] в отдельных сериях наблюдений на фоне неселективной ИСТ, а именно сочетания ММФ и ГКС, почечная выживаемость была достоверно выше у лиц с пС3-ГП [11, 21]. Частота ремиссий при сочетании ММФ и ГКС достигала 67–80% и была выше, чем при других вариантах лечения – ГКС (39%), ингибиторами кальциневрина (29%), ритуксимабом (29%) и ЦФ (33%) [11, 21]. Эффект терапии при аутоиммунных формах заболевания был выше и с преобладанием полных ремиссий. Вместе с тем у пациентов с патологическими вариантами генов комплемента ремиссии тоже наблюдали, но более редкие и лишь частичные [11].
Не обладая выраженным действием на В-клеточные ответы, но имея антипролиферативные, антифибротические и противовоспалительные свойства, ММФ в комбинации с ГКС, по-видимому, способен неспецифически стабилизировать гломерулярное микроокружение при комплемент-опосредованном повреждении [11]. Именно этим можно объяснить тот факт, что ИСТ имеет положительный эффект в отношении ремиссий и прогноза при генетических вариантах первичной С3-ГП. В этом контексте мы предполагаем, что морфологические признаки интрагломерулярной лимфоцитарно-макрофагальной активации могут быть дополнительным аргументом в пользу ИСТ, поскольку существенная эндокапиллярная гиперклеточность в этом исследовании связана со снижением вероятности ремиссии к концу наблюдения на 90%. Вместе с тем назначение такого лечения должно быть тщательно взвешено против рисков развития осложнений.
Определенные перспективы в лечении С3-ГП связаны с применением интенсивно разрабатываемых и исследуемых препаратов для целевого блокирования узловых пунктов неконтролируемой активации комплемента, которые в виде монотерапии или в комбинации с ИСТ могут стать эффективной стратегией улучшения исходов и при генетических, и при иных вариантах пС3-ГП и вС3-ГП [22].
Изложенное указывает на то, что отсутствие возможностей для проведения необходимой молекулярной диагностики является существенным фактором, ограничивающим поиск подходов к выбору эффективных способов лечения С3-ГП в России. Аккумуляция подобных случаев в экспертных центрах для проведения необходимых исследований и персонифицированного выбора терапии может быть практическим решением, направленным на улучшение пациентоориентированных исходов заболевания в период поиска оптимальных подходов к лечению.
Помимо отсутствия полных данных об аутоантителах и генных мутациях как причине пС3-ГП исследование имеет ряд других ограничений, требующих осторожности в интерпретации результатов. К ним мы относим в первую очередь довольно небольшое количество наблюдений, которое определяется орфанным характером заболевания, что, в свою очередь, ограничило возможности выявления независимых факторов прогноза и сопоставления эффективности разных вариантов лечения. Относительно короткие сроки наблюдения в сравнении c другими исследованиями [5–7, 11] могли не позволить найти межгрупповые различия и ассоциации при анализах, связанных с временем дожития. Вместе с тем, на наш взгляд, полученные результаты вполне определенно продемонстрировали высокие риски прогрессирования С3-ГП и прогностическое значение терапии и развития ремиссий.
Заключение
С3-ГП представляет вариант тяжелого комплемент- опосредованного поражения клубочков разной этиологии с неблагоприятным ренальным прогнозом, требующего своевременной персонифицированной диагностики экспертного уровня с уточнением патогенеза заболевания и проведением терапии, направленной на достижение ремиссии заболевания для улучшения исходов.
Раскрытие интересов. Авторы декларируют отсутствие явных и потенциальных конфликтов интересов, связанных с публикацией настоящей статьи.
Disclosure of interest. The authors declare that they have no competing interests.
Вклад авторов. Авторы декларируют соответствие своего авторства международным критериям ICMJE. Все авторы в равной степени участвовали в подготовке публикации: разработка концепции статьи, получение и анализ фактических данных, написание и редактирование текста статьи, проверка и утверждение текста статьи.
Authors’ contribution. The authors declare the compliance of their authorship according to the international ICMJE criteria. All authors made a substantial contribution to the conception of the work, acquisition, analysis, interpretation of data for the work, drafting and revising the work, final approval of the version to be published and agree to be accountable for all aspects of the work.
Источник финансирования. Авторы декларируют отсутствие внешнего финансирования для проведения исследования и публикации статьи.
Funding source. The authors declare that there is no external funding for the exploration and analysis work.
About the authors
Anna V. Karunnaya
Pavlov First Saint Petersburg State Medical University
Email: dobronravov@nephrolog.ru
ORCID iD: 0000-0003-0758-8137
врач-нефролог, зав. отд-нием хронического гемодиализа клиники Научно-исследовательского института нефрологии
Russian Federation, Saint PetersburgVladimir A. Dobronravov
Pavlov First Saint Petersburg State Medical University
Author for correspondence.
Email: dobronravov@nephrolog.ru
ORCID iD: 0000-0002-7179-5520
д-р мед. наук, проф., и.о. дир. клиники Научно-исследовательского института нефрологии, проф. каф. пропедевтики внутренних болезней с клиникой, проф. каф. нефрологии и диализа фак-та последипломного образования
Russian Federation, Saint PetersburgReferences
- Перечень редких (орфанных) заболеваний. Министерство здравоохранения Российской Федерации. Режим доступа: https://minzdrav.gov.ru/documents/8048/ Ссылка активна на 17.03.22 [List of rare (orphan) diseases. Ministry of Health of the Russian Federation. Available at: https://minzdrav.gov.ru/documents/8048/ Accessed: 17.03.2022 (in Russian)].
- Pickering MC, D'Agati VD, Nester CM, et al. C3 glomerulopathy: consensus report. Kidney Int. 2013;84(6):1079-89. doi: 10.1038/ki.2013.377
- Goodship TH, Cook HT, Fakhouri F, et al. Atypical hemolytic uremic syndrome and C3 glomerulopathy: conclusions from a "Kidney Disease: Improving Global Outcomes" (KDIGO) Controversies Conference. Kidney Int. 2017;91(3):539-51. doi: 10.1016/j.kint.2016.10.005
- Schena FP, Esposito P, Rossini M. A Narrative Review on C3 Glomerulopathy: A Rare Renal Disease. Int J Mol Sci. 2020;21(2):525. doi: 10.3390/ijms2102052
- Medjeral-Thomas NR, O'Shaughnessy MM, O'Regan JA, et al. C3 glomerulopathy: clinicopathologic features and predictors of outcome. Clin J Am Soc Nephrol. 2014;9(1):46-53. doi: 10.2215/CJN.04700513
- Bomback AS, Santoriello D, Avasare RS, et al. C3 glomerulonephritis and dense deposit disease share a similar disease course in a large United States cohort of patients with C3 glomerulopathy. Kidney Int. 2018;93(4):977-85. doi: 10.1016/j.kint.2017.10.022
- Ravindran A, Fervenza FC, Smith RJH, et al. C3 Glomerulopathy: Ten Years' Experience at Mayo Clinic. Mayo Clin Proc. 2018;93(8):991-1008. doi: 10.1016/j.mayocp.2018.05.019
- Iatropoulos P, Daina E, Curreri M, et al. Cluster Analysis Identifies Distinct Pathogenetic Patterns in C3 Glomerulopathies/Immune Complex-Mediated Membranoproliferative GN. J Am Soc Nephrol. 2018;29(1):283-94. doi: 10.1681/ASN.2017030258
- Nakagawa N, Mizuno M, Kato S, et al. Demographic, clinical characteristics and treatment outcomes of immune-complex membranoproliferative glomerulonephritis and C3 glomerulonephritis in Japan: A retrospective analysis of data from the Japan Renal Biopsy Registry. PLoS One. 2021;16(9):e0257397. doi: 10.1371/journal.pone.0257397
- Rabasco C, Cavero T, Román E, et al. Effectiveness of mycophenolate mofetil in C3 glomerulonephritis. Kidney Int. 2015;88(5):1153-60. doi: 10.1038/ki.2015.227
- Caravaca-Fontán F, Díaz-Encarnación MM, Lucientes L, et al. Mycophenolate Mofetil in C3 Glomerulopathy and Pathogenic Drivers of the Disease. Clin J Am Soc Nephrol. 2020;15(9):1287-98. doi: 10.2215/CJN.15241219
- Добронравов В.А., Карунная А.В. Этиология и клинико-морфологическая презентация С3-гломерулопатии (одноцентровое исследование 60 случаев). Нефрология. 2021;25(6):93-8 [Dobronravov VA, Karunnaya AV. Clinical and morphological presentation of C3 glomerulopathy: a single-center study of 60 cases. Nephrology (Saint-Petersburg). 2021;25(6):93-8 (in Russian)]. doi: 10.36485/1561-6274-2021-25-6-93-98
- Смирнов А.В., Афанасьев Б.В., Поддубная И.В., и др. Моноклональная гаммапатия ренального значения: консенсус гематологов и нефрологов России по введению нозологии, диагностике и обоснованности клон-ориентированной терапии. Нефрология. 2019;23(6):9-28 [Smirnov AV, Afanasyev BV, Poddubnaya IV, et al. Monoclonal gammopathy of renal signifi cance: Consensus of hematologists and nephrologists of Russia on the establishment of nosology, diagnostic approach and rationale for clone specific treatment. Nephrology (Saint-Petersburg). 2019;23(6):9-28 (in Russian)]. doi: 10.36485/1561-6274-2019-236-9-28
- Caravaca-Fontán F, Díaz-Encarnación M, Cabello V, et al. Longitudinal change in proteinuria and kidney outcomes in C3 glomerulopathy. Nephrol Dial Transplant. 2021;gfab075. doi: 10.1093/ndt/gfab075
- Barbour TD, Pickering MC, Cook HT. Dense deposit disease and C3 glomerulopathy. Semin Nephrol. 2013;33(6):493-507. doi: 10.1016/j.semnephrol.2013.08.002
- Barbour TD, Ruseva MM, Pickering PM. Update on C3 glomerulopathy. Nephrol Dial Transplant. 2016;31(5):717-25. doi: 10.1093/ndt/gfu317
- De Vriese AS, Sethi S, Van Praet J, et al. Kidney Disease Caused by Dysregulation of the Complement Alternative Pathway: An Etiologic Approach. J Am Soc Nephrol. 2015;26(12):2917-29. doi: 10.1681/ASN.2015020184
- Chauvet S, Frémeaux-Bacchi V, Petitprez F, et al. Treatment of B-cell disorder improves renal outcome of patients with monoclonal gammopathy-associated C3 glomerulopathy. Blood. 2017;129(11):1437-47. doi: 10.1182/blood-2016-08-737163
- Caravaca-Fontán F, Lucientes L, Serra N, et al. C3 glomerulopathy associated with monoclonal gammopathy: impact of chronic histologic lesions and beneficial effects of clone-targeted therapies. Nephrol Dial Transplant. 2021:gfab302. doi: 10.1093/ndt/gfab302
- Rudnicki M. Rituximab for Treatment of Membranoproliferative Glomerulonephritis and C3 Glomerulopathies. Biomed Res Int. 2017;2017:2180508. doi: 10.1155/2017/2180508
- Avasare RS, Canetta PA, Bomback AS, et al. Mycophenolate mofetil in combination with steroids for treatment of C3 glomerulopathy: A case series. Clin J Am Soc Nephrol. 2018;13(3):406-13. doi: 10.2215/CJN.09080817
- Zipfel PF, Wiech T, Rudnick R, et al. Complement Inhibitors in Clinical Trials for Glomerular Diseases. Front Immunol. 2019;10:2166. doi: 10.3389/fimmu.2019.02166
Supplementary files






