Effectiveness and safety of biological therapy in patients with severe asthma in a real clinical practice
- Authors: Sergeeva G.R.1, Emelyanov A.V.1
-
Affiliations:
- Mechnikov North-Western State Medical University
- Issue: Vol 96, No 3 (2024): Issues of pulmonology
- Pages: 240-245
- Section: Original articles
- Submitted: 01.08.2022
- Accepted: 30.03.2024
- Published: 16.04.2024
- URL: https://ter-arkhiv.ru/0040-3660/article/view/109579
- DOI: https://doi.org/10.26442/00403660.2024.03.202626
- ID: 109579
Cite item
Full Text
Abstract
Aim. To assess effectiveness and safety of biological therapy in patients with severe asthma during 5 yr follow-up.
Materials and methods. We recruited 129 adult outpatients (29% males) aged 18–81 yrs with severe asthma were followed up during 5 yrs and were examined for every 3–6 months. Eighty five patients were treated by conventional therapy (ICS/LABA ± tiotropium, montelukast, OCS) only and 44 pts additionally received biologicals (оmalizumab – 9 pts, мepolizumab – 8 pts, benralizumab – 11 pts, dupilumab – 16 pts). Pulmonary function tests were measured by dry spirometer (2120, Vitalograph Ltd., UK). Eosinophil count in blood was assessed by automatic haemoanalyser. Fraction of exhaled nitric oxide was measured by a chemiluminescence analyzer (LR4100; Logan Research, UK). Asthma control and quality of life were assessed by using Russian versions of ACQ-5 and SGRQ.
Results. The use of biologicals led to a more significant reduction of exacerbations and OCS use, improvement of lung function, asthma control and quality of life, decrease of eosinophil and fraction of exhaled nitric oxide than conventional therapy of severe asthma (p<0.05). Systemic side effects were not registered, frequency of local adverse reactions (edema, hyperemia and itching at injection site) was 14%.
Conclusion. Long-term use of biologicals added to conventional therapy in patients with severe asthma is characterized by high effectiveness and favorable safety profile.
Full Text
Список сокращений
БА – бронхиальная астма
ГЗ ТБА – гормонозависимая тяжелая бронхиальная астма
ИБП – иммунобиологические препараты
ИГКС – ингаляционные глюкокортикостероиды
ИМТ – индекс массы тела
КЖ – качество жизни
КЗР – клинически значимая разница
КИ – клиническое исследование
МАТ – моноклональные антитела
НЯ – нежелательные явления
ОФВ1 – объем форсированного выдоха за 1-ю секунду
СГКС – системные глюкокортикостероиды
ТБА – тяжелая бронхиальная астма
ФО – фиксированная обструкция
Эоз – эозинофилы
FeNO (fractional exhaled nitric oxide) – оксид азота выдыхаемого воздуха
Введение
Бронхиальной астмой (БА) в мире страдают более 360 млн человек, тяжелое течение болезни встречается в 5–10% случаев. Для лечения тяжелой БА (ТБА) применяют высокие дозы ингаляционных глюкокортикостероидов (ИГКС) в комбинации с длительно действующими b2-адреномиметиками и холинолитиками, часть больных нуждаются в регулярном использовании системных ГКС – СГКС [1]. Несмотря на лечение, у значительной доли пациентов продолжают развиваться тяжелые обострения, происходит ускоренное снижение функции легких, существенно страдает качество жизни (КЖ) и возрастает риск смерти [2, 3].
ТБА – гетерогенное заболевание, которое представлено разными фенотипами и эндотипами (T2 и не-Т2). Наиболее часто (в 50–70% и более) встречается Т2-эндотип. Он характеризуется увеличением секреции различными клетками (Т-хелперами 2-го типа, врожденными лимфоидными клетками 2-го типа и др.) интерлейкинов 5, 4, 13. Их синтез активируется как при контакте с аллергенами – реакции адаптивного иммунитета, так и при воздействии вирусов, поллютантов, табачного дыма – реакции врожденного иммунитета [1, 4].
В настоящее время в Российской Федерации зарегистрированы иммунобиологические препараты (ИБП) – омализумаб, меполизумаб, реслизумаб, бенрализумаб, дупилумаб [1, 5], которые показаны больным Т2-эндотипом ТБА на 5-й ступени терапии. Опыт использования этих препаратов в реальной клинической практике пока невелик.
Цель исследования – оценка эффективности и безопасности биологических препаратов у пациентов с ТБА в пятилетнем наблюдении в условиях специализированного центра.
Материалы и методы
В проспективное одноцентровое исследование, длившееся с января 2017 по июнь 2022 г., включены 129 пациентов с ТБА, которые были разделены на 2 группы (табл. 1). Первая группа (n=85) получала высокие дозы ИГКС / длительно действующего b2-адреномиметика ± длительно действующего м-холинолитика, монтелукаст, в некоторых случаях СГКС. Вторая группа (n=44) получала аналогичную стандартную терапию и в дополнение к ней ИБП (омализумаб – 9 человек, меполизумаб – 8 человек, бенрализумаб – 11 человек, дупилумаб – 16 человек). У 13 пациентов срок лечения препаратами моноклональных антител (МАТ) против основных цитокинов Т2-воспаления составил от 1 до 2 лет, у 31 больного – от 2 до 5 лет.
Таблица 1. Характеристика пациентов с ТБА
Table 1. Сharacteristics of patients with severe asthma
Показатель | ТБА, n=129 | Группа 1, n=85 | Группа 2, n=44 | p |
Пол мужской, абс. (%) | 38 (29) | 24 (28) | 14 (32) | 0,742 |
Возраст, лет | 58 (48–64) | 59 (52–65) | 51 (44–60) | 0,006 |
ИМТ, кг/м2 | 27,7 (24,7–31,8) | 28,1 (24,8–31,9) | 26,8 (22,8–31,6) | 0,251 |
Длительность астмы, лет | 13 (6–21) | 10 (4–20) | 14 (10–23) | 0,040 |
Фенотипы ТБА, абс. (%) | ||||
атопическая | 83 (64) | 56 (66) | 27 (61) | 0,676 |
аспириновая | 29 (22) | 20 (24) | 9 (21) | 0,776 |
гормонозависимая | 27 (21) | 12 (14) | 15 (34) | 0,008 |
с ранним началом (до 12 лет) | 22 (19) | 10 (12) | 12 (27) | 0,032 |
с поздним началом (≥12 лет) | 107 (83) | 75 (88) | 32 (73) | 0,032 |
с ожирением (ИМТ≥30 кг/м2) | 48 (37) | 34 (40) | 14 (32) | 0,373 |
с ФО | 102 (79) | 68 (80) | 34 (77) | 0,803 |
в сочетании с ХОБЛ | 36 (28) | 26 (31) | 10 (23) | 0,468 |
Частота обострений астмы в течение предшествующего года, абс. | 2,0 (1,0–2,0)* | 2,0 (1,0–2,0) | 2,0 (2,0–3,0) | 0,000 |
Число госпитализаций по поводу обострений ТБА в течение жизни, абс. (%) | 4,0 (1,0–8,0)* | 3,0 (1,0–6,0) | 5,0 (2,0–10,0) | 0,006 |
Курение в настоящее время, абс. (%) | 28 (22) | 21 (25) | 7 (16) | 0,502 |
Индекс курящего человека, пачко-лет | 25 (10–42) | 30 (14–45) | 21 (10–30) | 0,182 |
ИГКС, суточная доза, мкг** | 1264±46 | 1159±101 | 1466±42 | 0,020 |
СГКС, суточная доза, мг** | 14±2 | 13±2 | 15±3 | 0,016 |
Приверженность лечению, абс. (%) | 103 (80) | 65 (77) | 38 (86) | 0,301 |
Примечание. ХОБЛ – хроническая обструктивная болезнь легких. *Количественные данные представлены в виде медианы и интерквартильного интервала (Q1–Q3), где Q1 – 25-й перцентиль, Q3 – 75-й перцентиль. Качественные переменные описаны абсолютными (абс.) и относительными (%) частотами. **Дозы ИГКС рассчитывались в мкг в пересчете на беклометазона дипропионат [1], дозы СГКС даны в пересчете на преднизолон (мг) и представлены в виде M±m. | ||||
Критериями включения в исследование были: наличие БА тяжелого течения [2], возраст пациента ≥18 лет, продолжительность БА≥1 года, правильная техника ингаляции, подписанное добровольное информированное согласие. К критериям исключения относили: БА легкой и средней тяжести, любое значимое заболевание или расстройство, которое могло повлиять на результаты исследования или способность пациента участвовать в исследовании, беременность, грудное вскармливание или планируемая беременность в период исследования, отказ от участия в исследовании.
Протокол исследования одобрен локальным этическим комитетом ФГБОУ ВО «СЗГМУ им. И.И. Мечникова». Пациенты включались в исследование после подписания добровольного информированного согласия. Пациентам выполнили спирометрию с оценкой обратимости обструкции и соотношения объема форсированного выдоха за 1-ю секунду (ОФВ1) и форсированной жизненной емкости легких после ингаляции 400 мкг сальбутамола (спирограф 2120, Vitalograph, Великобритания) каждые 3 мес в течение первого года лечения, далее – каждые 6 мес. Проба расценивалась как положительная при приросте ОФВ1 на 12% и 200 мл после ингаляции сальбутамола. Фиксированная обструкция (ФО) диагностировалась на основании постбронходилатационного ОФВ1 / форсированной жизненной емкости легких <0,7. Участникам рассчитывали индекс массы тела (ИМТ). Контроль БА и КЖ оценивали исходно и каждые 3–6 мес наблюдения при помощи русскоязычных версий вопросников ACQ-5 (Asthma Control Questionnaire) и SGRQ (St. George's Respiratory Questionnaire, вопросник госпиталя Святого Георгия). Оценка чувствительности к основным ингаляционным аллергенам осуществлялась с помощью тестов уколом (размер волдыря >3 мм) и/или определения уровня специфического иммуноглобулина E в сыворотке крови (>0,35 kU/l, Phadia AB, Швеция). Каждые 3–6 мес на автоматическом гемоанализаторе импедансным методом определяли количество эозинофилов (Эоз) периферической крови, на хемилюминесцентном газоанализаторе Logan-4100 (Великобритания) оценивали уровень оксида азота выдыхаемого воздуха – FeNO [6].
Фенотипы ТБА выделяли согласно международным и отечественным рекомендациям [1, 4]. Критериями Т2-воспаления считались: уровень Эоз≥150 кл/мкл, FeNO≥20 ppb, наличие гиперчувствительности к ингаляционным аллергенам [1], а также зависимость от СГКС [4]. Для оценки ответа на лечение у больных ТБА ежегодно определялось достижение клинически значимой разницы (КЗР) по сравнению с исходными значениями по следующим показателям [7]: снижение числа тяжелых обострений ТБА на ≥50%, дозы СГКС на ≥50% (для пациентов с гормонозависимой – ГЗ ТБА), улучшение контроля астмы на ≥0,5 балла по тесту ACQ-5, КЖ на ≥4 балла по SGRQ, возникновение или отсутствие нежелательных явлений (НЯ), прирост показателей функции легких (ОФВ1 на 200 мл и более). Приверженными терапии считались пациенты, принявшие в течение последнего года ≥80% назначенных доз ИГКС.
Статистический анализ полученных результатов проводили с использованием общепринятых параметрических и непараметрических методов. Нормальность распределения признаков определяли по методу Колмогорова–Смирнова. При сравнительном анализе групп применялись непараметрические критерии Манна–Уитни (для количественных данных) и χ2-тест (для качественных данных). Различия считались достоверными при p<0,05. Для расчетов использовали пакет прикладных статистических программ Statistica Ver. 10.0 (StatSoft, Inc., США).
Результаты
Характеристика обследованных пациентов представлена в табл. 1. Большинство участников были женского пола и имели около двух обострений ТБА в течение предшествующего года. Аллергический генез заболевания выявлен у 64%, самым частым ингаляционным аллергеном являлись клещи домашней пыли (67%). Большинство пациентов имели в анамнезе сопутствующий аллергический ринит (70%) и хронический риносинусит с полипами или без них (54%). Исходно у пациентов с ТБА выявлен низкий ОФВ1 (медиана 52% должного), у 67% больных отмечена положительная проба с бронхолитиком. Все пациенты получали высокие дозы ИГКС, часть из них (21%) регулярно использовали пероральные СГКС. Более чем у 1/2 (57%) пациентов имелась стойкая утрата трудоспособности. У подавляющего числа (94%) больных ТБА исходно имелись 1 или более критериев Т2-воспаления: в группе 1 – у 91%, в группе 2 – у 100%. Наиболее частым повышенным маркером были Эоз крови ≥150 кл/мкл (70 и 87%; p<0,05). Во 2- группе чаще встречалась сенсибилизация к аллергенам животных (64% во 2-й группе и 35% в 1-й группе; р<0,05) и сенсибилизация к 3 и более неродственным аллергенам (52 и 31%; р<0,05). У пациентов 2-й группы чаще отмечалось наличие хронического риносинусита без полипоза (41 и 22%; р<0,05), но реже сопутствующие заболевания сердечно-сосудистой (57 и 75%; р<0,05) и нервной системы (16 и 39%; р<0,05), чем у пациентов 1-й группы.
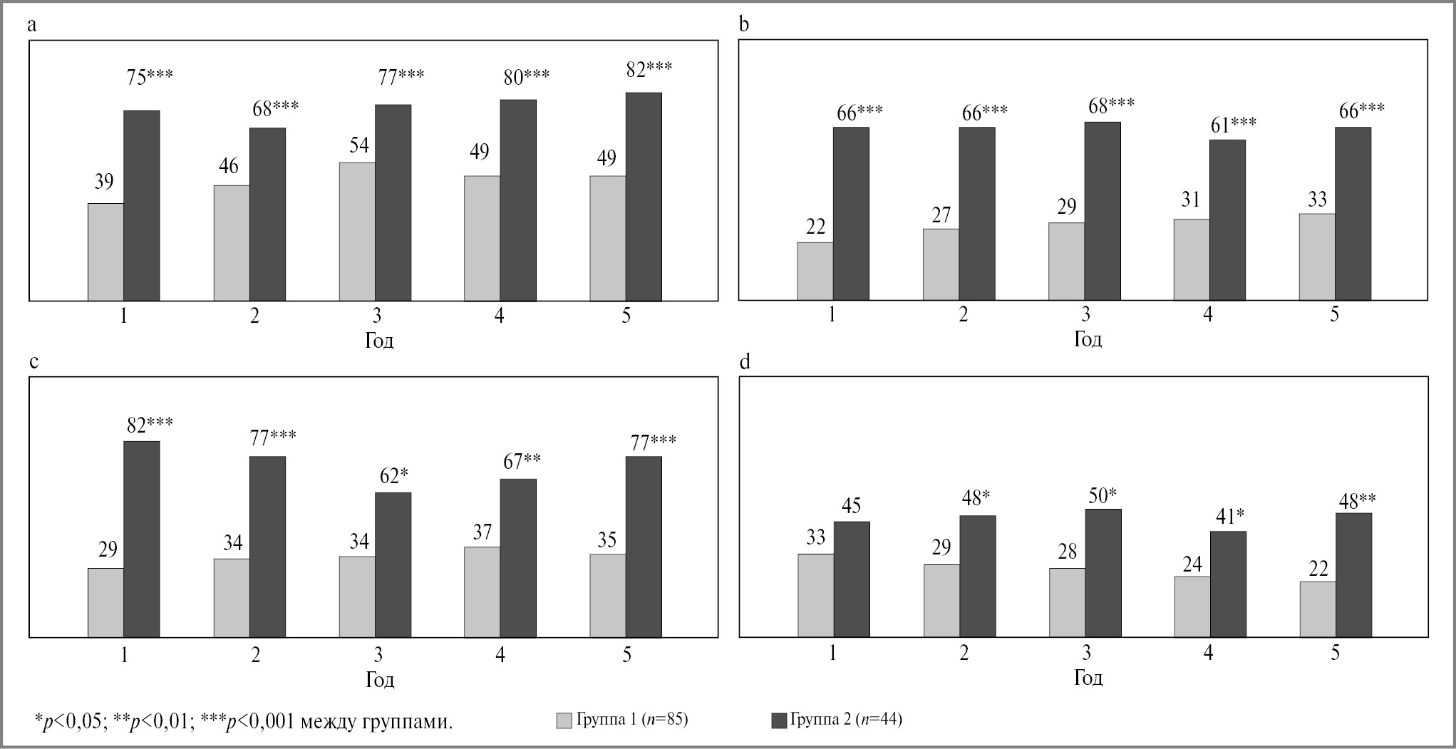
В течение 5 лет количество ежегодных обострений ТБА уменьшилось в обеих группах: в 1-й группе среднее число обострений снизилось с 1,8 до 1,1 (p<0,001), во 2-й группе – с 2,7 до 0,8 (p<0,001). Доля больных, достигших КЗР по числу обострений ТБА, отражена в рис. 1, a. Через 5 лет доля больных без обострений составила 22% в 1-й группе и 41% – во 2-й (p<0,05).
Контроль ТБА в ходе лечения улучшился в обеих группах. Исходно показатель ACQ-5 во 2-й группе был хуже, чем в 1-й (3,0 и 2,43; p<0,01), а через 5 лет – лучше во 2-й (1,62 и 1,97; p<0,05). В конце наблюдения доля больных с контролируемой астмой (ACQ-5<1,5) составила 29% в группе 1 и 48% – в группе 2 (p<0,05). Улучшение КЖ отмечено во 2-й группе в течение первого года лечения (54 и 41 общий балл; p<0,001) и сохранялось в последующем, но не достигнуто в 1-й.
На рис. 1, d представлена доля больных ТБА, достигших КЗР по улучшению функции легких (прирост по ОФВ1≥200 мл). Частота ФО дыхательных путей была одинаковой на протяжении периода наблюдения и не различалась между группами (исходно 80 и 77%; p>0,05, через 5 лет 84 и 75%; p>0,05). Доля пациентов с положительной пробой с бронхолитиком уменьшалась в ходе лечения в обеих группах: в 1-й – 62% исходно, 46% через 5 лет (p<0,05); во 2-й – 75% исходно и 45% через 1 год (p<0,01), 36% через 5 лет (p<0,01).
Рис. 1. Доля больных ТБА, достигших КЗР по сравнению с исходным уровнем, %: a – уменьшение числа тяжелых обострений астмы (на ≥50%); b – улучшение контроля заболевания (снижение среднего балла по ACQ-5 на ≥0,5 балла); c – улучшение КЖ (снижение общего балла по SGRQ на ≥4 пункта); d – улучшение функции легких (прирост ≥200 мл по ОФВ1).
Fig.1. Rate of patients with severe asthma with clinically significant improvement compared to baseline, %: a – decrease in the number of severe asthma exacerbations (by ≥50%); b – improvement in disease control (≥0.5 points decrease in the mean ACQ-5 score); c – improvement in quality of life (≥4 points decrease in the total SGRQ score); d – improvement in lung function (FEV1 increase ≥200).
В 1-й группе исходно было 12 человек с ГЗ ТБА, во 2-й – 15 человек (рис. 2). Через 5 лет КЗР (снижение суточной дозы СГКС на ≥50%) достигнута у 58% больных 1-й группы и у 80% пациентов 2-й группы (p<0,05).
Рис. 2. Зависимость от постоянного приема СГКС у больных ГЗ ТБА через 5 лет, n: a – группа 1 (n=12); b – группа 2 (n=15).
Fig. 2. Oral steroid elimination in patients with steroid-dependent severe asthma in 5-year follow-up, n: a – group 1 (n=12); b – group 2 (n=15).
Не выявлено зависимости между курением пациентов и большинством показателей эффективности иммунобиологической терапии (данные не представлены).
В ходе лечения доля пациентов с ТБА, имеющих повышенные маркеры Т2-воспаления, менялась незначительно в 1-й группе, выраженное снижение Эоз и FeNO отметили во 2-й группе в течение первого года использования препаратов МАТ. Уровень Эоз периферической крови (медиана 231 и 336 кл/мкл; p<0,001) исходно был выше у пациентов, получавших биологическую терапию, в последующем отличий между группами не выявили. Значения FeNO пациентов обеих групп отличались исходно (18 и 31 ppb; p<0,05) и через 1 год (18 и 13 ppb; p<0,05), далее различий не отмечали.
Суммарная частота НЯ при лечении больных ТБА согласно вопросу 14С из анкеты SGRQ в 1-й группе составила 27% исходно и 31% через 5 лет (p>0,05), во 2-й – 46% исходно и 39% через 5 лет (p>0,05). Связанных с генно-инженерной биологической терапией системных НЯ (в том числе анафилаксий) не было. Местные НЯ (отек, гиперемия, зуд в месте инъекции) отмечены у 14% пациентов.
Обсуждение
Появление иммунобиологической терапии открыло новые возможности в лечении больных ТБА [8–22]. Имеется относительно немного публикаций о долгосрочном применении разных препаратов МАТ в реальной клинической практике. Интерес к этим наблюдениям связан с тем, что они позволяют оценить эффективность и безопасность лечения препаратами у широкой популяции пациентов, многие из которых не включаются в рандомизированные клинические исследования – КИ [23]. Появляются публикации клинических случаев, данных регистров больных ТБА из разных стран мира. Например, согласно итальянскому регистру доля получающих препараты МАТ больных достигает 65% [24]. С учетом фармакоэкономических аспектов лечения подчеркивается необходимость тщательного отбора пациентов для назначения иммунобиологической терапии [25].
Из 129 пациентов с ТБА в исследовании у 1/3 (44 пациента) применялась биологическая терапия. Их демографические характеристики соответствовали данным отечественного [26] и зарубежных [27] регистров больных ТБА (преобладание женщин, средний возраст старше 50 лет). Отличие от зарубежных регистров состоит в большой частоте курения, высоком индексе курящего человека и нередком сочетании ТБА с хронической обструктивной болезнью легких. Частота других Т2-зависимых заболеваний (аллергический ринит, атопический дерматит, назальный полипоз) сопоставима с международными данными. Как минимум один из критериев Т2-эндотипа выявлен у подавляющего большинства обследованных нами больных.
В исследовании пациенты с ТБА, получавшие только стандартную терапию и лечение с использованием МАТ, исходно отличались по частоте гормонозависимой ТБА, тяжелых обострений и ряду других признаков. Такие различия могли быть связаны с более тяжелым течением болезни и рефрактерностью к ингаляционной терапии больных 2-й группы. В связи с этим для сравнения эффективности лечения использовали ранее разработанные в ходе КИ и включенные в международные руководства понятия КЗР для критически важных (частота тяжелых обострений, контроль астмы и КЖ пациентов), важных (снижение зависимости от СГКС, показатели функции легких и др.) и не очень важных (маркеры Т2-воспаления, например уровень FeNO) исходов [7].
Результаты КИ показали, что назначение препаратов МАТ приводит к снижению тяжелых обострений (примерно на 50%), улучшению функции легких, контроля астмы и КЖ [8–19]. В наблюдении у получавших их больных отмечено достоверное снижение частоты обострений в течение 5 лет наблюдения по сравнению с пациентами, получавшими стандартную терапию. Различий в уменьшении числа обострений БА при использовании различных ИБП не выявлено. Следует отметить, что наше исследование не имело достаточной статистической мощности для сравнения эффективности этих препаратов.
Показано, что ИБП уменьшают зависимость пациентов от СГКС [16–19]. Частота полного отказа от СГКС составила 8% в группе стандартной терапии и 47% в группе с биологической терапией, что сопоставимо с данными рандомизированных КИ. У 58% пациентов 1-й группы и 93% 2-й удалось снизить или полностью отменить суточную дозу СГКС без увеличения частоты обострений БА. Это позволяет уменьшить риски развития осложнений, связанных с длительным приемом СГКС [1, 4, 28]. Снижение потребности пациентов 1-й группы в СГКС, вероятно, обусловлено улучшением их приверженности лечению ИГКС в процессе длительного наблюдения.
При лечении препаратами МАТ функция легких улучшилась в небольшой степени (медиана прироста предбронходилатационного ОФВ1 за 5 лет составила 150 мл). Аналогичные результаты ранее получены в ходе плацебо-контролируемых КИ [11–13, 18]. Вероятно, это связано с развитием ремоделирования дыхательных путей, отражением которого является стабильное наличие ФО у 79% пациентов с ТБА, включенных в исследование.
Оценивать динамику уровней маркеров Т2-воспаления в группе биологической терапии было затруднительно, что обусловлено разным механизмом действия препаратов. Так, МАТ, действующие против интерлейкина-5 и его рецепторов, понижают уровень Эоз, а дупилумаб в ряде случаев повышает [22]. Среди применявших дупилумаб больных в течение первых 3–6 мес терапии у 4 пациентов отмечалась бессимптомная эозинофилия крови (1000–2000 кл/мкл) с последующей нормализацией количества Эоз. При лечении бенрализумабом в течение первых 3–6 мес уровень Эоз<50 кл/мкл отмечен у 7 пациентов из 11. После прекращения его использования у части больных мы наблюдали постепенное повышение Эоз.
Чрезвычайно важным критерием является безопасность МАТ. У пациентов при их использовании не было тяжелых системных реакций (в том числе анафилаксий), тяжелых инфекций и глистных инвазий. Местные НЯ (отек, гиперемия и редко – зуд в месте инъекции), как правило, наблюдались после нескольких первых введений препарата (от 2 до 6), в последующем данные реакции прекращались и ни в одном из случаев не явились поводом для отмены препарата. У 2 пациентов в связи с недостаточным эффектом через 1–2 года потребовалась замена препаратов (омализумаба на дупилумаб и меполизумаба на бенрализумаб).
Заключение
Таким образом, при длительном использовании МАТ в реальной клинической практике у большинства пациентов с ТБА выявлено снижение числа обострений и потребности в СГКС, улучшение КЖ и показателей функции легких. Существенных побочных эффектов ИБП не зарегистрировано. Большое значение имеет правильный отбор пациентов. В процессе длительного (до 5 лет) лечения сохраняется высокая эффективность и безопасность биологической терапии.
Раскрытие интересов. Авторы декларируют отсутствие явных и потенциальных конфликтов интересов, связанных с публикацией настоящей статьи.
Disclosure of interest. The authors declare that they have no competing interests.
Вклад авторов. Авторы декларируют соответствие своего авторства международным критериям ICMJE. Все авторы в равной степени участвовали в подготовке публикации: разработка концепции статьи, получение и анализ фактических данных, написание и редактирование текста статьи, проверка и утверждение текста статьи.
Authors’ contribution. The authors declare the compliance of their authorship according to the international ICMJE criteria. All authors made a substantial contribution to the conception of the work, acquisition, analysis, interpretation of data for the work, drafting and revising the work, final approval of the version to be published and agree to be accountable for all aspects of the work.
Источник финансирования. Авторы декларируют отсутствие внешнего финансирования для проведения исследования и публикации статьи.
Funding source. The authors declare that there is no external funding for the exploration and analysis work.
Соответствие принципам этики. Протокол исследования был одобрен локальным этическим комитетом ФГБОУ ВО «СЗГМУ им. И.И. Мечникова». Одобрение и процедуру проведения протокола получали по принципам Хельсинкской конвенции.
Ethics approval. The study was approved by the local ethics committee of Mechnikov North-Western State Medical University, Saint Petersburg, Russia. The approval and procedure for the protocol were obtained in accordance with the principles of the Helsinki Convention.
Информированное согласие на публикацию. Пациенты подписали форму добровольного информированного согласия на публикацию медицинской информации.
Consent for publication. Written consent was obtained from the patients for publication of relevant medical information and all of accompanying images within the manuscript.
About the authors
Galina R. Sergeeva
Mechnikov North-Western State Medical University
Author for correspondence.
Email: sergeevagr@mail.ru
ORCID iD: 0000-0003-1544-4336
канд. мед. наук, доц. каф. пульмонологии
Russian Federation, Saint PetersburgAlexander V. Emelyanov
Mechnikov North-Western State Medical University
Email: emelav@inbox.ru
ORCID iD: 0000-0002-8574-6869
д-р мед. наук, проф., зав. каф. пульмонологии
Russian Federation, Saint PetersburgReferences
- Global Initiative for Asthma. NHLB/WHO Workshop Report. National Heart Lung Blood Institute, updated 2022. Available at: 2022 GINA Main Report – Global Initiative for Asthma – GINA (ginasthma.org). Accessed: 14.03.2024.
- Chung KF, Wenzel SE, Brozek JL, et al. International ERS/ATS guidelines on definition, evaluation and treatment of severe asthma. Eur Respir J. 2014;43(2):343-73. doi: 10.1183/09031936.00202013
- Holguin F, Cardet JC, Chung KF, et al. Management of severe asthma: a European Respiratory Society/American Thoracic Society guideline. Eur Respir J. 2020;55(1):1900588. doi: 10.1183/13993003.00588-2019
- Бронхиальная астма. Клинические рекомендации. Российское респираторное общество, Российская ассоциация аллергологов и клинических иммунологов, Союз педиатров России. 2021 [Bronkhial'naia astma. Klinicheskie rekomendatsii. Rossiiskoe respiratornoe obshchestvo, Rossiiskaia assotsiatsiia allergologov i klinicheskikh immunologov, Soiuz pediatrov Rossii. 2021 (in Russian)].
- Емельянов А.В., Лешенкова Е.В., Сергеева Г.Р., Цуканова И.В. Актуальные вопросы лечения бронхиальной астмы. Терапия. 2022;8(1):133-41 [Emelyanov AV, Leshenkova EV, Sergeeva GR, Tsukanova IV. Modern treatment of bronchial asthma. Therapy. 2022;8(1):133-41 (in Russian)]. doi: 10.18565/therapy.2022.1.133-141
- Dweik RA, Boggs PB, Erzurum SC, et al; American Thoracic Society Committee on Interpretation of Exhaled Nitric Oxide Levels (FENO) for Clinical Applications. An official ATS clinical practice guideline: interpretation of exhaled nitric oxide levels (FENO) for clinical applications. Am J Respir Crit Care Med. 2011;184(5):602-15. doi: 10.1164/rccm.9120-11ST
- Agache I, Beltran J, Akdis C, et al. Efficacy and safety of treatment with biologicals (benralizumab, dupilumab, mepolizumab, omalizumab and reslizumab) for severe eosinophilic asthma. A systematic review for the EAACI Guidelines – recommendations on the use of biologicals in severe asthma. Allergy. 2020;75(5):1023-42. doi: 10.1111/all.14221
- Djukanović R, Wilson SJ, Kraft M, et al. Effects of treatment with anti-immunoglobulin E antibody omalizumab on airway inflammation in allergic asthma. Am J Respir Crit Care Med. 2004;170(6):583-93. doi: 10.1164/rccm.200312-1651OC
- Brusselle G, Michils A, Louis R, et al. „Real-life“ effectiveness of omalizumab in patients with severe persistent allergic asthma: The PERSIST study. Respir Med. 2009;103(11):1633-42. doi: 10.1016/j.rmed.2009.06.014
- Pavord ID, Korn S, Howarth P, et al. Mepolizumab for severe eosinophilic asthma (DREAM): a multicentre, double-blind, placebo-controlled trial. Lancet. 2012;380(9842):651-9. doi: 10.1016/S0140-6736(12)60988-X
- Ortega HG, Liu MC, Pavord ID, et al; MENSA Investigators. Mepolizumab treatment in patients with severe eosinophilic asthma. N Engl J Med. 2014;371(13):1198-207. doi: 10.1056/NEJMoa1403290
- Castro M, Zangrilli J, Wechsler ME, et al. Reslizumab for inadequately controlled asthma with elevated blood eosinophil counts: results from two multicentre, parallel, double-blind, randomised, placebo-controlled, phase 3 trials. Lancet Respir Med. 2015;3(5):355-66. doi: 10.1016/S2213-2600(15)00042-9
- Busse WW, Maspero JF, Rabe KF, et al. Liberty Asthma QUEST: Phase 3 Randomized, Double-Blind, Placebo-Controlled, Parallel-Group Study to Evaluate Dupilumab Efficacy/Safety in Patients with Uncontrolled, Moderate-to-Severe Asthma. Adv Ther. 2018;35(5):737-48. doi: 10.1007/s12325-018-0702-4
- Bleecker ER, FitzGerald JM, Chanez P, et al; SIROCCO study investigators. Efficacy and safety of benralizumab for patients with severe asthma uncontrolled with high-dosage inhaled corticosteroids and long-acting β2-agonists (SIROCCO): a randomised, multicentre, placebo-controlled phase 3 trial. Lancet. 2016;388(10056):2115-27. doi: 10.1016/S0140-6736(16)31324-1
- FitzGerald JM, Bleecker ER, Nair P, et al; CALIMA study investigators. Benralizumab, an anti-interleukin-5 receptor α monoclonal antibody, as add-on treatment for patients with severe, uncontrolled, eosinophilic asthma (CALIMA): a randomised, double-blind, placebo-controlled phase 3 trial. Lancet. 2016;388(10056):2128-41. doi: 10.1016/S0140-6736(16)31322-8
- Bel EH, Wenzel SE, Thompson PJ, et al; SIRIUS Investigators. Oral glucocorticoid-sparing effect of mepolizumab in eosinophilic asthma. N Engl J Med. 2014;371(13):1189-97. doi: 10.1056/NEJMoa1403291
- Nair P, Wenzel S, Rabe KF, et al; ZONDA Trial Investigators. Oral Glucocorticoid-Sparing Effect of Benralizumab in Severe Asthma. N Engl J Med. 2017;376(25):2448-58. doi: 10.1056/NEJMoa1703501
- Rabe KF, Nair P, Brusselle G, et al. Efficacy and Safety of Dupilumab in Glucocorticoid-Dependent Severe Asthma. N Engl J Med. 2018;378(26):2475-85. doi: 10.1056/NEJMoa1804093
- Menzies-Gow A, Gurnell M, Heaney LG, et al. Oral corticosteroid elimination via a personalised reduction algorithm in adults with severe, eosinophilic asthma treated with benralizumab (PONENTE): a multicentre, open-label, single-arm study. Lancet Respir Med. 2022;10(1):47-58. doi: 10.1016/S2213-2600(21)00352-0
- Khatri S, Moore W, Gibson PG, et al. Assessment of the long-term safety of mepolizumab and durability of clinical response in patients with severe eosinophilic asthma. J Allergy Clin Immunol. 2019;143(5):1742-51.e7. doi: 10.1016/j.jaci.2018.09.033
- Korn S, Bourdin A, Chupp G, et al. Integrated Safety and Efficacy Among Patients Receiving Benralizumab for Up to 5 Years. J Allergy Clin Immunol Pract. 2021;9(12):4381-92.e4. doi: 10.1016/j.jaip.2021.07.058
- Wechsler ME, Ford LB, Maspero JF, et al. Long-term safety and efficacy of dupilumab in patients with moderate-to-severe asthma (TRAVERSE): an open-label extension study. Lancet Respir Med. 2022;10(1):11-25. doi: 10.1016/S2213-2600(21)00322-2
- Price D, Brusselle G, Roche N, et al. Real-world research and its importance in respiratory medicine. Breathe (Sheff). 2015;11(1):26-38. doi: 10.1183/20734735.015414
- Bilò MB, Antonicelli L, Carone M, et al. Severe asthma management in the era of biologics: insights of the Italian Registry on Severe Asthma (IRSA). Eur Ann Allergy Clin Immunol. 2021;53(3):103-14. doi: 10.23822/EurAnnACI.1764-1489.196
- Hardtstock F, Krieger J, Wilke T, et al. Use of Biologic Therapies in the Treatment of Asthma – A Comparative Real World Data Analysis on Healthcare Resource Utilization and Costs Before and After Therapy Initiation. J Asthma Allergy. 2022;15:407-18. doi: 10.2147/JAA.S354062
- Nenasheva N, Belevsky A, Kravchenko N, et al. Preliminary analysis of the data of patients with severe bronchial asthma included in the Russian National Register of Severe Asthma (RSAR). Eur Respir J. 2019;54(Suppl. 63):PA4261. doi: 10.1183/13993003.congress-2019.PA4261
- Wang E, Wechsler ME, Tran TN, et al. Characterization of Severe Asthma Worldwide: Data From the International Severe Asthma Registry. Chest. 2020;157(4):790-804. doi: 10.1016/j.chest.2019.10.053
- Sweeney J, Patterson CC, Menzies-Gow A, et al; British Thoracic Society Difficult Asthma Network. Comorbidity in severe asthma requiring systemic corticosteroid therapy: cross-sectional data from the Optimum Patient Care Research Database and the British Thoracic Difficult Asthma Registry. Thorax. 2016;71(4):339-46. doi: 10.1136/thoraxjnl-2015-207630
Supplementary files




